第一作者:Qikai Sun, Quanquan Wang
通讯作者:陈弓,Ming Joo Koh
通讯单位:南开大学,新加坡国立大学
论文DOI:https://doi.org/10.1038/s44160-024-00496-7
最先进的糖基化方法主要依赖于杂原子亲核试剂与亲电糖基氧碳鎓中间体的离子反应。尽管这种离子糖基化策略可以有效地形成O-糖苷,但是,它们在N-糖苷合成中的应用常常受到N-亲核试剂反应性减弱(在糖基供体活化所需的酸性反应条件下)的困扰。对糖基自由基中间体反应性的探索可以提供新的糖基化途径,但是,利用糖基自由基的反应性来生成典型的 O-或 N-糖苷仍然难以实现。在本研究中,陈弓教授(2017年获杰出青年科学基金资助)团队报告了在温和的铜催化和光氧化还原促进条件下,使用易于获得的糖基砜供体和 N-亲核试剂,开发了糖基自由基介导的 N-糖基化反应。该方法高效、高选择性、氧化还原中性且适用范围广泛,能够以简化的方式轻松获得各种复杂的 N-糖苷和核苷。重要的是,本系统可以耐受水的存在,并提供独特的化学选择性,允许NH位点相对于羟基进行选择性反应。
碳水化合物在许多生物过程中发挥着核心作用,并在现代治疗开发中具有重要应用。在异头位置分别带有氧和氮连接基的O-糖苷和N-糖苷是两类最普遍的碳水化合物。与二价氧原子相比,三价氮原子可以采用更多样化的键合模式。此外,它们的反应性会受到空间和电子因素的强烈影响。氮的多功能键合能力赋予 N-糖苷丰富的结构特征,使其具有多种生物学功能。例如,带有杂芳族氮基序的核苷是核酸的关键组成部分,核苷类似物常见于天然产物(例如除草剂)并广泛用于药物开发(例如利巴韦林)。谷氨酰胺甲酰胺侧链(N-聚糖)的 N-糖基化代表了蛋白质翻译后修饰的重要模式。然而,各种氮基序的独特化学性质,特别是它们的碱性,也对N-糖苷的合成提出了相当大的挑战。
目前构建糖苷键的策略主要依赖于杂原子亲核试剂与亲电糖基氧碳鎓中间体的极性反应,这些中间体通常在酸性条件下由糖基供体产生。尽管酸促进的取代方案对于大多数 O-亲核试剂(例如醇的 OH 基团)效果良好,但它并不是特别适合更多碱性的 N-亲核试剂。为了提高 N-糖基化效率,通常需要更严苛的条件,例如更高的温度,但这可能会面临酸不稳定官能团的问题。此外,氧碳鎓途径缺乏有效区分不同类型亲核试剂的能力,这使其需要广泛使用复杂底物的保护基团,并严格从反应系统中去除水。另一方面,与氧碳鎓离子相比,糖基自由基中间体具有不同的反应模式。对糖基自由基介导的反应性探索可以为糖苷键的构建开辟新的途径。最近的研究表明,糖基自由基的反应性可以通过镍和铁络合物等金属催化剂进一步调节,以更可控的方式制造 C-糖苷。然而,糖基自由基与 N- 或O-基试剂用于获得典型 N- 或 O-糖苷的相应反应,仍然存在挑战。
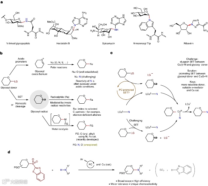
图 1. 糖基介导的 N-糖苷合成。a,代表性的N-糖苷类天然产物和药物。b,用于糖基化反应的常用策略:通过糖基氧碳鎓中间体的常规离子策略,已被证明用于O-糖苷合成,但不太适合N-糖苷合成;糖基自由基策略,已在 C-糖苷合成中得到许多应用,但尚未用于 N-糖苷合成。c,作者针对铜催化、自由基介导的 N-糖基化的初步反应设计。d,铜催化、光氧化还原促进的糖基砜 N-糖基化(本工作)。

图 2. 2 在铜催化和光氧化还原促进条件下的模型 N-糖基化反应。a,6的模型反应。b,特定糖基供体和 PC 的还原电位(针对 MeCN 中的 SCE 测量)。c,在有和没有PC1的条件下,6和2的光诱导、Cu催化反应的比较。d,所提出的机理。

图 3. 在Cu催化的与砜供体6的N-糖基化反应中,N-亲核试剂的范围。标准条件如下:6(1.0 当量)、N-受体(1.5 当量)、PC1(1 mol%)、Cu催化剂(10 mol%),配体(15 mol%),碱(2.0 当量),CH2Cl2 (0.033 M),N2,30 °C,蓝色 LED(465 nm,48 W),24 小时。

图 4. Cu 催化的脱磺酰 N-糖基化反应的底物范围。分离产量为 0.1 mmol 规模。单一非对映异构体选择性通过后处理后的反应混合物的1H NMR 光谱分析来确定。所有产物均通过硅胶柱色谱纯化。对于可分离的非对映异构体,α:β 比例由分离的异构体确定;在不可分离的非对映异构体的情况下,该比率是基于非对映异构体的纯化混合物的1H NMR光谱分析计算的。
综上所述,本研究开发了铜和光氧化还原联合催化下的糖基自由基介导 N-糖基化反应。在常规光诱导和Cu 催化条件下,与 N-亲核试剂实现自由基 N-糖基化反应的关键在于易于还原的苯并噻唑基砜作为糖基供体。添加适当的光催化剂提供了电子穿梭,以促进砜供体更有效的 SET 激活,从而大大加速了 N-糖基化过程。该催化方法已成功应用于从易于获得的前体制备各种复杂的N-糖苷,例如核苷及其类似物。特别值得注意的是,这种自由基N-糖基化方案表现出高化学选择性和耐水性,有效克服了传统阳离子糖基化的问题。作者期望这项工作进一步推动糖基自由基介导的与其他杂原子试剂的交叉偶联反应的发展,用于合成更广泛的具有药用价值的碳水化合物。
欢迎关注我们,订阅更多最新消息
“邃瞳科学云”推出专业的自然科学直播服务啦!不仅直播团队专业,直播画面出色,而且传播渠道多,宣传效果佳。
“邃瞳科学云"平台正在收集、整理各类学术会议信息,欢迎学会、期刊、会议组织方择优在邃瞳平台上进行线上直播,希望藉此帮助广大科研人员跨越时空的限制,实现自由、畅通地交流互动。欢迎老师同学们提供会议信息(会有礼品赠送),学会、期刊、会议组织方商谈合作,均请联系王女士:18612651915(微信同)。
投稿、荐稿、爆料:Editor@scisight.cn