
1. 黄小青团队Advanced Materials:超薄 RuMn 纳米片分支的补偿电子效应助力水分解!


全文速览
为了提高电催化剂的活性和稳定性,研究人员已经在纳米催化剂中应用了各种调制策略。在不同的方法中,杂原子掺杂被认为是一种有效的方法,它可以改变局部键合环境和电子结构。同时,新型二维(2D)纳米结构的设计也为实现高效电催化剂提供了新的机会。在这项工作中,作者合成了 Mn 掺杂的超薄 Ru 纳米片分支(RuMn NSBs),这是一种新报道的二维纳米结构。RuMn NSBs 表现出析氢反应和析氧反应的双功能活性,在不同的电解质中具有高活性和耐久性。实验表征表明,由于 Mn 掺杂,Ru-O 键缩短,这是电化学性能提高的关键因素。密度泛函理论 (DFT) 计算已经证实,Mn 的引入可以对 Ru 位点的价态进行灵活调控。 Ru和Mn位点的反氧化还原态演化不仅提高了水分解的活性,而且由于Ru位点的钉扎效应而提高了长期稳定性。该工作为未来高性能、耐用的先进Ru基电催化剂的设计提供了重要启示。

背景介绍
人类对能源危机和环境污染的日益关注,促进了可再生能源的发展,其中氢气被认为是最有前途的清洁能源之一。电化学水分解代表了一种在温和条件下生产高纯度氢气的有前途的技术。实现水分解,需要高活性和耐用的电催化剂来催化析氢反应(HER)和析氧反应(OER)。在 HER 的阴极侧, Pt 基纳米材料是最先进的电催化剂,但其成本高、反应动力学缓慢,并且在碱性电解质中容易腐蚀。关于阳极的OER,虽然已经设计了广泛的非贵金属基催化剂,但仍需要进一步提高其性能。此外,它们在苛刻的酸性电解质中几乎不能保持稳定,导致催化耐久性差。因此,合成高效且稳定的电催化剂用于分解水是急需的,尤其是在苛刻的酸性介质中。此外,开发用于 pH 通用的水分解双功能电催化剂,一直是一个有吸引力的话题,因为它具有重要的优势,例如简化电池系统的设计和降低催化剂的成本。
在所有报道的电催化剂中,Ru 基材料是最有希望的双功能催化剂,因为它们在 pH 通用条件下对 HER 和 OER 都具有高活性。然而,许多报道的 Ru 基催化剂的电化学性能在 OER 过程中仍然存在稳定性差的问题。在碱性和酸性电解质中,在高阳极电位下都会形成可溶性 RuO4 物种,这导致 Ru 基电催化剂的活性显著衰减。因此,仍然需要付出巨大的努力来克服 Ru 基电催化剂的这些挑战。一种有前景的解决稳定性问题的策略是调节 Ru 基催化剂的电子结构并增加 Ru-O 键的强度,以抑制 OER 过程中可溶性 RuO4 物种的形成。而杂原子掺杂已被广泛用作调控材料电子结构和催化性能的有效策略。此外,二维(2D)纳米结构设计在开发高效催化剂方面也被证明是有希望的。由于超薄的性质,更多的活性位点暴露在二维纳米结构上,以实现更快的电子传输,这有利于电化学性能。因此,开发杂原子掺杂的二维纳米结构可以成为实现高活性和耐用的 Ru 基水分解催化剂的有前景的方法。

图文解析
图 1. 形貌和结构表征。 (a) RuMn NSBs 合成示意图。(b) 和 (c) STEM 图像,(d) XRD 图案,(e) TEM 图像(插图是选定区域的电子衍射图案),(f)EDS 元素mapping图和(g)合成的 RuMn NSBs 的 EDS 元素线扫描曲线。
图 2. OER 活性评估。 RuMn NSBs-300、商业 RuO2 和 IrO2 在 (a) 0.5 M H2SO4 和 (b) 1 M KOH 中的 OER LSV 曲线。(c) RuMn NSBs-300、商业 RuO2 和 IrO2 在 10 mA/cm2 下的过电位比较。 (d) RuMn NSBs-300、商业 RuO2 和 IrO2 在 η = 270 mV 过电位下的电流密度比较。(e) 从不同扫描速率下的 CV 扫描获得的双层电容 (Cdl)。(f) RuMn NSBs-300、商业 RuO2 和 IrO2 的 EIS Nyquist 图(点:原始数据,线:拟合数据)。插图是等效电路。(g) 电流密度为 10 mA/cm2 时,酸性电解质中 OER 过电位的直方图。
图 3. HER 活性评估。RuMn NSBs-250、商用 Pt/C 和 Ir/C 在 (a) 0.5 M H2SO4 和 (b) 1 M KOH 中的 HER LSV 曲线。(c) RuMn NSBs-250、商用 Pt/C 和 Ir/C 在 10 mA/cm2 下的过电位比较。 (d) RuMn NSBs-250、商业Pt/C和Ir/C在η = 30 mV的过电位下的电流密度比较。(e) RuMn NSBs-250、商业 Pt/C 和 Ir/C 在 1 M KOH 中的 HER Tafel 图。(f) RuMn NSBs-250、商用 Pt/C 和 Ir/C 的 EIS Nyquist 图(点:原始数据,线:拟合数据)。插图是等效电路。 (g) 电流密度为 10 mA/cm2 时,碱性电解质中 HER 过电位的直方图。
图 4. 水分解性能评估。 RuMn NSBs-250‖ RuMn NSBs-300 和商业 Pt/C‖ RuO2 在 (a) 0.5 M H2SO4 和 (b) 1 M KOH 中的水分解极化曲线。(c) 电流密度为 j = 10 mA/cm2 时的电压比较。 (d) Tafel 斜率值的比较。(e) 在 0.5 M H2SO4 中以 10 mA/cm2 的电流密度进行稳定性测试。 (f) 10 mA/cm2 时的电压和稳定性的性能比较。
图 5. 电子结构研究。Ru 箔、RuO2 和 RuMn NSBs-300 样品的 (a) Ru K-edge XANES 和 (b) 相应傅立叶变换 EXAFS 光谱。(c) Mn、MnO、Mn2O3、MnO2 和 RuMn NSBs-300 的 Mn K-edge XANES 光谱。(d) Ru箔、(e) RuO2和 (f) RuMn NSBs-300中Ru的小波变换。
图 6. Ru和RuMn NSBs之间的电子结构比较。(a) Ru 和 (b) RuMn 中电子分布的 3D 等高线图。绿色球 = Ru,紫色球 = Mn。(c) RuMn NSB 的 PDOS。(d) RuMn NSB 中不同Ru 位点的 PDOS。(e) RuMn NSBs 中不同Mn 位点的PDOS。(f) 用于分解水的中间体的 PDOS。
图 7. 能量分布图和活性图。 (a) 质子的结合能。OER 在 (b) 酸性和 (c) 碱性介质中, U = 0 V 下的反应能。(d) U = 1.23 V 下, OER 在酸性和碱性介质中的反应能。

总结与展望
基于上述结果,作者报道了具有丰富边缘的超薄2D Mn掺杂Ru纳米片分支。所制备的 RuMn NSB 提供了更多暴露的活性位点和快速的电子传输。更重要的是,Mn 原子并入 Ru 的晶格中改变了电子结构,这进一步提升了在酸性和碱性电解质中的 HER、OER 和整体水分解性能。特别是,在 1.456 V 的超低电压下实现了酸性水分解,以达到 10 mA/cm2 的电流密度。更吸引人的是,RuMn NSBs 表现出 125 小时稳定性,是目前酸性水分解中最有效和最稳定的电催化剂之一。 DFT 计算表明,由于灵活的电子调控,引入的 Mn 保证了 RuMn NSB 的高活性和稳定性。基于补偿电子结构,有效的 d-d 耦合降低了电子转移势垒并提高了 Ru 位点中价态的稳定性。具有高活性和稳定性的水分解RuMn NSBs的设计和合成,为未来新型水电解槽电催化剂的开发提供了重要启示。
2. 侯高垒/Ewald Janssens团队Angew. Chem.: C60 负载的单原子钒助力水分解!

全文速览
水分解是氢的重要来源,是未来清洁可再生能源的重要载体。详细探究由负载金属原子或纳米粒子催化的水分解机制,对于改进高效催化剂的设计至关重要。在这里,作者基于由 C60 负载的钒原子,报告了水分解过程(C60V+ + H2O → C60VO+ + H2)的红外光谱研究。作者探测了入口通道复合物 C60V+(H2O) 和最终产物 C60VO+ ,并探究了由于共振红外吸收而形成的 H2。反应途径的密度泛函理论计算表明,五重态到三重态的自旋交叉促进了 C60 负载的 V+ 的水分解反应,而该反应在孤立的 V+ 离子上受到高能垒的动力学阻碍。由于一个水氢原子与 C60 载体的一个碳原子的大的轨道重叠,C60载体在降低反应势垒方面具有重要作用,超过 70 kJ/mol。C60 负载的单个钒原子通过改变反应势能表面,展示了单原子催化剂中载体的重要性。

背景介绍
寻找可持续和环境友好的化石燃料替代品已成为世界范围内的一项重大挑战,这促进了高效能源转换技术的发展。作为一种方便、安全和通用的燃料来源,氢可以转化为所需的能源形式,且不会排放温室气体和污染物。可以大规模利用的一个重要氢源是析氢反应,其是水分解中一个重要的步骤。水分解的能垒很高,需要通过合适的催化剂才能大大提高反应速率。对潜在的水分解机制的基本理解有利于指导新型高效催化剂的设计。
近年来,单原子催化已成为多相催化的前沿方向。研究表明,SACs 具有多种特殊性质,例如最大原子利用效率、优异的稳定性、可调的活性和高选择性,为生产高效的水分解催化剂提供了广阔的前景。为了表现出高稳定性和优异的反应活性,分散的金属原子必须嵌入或吸附在载体的特定位点,因此强调了载体环境的重要性,包括表面条件、载体类型和金属-载体相互作用。第一性原理计算已被用于研究 SAC 的配位环境、反应性和金属-载体相互作用,以及它们的内在热力学和动力学稳定性。最近,已经开发出高效分解水单原子电催化剂,其由各种载体上的贵金属组成,例如金属氧化物、(掺杂)介孔碳、二硫化钼纳米片和硼单层,且具有优异的活性和稳定性。然而,由于实际反应条件的复杂性以及缺乏对金属-载体相互作用和支撑基底作用的分子水平理解,预测指导高活性且稳定的 SAC 的设计在实践中仍然很重要。

图文解析
图 1. 通过激光汽化产生的 C60V+、C60VO+ 和 C60V+(H2O) 的质量分布,在 1030 cm-1(a)和 1190 cm-1(b)处,有(红色)和没有(黑色)红外辐射情况下获得。 a 和 b 的插图显示了C60VO+ 和 C60V+(H2O) 的质量分布范围。 C60VO+ 和 C60V+(H2O) 的模拟天然同位素分布分别用蓝色和粉红色棒显示在a 的插图中。图 1a 和 1b 来自两个单独的实验,C60V+ 同位素分布的前两个同位素(m/z = 771 和 772 amu)已饱和,因为它们的强度超过了数据采集窗口。 (c)C60VO+(蓝色线)和 C60V+(H2O)(粉色线)的 IRMPD 耗尽光谱。该光谱显示了 C60VO+ 信号增长和 C60V+(H2O) 信号损失。由于 C60V+(H2O) 的 H2 损失以及通过 C60VO+ → C60 + VO+ 的损失(在 1030 和 1400 cm-1附近最为明显),C60VO+ 光谱表现为一个增长的组合。
图 2. (a) C60V+(H2O) 的 IRMPD 光谱和 C60V+(H2O) 在 η5(红色)和 η6(蓝色)结构中的计算光谱,并显示了它们的结构和相对稳定性。 (b) C60V+(H2O)(D2) 的 IRMPD 光谱,以及 η5 和 η6 C60V+(H2O) 的 D2 标记复合物的计算光谱。计算的光谱使用 12 cm-1 半峰全宽的洛伦兹线形进行卷积,η5 的计算强度也用棒绘制。青色箭头范围内的计算光谱乘以了三倍。
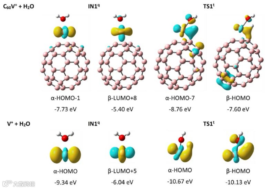
图 4. 水分解反应的 IN1q(五重态)和 TS1t(三重态)的前沿分子轨道(isovalue = 0.04 a.u.)显示 V 和转移的水 H 之间的轨道重叠。HOMO:最高占据分子轨道;LUMO:最低未占分子轨道。

总结与展望
基于上述结果,作者研究了 C60 上负载的单个钒离子的水分解反应。作者通过红外多光子解离光谱表征了反应的入口通道复合物 C60V+(H2O) 和反应的最终产物 C60VO+,并通过与密度泛函理论计算的比较来研究它们的结构。作者探索了C60V+分解水的详细反应机理,发现了明显的载体效应。与没有 C60 的相同反应(即 V+ 分解水)相比,C60 降低了反应势垒。 NBO 部分电荷和轨道相互作用分析表明,由于电荷从载体转移到钒,而且水的第一个转移氢与金属中心之间的轨道重叠延伸到 C60 的一个碳原子,因此降低反应势垒。电荷转移和轨道重叠都用于稳定过渡态,从而降低其与入口通道复合物的能量差(减少能垒)。这项工作证明了碳载体在水分解反应中的重要影响,有助于理解基于多孔碳材料的单原子催化剂的催化性能。
声明
本文仅供科研分享,不做盈利使用,如有侵权,请联系后台小编删除

“邃瞳科学云”直播服务
“邃瞳科学云"平台正在收集、整理各类学术会议信息,欢迎学会、期刊、会议组织方择优在邃瞳平台上进行线上直播,希望藉此帮助广大科研人员跨越时空的限制,实现自由、畅通地交流互动。欢迎老师同学们提供会议信息(会有礼品赠送),学会、期刊、会议组织方商谈合作,均请联系翟女士:18612651915(微信同)。
扫描二维码下载
邃瞳科学云APP

