
第一作者:Fei He
通讯作者:Wonyong Choi
通讯单位:浦项科技大学
论文DOI:https://doi.org/10.1038/s41467-021-26541-z

全文速览
光催化空气净化被广泛认为是一种很有前景的技术,但它需要更高效的光催化材料和系统。在这里,作者报告了一种通过涂覆吸湿性高碘酸(PA)在WO3上引入原位水(自润湿)层的策略,以增强光催化去除空气中亲水性挥发性有机化合物(VOC)的能力。在环境空气中,水蒸气凝结在WO3上形成独特的三相(空气/水/WO3)系统。原位形成的水层可以选择性地浓缩亲水性VOC。PA具有多种作用,如水层诱导剂、增强可见光吸收的表面络合配体和作为强电子受体。在可见光下,光生电子被高碘酸盐迅速清除,产生更多的•OH。PA/WO3表现出优异的乙醛降解光催化活性,在460 nm 处的表观量子效率为64.3%,这是迄今为止报道的最高值。其他亲水性挥发性有机化合物(如甲醛)也很容易溶解到WO3上的原位水层中,并会迅速降解,而疏水性VOCs在光催化过程中由于“水屏障效应”而保持完整。PA/WO3成功地展示了在宽范围浓度(0.5-700 ppmv) 下选择性降解亲水性VOC的出色能力。

背景介绍
挥发性有机化合物(VOCs)是空气污染的主要成分,会恶化空气质量,严重影响人类健康。VOC的常用去除方法是使用多孔介质(例如活性炭、沸石、MOF等)进行吸附,但它们的平衡吸附能力随着VOC浓度的降低而降低。光催化被广泛认为是一种有前途的空气净化方法,因为它能够在环境温度和压力条件下运行,并能够降解VOC。光催化降解(PCD)即使在低浓度范围内也能保持其去除效率,这更有利于处理亚ppm水平(例如室内空气)的VOC。考虑到可见光在太阳光中所占的比例(~43%)比紫外线(~4%)高得多,并且在室内光中占主导地位,因此开发可见光响应光催化剂对于空气净化的实际应用至关重要。然而,可见光驱动的光催化剂的性能通常远低于紫外线光催化,因此需要改进以满足实际空气净化的要求。由于VOC的PCD主要由羟基自由基(•OH)攻击引发,因此增强可见光PCD的有效方法是促进•OH的生成。
WO3是最常研究的光催化剂之一,具有高可见光活性(Eg≈ 2.8 eV),在氧化和酸性条件下也稳定。尽管其价带(VB)边缘电位(约3.0 VNHE)足以产生OH自由基(•OH/H2O,E0= +2.8 VNHE),但其导带(CB)边缘电位(~0.4 VNHE)不足以使CB电子通过单电子转移被O2清除(例如,O2/O2•−,E0= −0.33 VNHE;O2/HO2•,E0= −0.05 VNHE)。因此,由于快速电荷复合,WO3的光催化活性受到高度限制。目前科学界已经进行了许多尝试来提高WO3的可见光活性,最有效的方法之一是负载Pt纳米粒子作为助催化剂,这使得O2在WO3 CB 边缘电位下多电子还原为H2O2或H2O,促进了电荷分离和随后的OH自由基产生。然而,昂贵的Pt助催化剂的使用限制了其实际应用,这需要使用更便宜的材料和更经济的方法。在气固界面上的典型PCD机制中,光生空穴最有可能与吸附的水分子(或表面羟基)反应形成 •OH。水分子不仅是 •OH的来源,也是与VOC竞争表面位点的吸附剂;根据VOC的亲水性和疏水性,水蒸气的双重效应对VOC的PCD的影响不同。

图文解析

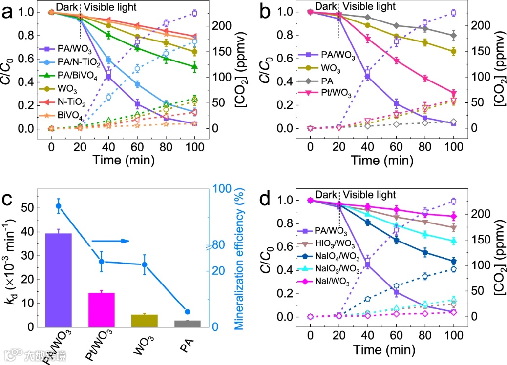
图1.乙醛(AA)的可见光驱动PCD。a初始的和PA处理过的WO3、N-TiO2和BiVO4上,AA的PCD以及伴随产生的CO2随时间变化的曲线。b PA/WO3和Pt/WO3之间的PCD比较。c PA/WO3、Pt/WO3、PA和WO3反应80分钟后的PCD速率常数(kd)和矿化效率。d用不同碘试剂处理的WO3的PCD活性。带有空心符号的虚线代表 AA降解产生的CO2浓度。误差线定义为标准偏差。实验条件:[AA]0= 120 ppmv;可见光(λ > 420 nm)强度为2.2 mW/cm2;样品量50 mg;相对湿度 65%;反应温度为 30 °C。
图2.浓度为500 ppbv 时,PA/WO3上可见光驱动的甲醛(FA) PCD。a使用不同催化剂质量(例如,由5 mg PA 和5 mg WO3组成的10 mg 催化剂)在PA/WO3(1:1) 上的黑暗对照测试(空心符号)和PCD测试(实心符号)。b FA 在PA/WO3、WO3和PA上的PCD。误差线定义为标准偏差。c重复的PCD循环降解FA实验。实验条件:[FA]0= 500 ppbv;蓝光 LED (λ = 460 nm) 强度为2.0 mW/cm2;相对湿度 65%;反应温度为 30 °C。
图3.原位水层的形成和影响。a PA/WO3、NaIO4/WO3和WO3样品在潮湿空气(RH 65%)下暴露30分钟后的催化剂重量增加。RH定义为相对湿度。b WO3 (I,II)和PA/WO3(III,IV)在暴露于潮湿空气之前和之后的FT-IR光谱。c暴露于干燥和潮湿空气30分钟后PA/WO3对乙醛(AA)降解的PCD活性。暴露于300 ppmv AA/干燥空气后的d PA/WO3和暴露于300 ppmv AA/RH 65% 空气后的e PA/WO3在(I) 10 s, (II) 1 分钟, ( III) 3 分钟,和(IV) 5 分钟的原位漂移光谱。收集干燥的PA/WO3表面的光谱并用作背景。f WO3、NaIO4/WO3及其含有26 wt% 水的浆液用于降解AA的PCD活性。带有空心符号的虚线代表AA降解产生的CO2浓度。误差线定义为标准偏差。实验条件:[AA]0= 120 ppmv;可见光(λ > 420 nm)强度为2.2 mW/cm2;样品量为50 mg(在WO3浆液和NaIO4/WO3浆液中,额外的水为13 mg);反应温度为30 °C。
图4. PA、WO3和PA/WO3的表征。a X 射线衍射光谱。b漫反射紫外-可见吸收光谱(DRS)(插图是从光谱I减去光谱III获得的差异DRS光谱)。c W 4f 和d I 3d 波段的XPS光谱。
图5. O2和PA的影响。O2浓度对a PA/WO3和b WO3上乙醛(AA) PCD 的影响。c PA/WO3上AA降解和同时产生的CO2的PCD循环测试。d碘物质在(I)初始、(II)第1个PCD循环和(III)第5个PCD循环之后的PA/WO3中的相对分布。e EPR 光谱探测含DMPO (CO = 10 mM) 的水性催化剂浆液中的·OH加合物(·OH-DMPO)的光生成。f 所提出的AA的PCD机制。带有空心符号的虚线代表AA降解产生的CO2浓度。实验条件:[AA]0= 120 ppmv;可见光(λ > 420 nm)强度为2.2 mW/cm2;样品量50 mg;相对湿度 65%;反应温度为 30 °C。
图6.通过PA/WO3选择性去除亲水性挥发性有机化合物(VOC)。a WO3和PA/WO3的PCD速率常数(kd)和b不同VOC矿化效率。c AA 和C5的混合物,以及d MeOH 和DCM的混合物的PCD。误差线定义为标准偏差。实验条件:[VOC]0= 120 ppmv;可见光(λ > 420 nm)强度为2.2 mW/cm2;样品量50 mg;相对湿度 65%;反应温度为 30 °C。AA乙醛、IPA异丙醇、AT丙酮、MeOH甲醇、DCM二氯甲烷、C5正戊烷、ClC3正氯丙烷、Tol甲苯。
图7. PA/WO3光催化选择性PCD的工作机理示意图。a WO3涂上高碘酸(PA)以形成PA/WO3。b由于PA在环境空气中的吸湿性,导致原位表面水层形成,而原位水层中的高碘酸盐离子(IO4-)作为有效的电子受体。c在可见光下,光生电子被IO4−迅速清除,而空穴产生 •OH自由基,随后降解溶解在原位水层中的亲水性VOC。然而,由于“水屏障效应”,疏水性 VOC在光催化过程中保持完整。

总结与展望
基于上述结果,作者表明通过在环境空气中的光催化剂表面引入原位水层,以独特的方式利用水去除VOC。薄的表面水层的存在,选择性地溶解并浓缩其中的亲水性VOC,这随后促进了它们的PCD。为此,高碘酸(PA,HIO4·2H2O)作为一种高吸湿性物质被用来诱导光催化剂表面和空气相之间形成原位水层;结果,气-固界面可以转变为气-液-固(三相)界面。此外,高度氧化的PA有可能作为CB电子的强清除剂,这会通过空穴转移促进 •OH的形成。在此,PA/WO3体系用于几种VOC的PCD,提出了PA辅助光催化的概念,即在光催化剂表面原位形成水层。对于亲水性VOC的PCD,低成本的负载PA的WO3表现出比负载Pt的WO3更高的活性。这为亲水性VOC的高性能选择性降解提供了一种具有成本效益的技术。
声明
本文仅供科研分享,不做盈利使用,如有侵权,请联系后台小编删除

“邃瞳科学云”直播服务
“邃瞳科学云"平台正在收集、整理各类学术会议信息,欢迎学会、期刊、会议组织方择优在邃瞳平台上进行线上直播,希望藉此帮助广大科研人员跨越时空的限制,实现自由、畅通地交流互动。欢迎老师同学们提供会议信息(会有礼品赠送),学会、期刊、会议组织方商谈合作,均请联系翟女士:18612651915(微信同)。
扫描二维码下载
邃瞳科学云APP

