自旋单态和自旋三重态的由来
氦原子光谱的实验研究发现其光谱中存在明显独立两组谱线,相互独立的谱线被称为仲氦和正氦。仲氦谱线都是单态的,正氦都是非常窄的三重态;又被称为单线态和三线态,多么直白就是指光谱线的数量(如图1所示)。这些实验结果始终困扰整个物理学界。直到1925年乌伦贝克和古德施密特先后提出自旋概念和泡利不相容原理才为解决这个问题提供了新的契机。海森堡迅速地吸收了薛定谔的波动力学,并结合自旋和不相容这些新的概念解决了氦谱线的理论解释的难题[1-2]。

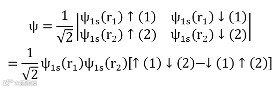
氦的基态就是只考虑1s轨道中的两个电子,由于电子的费米子特性,必须遵循泡利不相容原理,若其轨道函数是对称,则电子自旋函数必然是反对称的。这便是反对称的氦原子基态,是自旋单态。记做1S0。

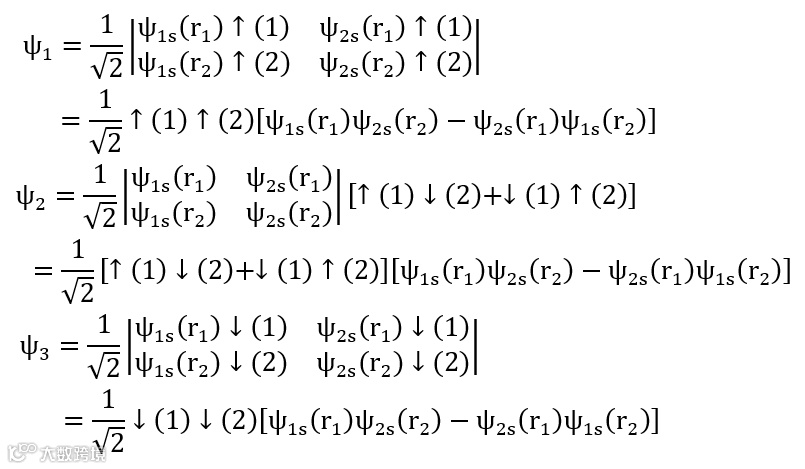
氦原子中两个电子其中一个处于激发态,即一个电子在1s轨道,另外一个电子在2s轨道,这时电子的自旋态可以构造为对称函数而其轨道函数必须构造为反对称函数,这与自旋基态的形式正好相反。氦原子第一激发态被称为自旋三重态(电子自旋是对称的,轨道是反对称的),记做3S1。

考虑电子之间的库伦相互作用,对于自旋单态1S0空间函数为对称的,因此当r1=r2时这部分是增强的,而对于自旋三重态3S1则正好相反,当r1=r2时空间波函数作用为零。因此电子的排斥作用引起的能量增加在总自旋为0的态比自旋为1态要大,因此氦原子中自旋三重态3S1的几率比自旋单态1S0要大。氦原子光谱的深刻理解还导致了交换力概念的发展。这与两个全同电子不能占据相同的量子态有关(泡利不相容原理及费米狄拉克分布实质),1928年海森堡更是将交换力的概念用于铁磁理论,建立磁性物质第一量子力学模型[3]。

图2 氧分子的自旋单态和自旋三重态示意图
在光化学反应和生物化学反应中单线态氧(Singlet oxygen)是十分重要的反应活性物种[4],单线态氧和三线态氧(Triplet oxygen)这些概念会对初学者造成很大障碍。但通过上面我们对氦中电子分布状态的描述,就很容易理解这些概念。在分子轨道理论中,两个氧原子组合的分子轨道存在成键轨道和反键轨道,成键轨道比原轨道能量低,图2中可以看出成键轨道已经占满,所以能量的高低主要看反键轨道。如图2所示,电子处在分立轨道,并且自旋平行的时候,分子能量最低。所以三线态处于低能态。每个电子的自旋为1/2,因此总的自旋量子数为1,对应于三种简并态。记为3Σ−g。两个不太稳定、能量较高的激发态很容易从这个基态获得,第一种情况是两个电子占据同一个轨道且自旋相反,称为1Δg单重态;另一种情况是两个电子仍然占据两个不同的轨道,但自旋相反1Σ+g单线态氧。

图3 分子氧的能级图[4]
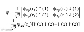
对于自旋单态1Δg 两个电子处于同一轨道,其轨道函数必然是对称的,因此电子自旋函数必然相反,其波函数如下

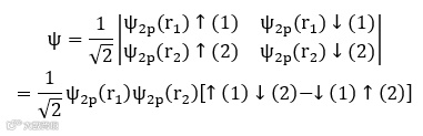
对于自旋单态1Σ+g其轨道函数是对称,而电子自旋函数必然相反

氧分子的基态为自旋三重态(电子自旋是对称的,轨道是反对称的),记做3Σ−g,每个电子的自旋为1/2,因此总的自旋量子数为1,对应于三种简并态,因此其波函数形式如下

由此可见,自旋单态和自旋三重态的存在是电子费米子特性决定的,由费米-狄拉克分布规律导致。
参考文献
[1] W. Heisenberg Mehrkörperproblem und Resonanz in der Quantenmechanik Zeitschrift für Physik 1926, 39: 411-426
[2] W. Heisenberg Über die Spektra von Atomsystemen mit zwei Elektronen Zeitschrift für Physik 1926, 39: 499-518
[3] W. Heisenberg Zur Theorie des Ferromagnetismus Zeitschrift für Physik 1926, 49: 619-636
[4] C. Schweitzer and R. Schmidt Physical Mechanisms of Generation and Deactivation of Singlet Oxygen Chemical Reviews 2003, 103:1685-1757
[5] B. Minaev and H. Ågren Collision-induced b1Σg+–a1Δg, b1Σg+–X3Σg- and a1Δg–X3Σg - transition probabilities in molecular oxygen Journal of the Chemical Society Faraday Transactions1997,93: 2231-2239
欢迎关注我们,订阅更多最新消息
“邃瞳科学云”推出专业的自然科学直播服务啦!不仅直播团队专业,直播画面出色,而且传播渠道多,宣传效果佳。
“邃瞳科学云"平台正在收集、整理各类学术会议信息,欢迎学会、期刊、会议组织方择优在邃瞳平台上进行线上直播,希望藉此帮助广大科研人员跨越时空的限制,实现自由、畅通地交流互动。欢迎老师同学们提供会议信息(会有礼品赠送),学会、期刊、会议组织方商谈合作,均请联系王女士:18612651915(微信同)。
投稿、荐稿、爆料:Editor@scisight.cn