
第一作者:陈颖康
通讯作者:刘敏
通讯单位:中南大学物理学院
DOI:https://doi.org/10.1073/pnas.2312480120
四氟化碳(CF4)是大气中最简单、含量最高的全氟碳化合物,由于其强大的红外辐射吸附能力,是一种永久有效的温室气体。高度对称且稳定的C‒F键结构使得CF4的活化成为一个巨大的挑战。在此,我们提出了一种创新性策略促进C‒F键活化,利用质子化硫酸盐(‒HSO4)修饰Al2O3@ZrO2(S-Al2O3@ZrO2)催化剂,从而实现CF4高效分解。结合原位红外光谱(in situ IR)测试和密度函数理论(DFT)模拟,我们证明了引入的‒HSO4质子供体对C‒F键具有强相互作用,可以进一步拉伸C‒F键,促使其活化。结果表明,S-Al2O3@ZrO2催化剂在创纪录的580 °C低温下实现了100%的CF4稳定分解,其TOF值是Al2O3@ZrO2的8.3倍。本研究为在低温下实现高效C‒F键活化和CF4分解开辟了一条新的途径。
全球变暖已成为21世纪最紧迫的问题之一。全氟碳化合物(PFCs),如四氟化碳(CF4),因其强温室效应(Global Warming Potential,GWP,值为7390)和极长的大气寿命(50000年)而引起了广泛关注,最新欧盟新发布的碳边界调整机制(Carbon Border Adjustment Mechanism, CBAM)中已将CF4列为需要核算碳税的温室气体行列。考虑到其大气浓度自工业化前时代以来翻了一番,开发高效、低成本的CF4分解方法对于实现可持续发展至关重要。热催化水解法因其分解速度快和无有毒副产物的优势最具大规模应用的潜力。但高度对称的单碳结构和极难活化的C‒F键使得CF4分解需要较高的温度,目前还没有报道能将在低于600 °C的温度下实现CF4的高效稳定分解。
3 该策略为开发高效的C‒F键活化和CF4分解催化剂铺平了道路,为对抗温室气体危害的实际、有效解决方案开辟了新的途径。
图1 (A)Al2O3@ZrO2和S-Al2O3@ZrO2催化剂的XRD图谱。S-Al2O3@ZrO2催化剂的(B)TEM和(C)EDS图谱。Al2O3@ZrO2和S-Al2O3@ZrO2催化剂在(D)S 2p、(E)Al 2p和(F)Zr 3d区域的XPS图谱。

为了确定‒HSO4质子供体的性质,我们对Al2O3@ZrO2和S-Al2O3@ZrO2催化剂的表面酸性进行了测试。NH3-TPD测试结果(图2A)表明,引入‒HSO4质子供体后,催化剂表面的酸性位点含量和强度均显著提高,S-Al2O3@ZrO2表面具有更多的强酸位点。进一步通过py-IR对表面酸性位点进行了定性分析(图2B),Al2O3@ZrO2只含有L酸位点,经过硫酸改性后引入了B酸位点,即‒HSO4质子供体。根据不同温度的py-IR光谱(图2B-D),可以证明引入的‒HSO4质子供体具有强B酸性,即强质子供给能力。
为了研究‒HSO4质子供体对C‒F键活化的影响,我们对S-Al2O3@ZrO2催化剂进行了in situ IR测试。首先在只通CF4气氛、580 °C条件下进行了测试(图3A),在观察到CF4分解产物HF生成的同时,还发现了‒HSO4质子供体的消耗和‒SO4的生成。这一结果证明‒HSO4直接与CF4反应,活化裂解C‒F键,生成‒SO4和HF。进一步进行了工况下的in situ IR测试(图3B),首先在580 °C下同时通CF4和H2O模拟工况反应条件,此时观察到的实验现象与只通CF4时相似。然后断CF4仅通H2O,发现了‒SO4的消耗和‒HSO4的再生。进一步证明了,在CF4分解过程中H2O通过转化为‒HSO4质子供体的形式直接活化C‒F键。DFT(图3C、3D)和CF4-TPD结果(图3E)证明了引入‒HSO4质子供体后,催化剂对CF4吸附和C‒F键的拉伸程度均明显增强。基于此,提出了质子供体促进C‒F键活化的作用机制(图3F)。AlⅢ位点稳定吸附CF4分子,同时相邻的‒HSO4质子供体与吸附的CF4间产生H···C‒F相互作用,AlⅢ-HSO4位点对CF4的协同作用促进了C‒F键的活化。

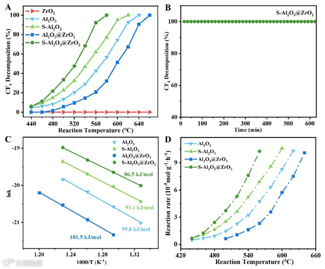
含有丰富‒HSO4质子供体的S-Al2O3@ZrO2催化剂表现出优异的CF4水解活性,在580 °C下可稳定实现100%的CF4分解效率(图4A、4B),远低于Al2O3@ZrO2(660 °C)及此前报道的其他催化剂,其TOF值(3.91 × 10-3 s-1)也是Al2O3@ZrO2(0.47× 10-3 s-1)的8.3倍,证明引入‒HSO4质子供体对C‒F键活化起到了极大的促进作用。Al2O3(640 °C)的CF4分解性能在改性后的提升(S-Al2O3, 620 °C)进一步证明了‒HSO4对C‒F键活化的促进作用。通过CF4分解反应速率(图4D)计算了不同催化剂对CF4分解的表观活化能(Ea)(图4C)。结果表明,与硫酸改性前相比,S-Al2O3和S-Al2O3@ZrO2的Ea均显著降低,表明‒HSO4质子供体的引入提升了催化剂对CF4分解的本征活性。
综上所述,通过‒HSO4质子供体与C‒F键之间的相互作用,提出了一种促进C‒F键活化从而实现CF4高效分解的策略。含有丰富‒HSO4的S-Al2O3@ZrO2催化剂表现出优异的CF4水解活性,在580 °C的低温下,CF4被完全分解,TOF值是Al2O3@ZrO2催化剂的8.3倍。In situ IR测试和DFT模拟结果表明,引入的‒HSO4质子供体与C‒F键之间的强相互作用是CF4分解活性提升的决定性因素。‒HSO4对C‒F键的强相互作用能促进C‒F键活化,实现CF4高效分解。该策略为开发高效的C‒F键活化和CF4分解催化剂铺平了道路。
刘敏:中南大学教授,博士生导师,2020-2023科睿唯安高被引学者,入选国家引进海外杰出人才,国家重点研发计划国际合作项目首席科学家,湖南省杰出青年,湖南省“青年百人计划”,湖南省科技创新平台与人才计划,长沙市国家级领军人才,粉末冶金国家重点实验室、超微结构与超快过程湖南省重点实验室成员。近年来在环境催化领域取得了多项创新成果,在Nature, Science, Nature Nanotechnology, Nature Photonics, Nature Chemistry, Nature Communications, Science Advances, Joule, Proceedings of the National Academy of Sciences等国际权威学术期刊上发表论文220余篇,论文他引>20000次,H-因子为73, 相关研究成果多次被 Science Daily, Science News, Phys.org, 福布斯等新闻媒体报道。担任30余个国际主要学术期刊审稿人。申请中国、加拿大日本发明专利30余项,其中20余项已经授权。
课题组网页链接:https://www.x-mol.com/groups/min_liu
声明
“邃瞳科学云”直播服务
扫描二维码下载
邃瞳科学云APP

