
第一作者:Chao Ye, Huanyu Jin, Jieqiong Shan
通讯作者:乔世璋,王海辉
通讯单位:阿德莱德大学,清华大学
论文DOI:https://doi.org/10.1038/s41467-021-27551-7

全文速览
硫正极中的金属硫化物电沉积可以减轻多硫化物的穿梭效应,从而可以在二次金属硫电池中实现高库仑效率。然而,对金属硫化物电沉积和动力学机制的深层次理解仍然非常局限。在这里,作者使用室温钠硫电池作为模型系统,报告了一种Mo5N6正极材料,该材料能够实现高效的Na2S电沉积,在1675 mA g-1的特定电流下可以实现512 mAh g-1的初始放电容量,并且10,000次循环后的最终放电容量为186 mAh g-1。作者结合同步辐射光谱表征、电化学动力学实验和密度泛函理论计算,证实了高d带位置会导致Mo5N6的Na2S2解离自由能较低,这促进了Na2S电沉积,从而有利于长期的电池循环性能。

背景介绍
硫是一种有吸引力的电极材料,因为它成本低且理论比容量高,约为1675 mAhg-1。硫电极可以与可充电金属硫(M-S)电池中的一系列金属阳极结合,为实际的储能应用提供了方向。然而,M-S电池中的硫还原反应(SRR)是从元素硫到不溶性金属硫化物的复杂转化。缓慢的SRR动力学导致硫的不完全转化和多硫化物的“穿梭效应”。这限制了库仑效率(CE)和循环寿命,因此阻碍了实际应用。
可溶性多硫化物的金属硫化物电沉积是实际硫电极中的速率决定步骤。研究人员通过研究锂硫(Li-S) 电池中各种SRR状态的活化能,证明了可溶性多硫化锂缓慢转化为不溶性硫化锂。这导致多硫化锂在电解液中的积累(穿梭效应的主要原因),以及容量的快速衰减。尽管具有活性电沉积位点的电子导电材料(例如杂原子掺杂碳)通常用作基底以促进电荷转移,但仍缺乏对SRR中金属硫化物电沉积机制的原子级别的理解。例如,虽然已知Li2S电沉积在Li-S电池中是必不可少的,但从Li2S2到Li2S的转化尚不清楚,因为在复杂的过程中很难区分各种固体产物。此外,阴极材料的电沉积动力学和几何/电子结构之间的相关性仍然未知。因此,如何在M-S电池中实现高效的金属硫化物电沉积具有重要的研究意义。
尽管SRR中间体过于敏感,无法在空气中检测到,但具有时间分辨率的原位同步加速器表征可以识别特定的多硫化物和金属硫化物并跟踪动态转化。因此,可以深入了解多硫化物转化动力学。然而,对金属硫化物电沉积行为的原子级别的理解仍非常重要,并且难以通过实验实现。考虑到硫正极材料的几何/电子结构密度泛函理论(DFT)计算对于研究金属硫化物电沉积动力学至关重要。因此,先进的原位同步加速器表征和计算量子化学的结合可以揭示金属硫化物电沉积动力学的关键因素。此外,具有高效金属硫化物电沉积动力学的硫正极材料可以通过调整几何和电子结构来实现。

图文解析

图1. Mo5N6、MoN和Mo2N的原子和电子结构表征。a-c Mo5N6、MoN和Mo2N的HAADF-STEM图像。插图是Mo结构的示意图,其中红色、蓝色和绿色球体分别代表Mo5N6、MoN和Mo2N中的Mo 原子。d, e Mo5N6、MoN和Mo2N的Mo 3d XPS 光谱和Mo L3, L2边缘NEXAFS 光谱。f Mo5N6(004) 的计算模型。灰色和浅蓝色球体分别代表Mo 和N 原子。
图2. 室温Na-S电池中氮化钼的电化学性质。a 硫电极在1 C 下的循环性能和CE。b 本工作与最近报道的室温Na-S电池,在循环次数和容量保持率方面的比较,其中较深的颜色表示更大的比电流。c S/Mo5N6、S/MoN和S/Mo2N的容量。d 硫电极的峰值电流(ip)和扫描速率平方根(v1/2)之间的线性关系。e 钠离子在Mo5N6(004) 晶面、MoN (002) 晶面和Mo2N (100) 晶面上扩散的能量分布。
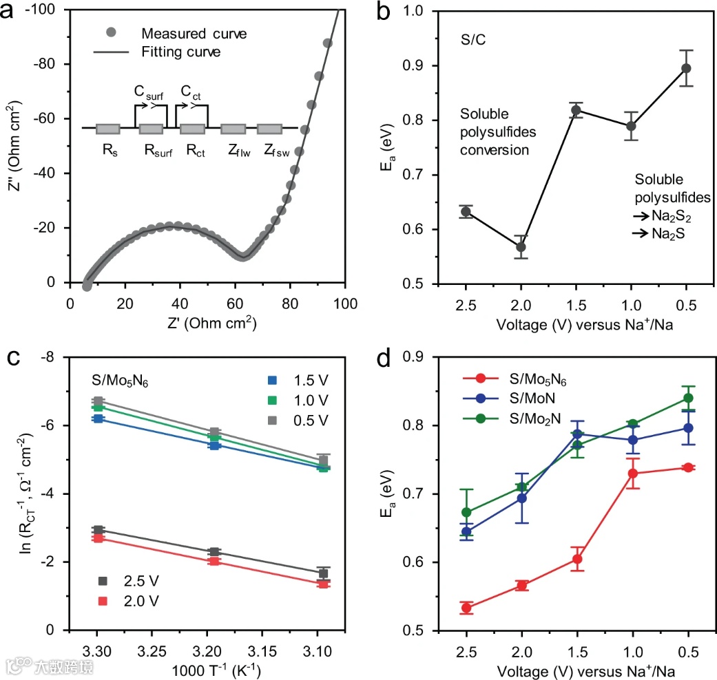
图3. 室温Na-S电池中硫还原反应的总动力学。a S/C电极的测量和拟合EIS曲线。测得的EIS曲线可以用插图中所示的等效电路拟合,其中Rsurf描述吸附的多硫化钠在电极表面的沉积,Rct归因于电荷转移过程,尾线代表Warburg纯硫正极中的电阻(Zflw和Zfsw)。b 不同电压下S/C 电极的活化能。Ea研究证实,将Na2S4和/或Na2S3转化为最终不溶性Na2S2/Na2S是SRR 的速率决定步骤。c S/Mo5N6的Rct的Arrhenius 图。Rct的值是通过使用等效电路拟合获得的,如a 的插图所示。误差条表示拟合Rct值的相对误差。d硫电极在不同电压下的活化能。
图4. Na2S电沉积的动力学研究。a S/Mo5N6电极的恒电流放电曲线和相应的原位同步加速器XRD图谱。b-d电沉积速率实验的恒电位放电曲线。插图是电沉积的前400 秒。e-g三种正极材料对应的电沉积测试后的SEM 图像。
图5. Na2S电沉积的计算研究。a 从Na2S2转化为NaS*的吉布斯自由能图,包括Na2S2的吸附、Na2S2解离形成吸附的NaS2(NaS2*),以及从NaS2*形成吸附的NaS (NaS*)。ΔGdiss-1是Na2S2的解离自由能。ΔGdiss-2表示NaS*的形成自由能,ΔGB表示NaS*形成自由能垒。b 计算的ΔGdiss-1或ΔGB值与在表面上所测量的电沉积容量之间的关系。c Mo5N6表面上,NaS* 形成步骤的原子结构。灰色、浅蓝色、橙色和蓝色球体分别代表 Mo、N、S和Na 原子。
图6. 相应的反应过渡态的钼电子结构分析。a-c在放电/充电循环期间改变电压情况下,S/Mo5N6、S/MoN和S/Mo2N的Mo L3 边缘非原位NEXAFS 光谱。b-d 三种正极材料在NaS*形成步骤中,过渡态结构的电荷差异分析,其中黄色和青色等值面分别代表电子积累和电子耗尽,等值面值为0.0015 e Å-3。灰色、浅蓝色、橙色和蓝色球体分别代表Mo、N、S和Na 原子。e显示吸附位点和吸附物轨道杂化的能级图。EF是衬底的费米能级;σ 和σ*分别表示键合和反键合状态。f 图6b-d 中,红色圆圈内S 的DOS(实线)。DOS被投影到S 3p状态。虚线表示氮化钼表面Mo d 带DOS。

总结与展望
基于上述结果,作者以钠硫化学为例,将Mo5N6电催化剂上的Na2S电沉积反应性与其反应能量学和本征电子结构相关联。作者首先确定了Na2S2解离对各种氮化钼表面整体SRR反应性的显著影响,然后通过原子反应模型与过渡态理论的关系,阐明了金属硫化物电沉积的机理。实验数据和理论计算共同表明,具有有利d 带位置的Mo5N6在Na-S 电池中提供了高的Na2S电沉积反应性和性能。对金属硫化物电沉积机理理解的这一进展,实现了室温Na-S电池的出色性能,未来将进一步支持高效M-S电池的合理设计。在合理设计电极材料以加速在可持续能源存储和转换中的应用方面,该研究结果将对更多的研究人员产生更深远的启发。
声明
本文仅供科研分享,不做盈利使用,如有侵权,请联系后台小编删除
“邃瞳科学云”直播服务
“邃瞳科学云"平台正在收集、整理各类学术会议信息,欢迎学会、期刊、会议组织方择优在邃瞳平台上进行线上直播,希望藉此帮助广大科研人员跨越时空的限制,实现自由、畅通地交流互动。欢迎老师同学们提供会议信息(会有礼品赠送),学会、期刊、会议组织方商谈合作,均请联系翟女士:18612651915(微信同)。
投稿、荐稿、爆料:Editor@scisight.cn
扫描二维码下载
邃瞳科学云APP

