二次型、主轴变换、谱定理及矩阵力学
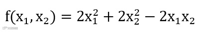
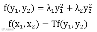
二次型在数学中为二次形式的多项式,项均为二阶(又被称为是齐次多项式),从一个最简单的二阶多项式开始,如下:

这个二次型中含有交叉项,想办法进行标准化,让表达式仅含有平方项

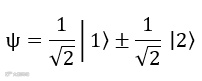
对两个向量进行正交归一化,这两个向量已经是正交的,进行归一化

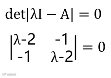
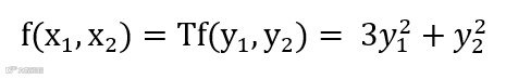
通过正交变换使对称矩阵A对角化,对角线元素即为本征值,数学上被称为主轴变换,几何意义是非常清晰的,是使二次型曲线变为标准曲线。

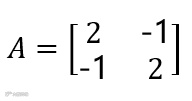
矩阵A几何意义为首先对单位圆进行T操作(拉伸或压缩),使其变成一个延X轴压扁的椭圆,然后对其进行U操作(旋转),使其变成旋转了45°。
通过正交变换使对称矩阵A对角化又被称为主轴变换或主轴定理。即实对称矩阵一定和一个对角矩阵相似,并且这个对角矩阵的所有对角元素都是该实对称矩阵的特征值。最早的例子就是上面解析几何中的主轴定理,即二次型在某个直角坐标系下可以化为标准形式,我们在力学课学到的惯量主轴也是主轴定理的一个特例。直到20世纪初,希尔伯特研究积分方程时,才发展了无限维二次型的主轴变换理论,希尔伯特将无限维复空间本征值主轴定理称为谱定理(Spectral theorem)。后来量子力学中研究发现矩阵本征值的谱定理正好对应原子特征光谱。希尔伯特本人对这一理论的应用感到十分惊讶,他从纯粹的数学逻辑发展了无限二次型理论,没有任何预感它后来会对应于实际的物理系统。
矩阵力学之所以由海森堡、波恩和约当三人共同建立有深刻数学物理起源,得益于哥廷根学派深厚的学养。首先由海森堡神秘而大胆的突破,引入了坐标和动量的跃迁振幅,发现了乘法交换律被破坏。在那个年代波恩是为数不多的熟悉矩阵代数的物理学家,他很快意识到不对易性不过是矩阵的演算。而且他在与冯卡门进行晶体热容计算过程已经使用过矩阵数学。无限二次型的理论是波恩的老师希尔伯特建立的,他在大学时代就已经熟悉矩阵演算。因此波恩对矩阵代数、无限维矩阵及主轴变换、谱分析等十分了解。约当在哥廷根参与了著名数学家柯郎的教学,协助柯郎和希尔伯特编写了经典教材《数学物理方法》(这本书不但为矩阵力学提供了数学,而且为波动力学也提供了全套的数学工具)。另外三人都是周期系统经典理论、微扰方法和正则变换的专家。任何一个创新都不是轻易获得的,何况是旷世之作。
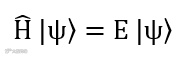
对于定态薛定谔方程
,这是一个求能量本征值问题,E称为本征值,ψ称为本征函数。写成狄拉克符号形式,有:
写成矩阵形式,由
,可知[
]的矩阵元:
,波函数为
,写成力列矢量,所以有:
考虑到本征算符对应本征矢量矩阵元,只有对角线上的元素非零,有:
利用矩阵求能量本征值,就是求矩阵|H-EI|的行列式,即:
把这个本征方程和二次型对称矩阵的本征方程放到一起,原来形式是一致的!!!

3. 一个具体的例子
氨分子的结构如图所示,由三个氢原子与一个氮原子组成金字塔构型的分子,相对于氢原子的平面,氮原子存在两种互为镜像的可能位置。我们把这两个基础态分别记作
,根据态叠加原理,任意量子态就可以写成这两个态的叠加
对于互为镜像的分子构型,它们任一种构型并不具有天然优越性,因此两个量子态是等价的,能量记作E0。虽然氮原子从一侧跃迁到另一侧要跨越一定的势垒,在经典物理中不能实现。但在量子世界中,二个态之间存在量子遂穿的概率,所以哈密顿矩阵除了对角元为E0,非对角元H12和H21也是非零的。由于哈密顿算符是厄米算符,因此我们可以令H12=H21=-A,即
由定态薛定谔方程的本征方程
可以求得系统能量本征值
我们可以定义新的基础态C+ 和C- ,其中新的基础态与最初基础态的关系如下

由此可见在新的基础态下,哈密顿矩阵已经实现了对角化
至于矩阵力学有没有几何意义,反正没那么直观,请大家自己体会吧!!!
附录:圆锥曲线的二次型表示
圆
给定边界条件取f(x1,x2)=1,其图像如下:
椭圆:

双曲线:

本文仅用于学术分享,不做盈利使用,如有侵权,请联系后台小编删除
欢迎关注我们,订阅更多最新消息
“邃瞳科学云”推出专业的自然科学直播服务啦!不仅直播团队专业,直播画面出色,而且传播渠道多,宣传效果佳。
“邃瞳科学云"平台正在收集、整理各类学术会议信息,欢迎学会、期刊、会议组织方择优在邃瞳平台上进行线上直播,希望藉此帮助广大科研人员跨越时空的限制,实现自由、畅通地交流互动。欢迎老师同学们提供会议信息(会有礼品赠送),学会、期刊、会议组织方商谈合作,均请联系陈女士:18612651915(微信同)。
投稿、荐稿、爆料:Editor@scisight.cn