
第一作者:陈雨涵
通讯作者:陈良勇 研究员
通讯单位:东南大学,能源与环境学院
论文DOI:https://doi.org/10.1016/j.seppur.2024.127170
论文标题:Sensitivity Study of Integrated Carbon Capture and Methanation Process Using Dual Function Materials
“CO2捕集/原位甲烷化”(ICCM)是一种新兴的“Power-to-Gas”碳中和与氢储能技术。目前,该技术处于材料开发和概念验证阶段,缺乏工业化应用研究及工艺性能分析。本文在工艺模拟的基础上,研究了操作压力、双功能材料(DFM)种类、烟气来源和DFM催化金属组分种类与负载量对ICCM工艺性能的影响。研究表明,ICCM的碳捕集反应器(CR)和甲烷化反应器(MR)在较低压力下运行时,工艺系统具有较高的能量转换效率。在Na-基(Na-DFM)、Mg-基(Mg-DFM)和Li4SiO4-基(Li-DFM)三种DFM中,采用Na-DFM时,ICCM工艺整体性能最优,能量转换效率、综合能源消耗和CO2净排放分别为82.74%、–14.61 MJ/kg CO2和–1.18 kg CO2/kg CO2。烟气种类对ICCM工艺性能指标及产物SNG组成等影响较小。DFM中催化金属组分在循环反应中参与氧化-还原反应,显著影响ICCM工艺的氢和电力消耗量。
利用ICCM技术捕集电厂(PP)、钢铁厂(SP)或水泥厂(CP)排放的CO2并用绿氢原位转化为合成天然气(SNG),是同时解决大规模碳减排、新能源消纳和能源安全问题的有效途径之一。目前,ICCM技术处于工业化发展初期阶段,缺乏与工业化应用密切相关的工艺性能分析。本文深入研究反应器操作压力、DFM种类、不同烟气来源、DFM催化金属组分种类与负载量对ICCM工艺性能的影响,为工艺方案的实施、关键参数的选择和未来工业化提供理论依据。
1. 采用低压运行时,ICCM工艺的能量转换效率较高。
2. 采用Na-基双功能材料时,ICCM工艺整体性能最优。
3. 结合理论计算和试验数据,首次确定了ICCM工艺中DFM物料的循环流率。
4. 烟气种类对ICCM工艺性能指标影响较小。
5. DFM中催化金属组分参与氧化-还原反应,显著影响ICCM工艺的氢和电力消耗量。
用于敏感性分析的ICCM工艺如图1所示,该工艺通过循环部分冷却产品气(除水)来控制甲烷化反应器(MR)温度。

图1 “CO2捕集/原位甲烷化”工艺
本文在常压~5.0Mpa范围内,研究了以Na-基(Na-DFM,1.0% Ru, 6.1% Na2O, 92.9% γ-Al2O3)、Mg-基(Mg-DFM,4.20% Ni, 29.13% CeO2, 8.41% KNO3, 2.44% NaNO3, 3.31% LiNO3, 52.51% MgO)和Li4SiO4-基(Li-DFM,5% Ni, 4.75% CeO2, 90.25% Li4SiO4)三种材料作为DFM的ICCM工艺性能。三种DFM材料通过试验验证了碳捕集/原位甲烷化反应性能。提高操作压力可降低Na-DFM和Li-DFM基ICCM工艺的氢气消耗量(图2),提高ICCM工艺产品气SNG的CH4含量(图4);但低压力运行有利于提高能量转换效率(图3)。当满足CO2 捕集效率≥ 90%,SNG HHV ≥ 31.4 MJ/Nm3,以及SNG 中H2 浓度 ≤ 20 vol.% 时,Na-DFM、Mg-DFM及Li-DFM对应的最佳操作压力为分别为0.1 Mpa、0.2 Mpa和0.7 Mpa。

图2 压力对ICCM工艺电能和H2消耗量的影响(a)Na-DFM;(b)Mg-DFM;(c)Li-DFM

图3 压力对ICCM工艺能量转换效率及SNG产率的影响(a)Na-DFM;(b)Mg-DFM;(c)Li-DFM

图4 压力对ICCM工艺SNG组成及热值的影响(a)Na-DFM;(b)Mg-DFM;(c)Li-DFM
DFM种类对工艺性能和关键参数选择具有重要影响(图5)。与Mg-DFM和Li-DFM相比,采用Na-DFM作为循环物料的ICCM工艺总体性能最优,能量转换效率、综合能源消耗和CO2净排放分别达到82.74%、–14.61 MJ/kg CO2和–1.18 kg CO2/kg CO2;此时,ICCM工艺SNG产率最大,可回收的余热和水(副产物)最多。

图5 DFM种类对ICCM工艺 物质和能量的输入 (a)、物质和能量的输出(b)、SNG组成和热值(c)、性能指标(d)的影响
结合工艺模拟和试验数据,估算了DFM循环流率这一重要参数(图6)。为使碳捕集率达≥90%,估算的DFM循环流率为94.22 kg/kg CO2 (Na-DFM)、8.31 kg/kg CO2(Mg-DFM)和4.21 kg/kg CO2 (Li-DFM)。计算表明,DFM吸附组分的种类、含量和转化率对这一参数具有显著影响。

图6 DFM种类对ICCM工艺的DFM循环流率的影响
烟气来源对ICCM工艺的能量转换效率、综合能源消耗、CO2净排放及SNG组成影响较小,均能在较高的能量转化效率下(>82%)获得合格SNG产品(图7)。当采用钢铁厂烟气源时,ICCM工艺的氢和电能消耗均较低,主要是因为该烟气氧含量低,而金属催化组分参与氧化-还原反应程度低所致。

图7 烟气源对ICCM工艺(Na-DFM作循环物料)的物质和能量的输入(a)、物质和能量的输出(b)、SNG组成和热值(c)、性能指标(d)的影响
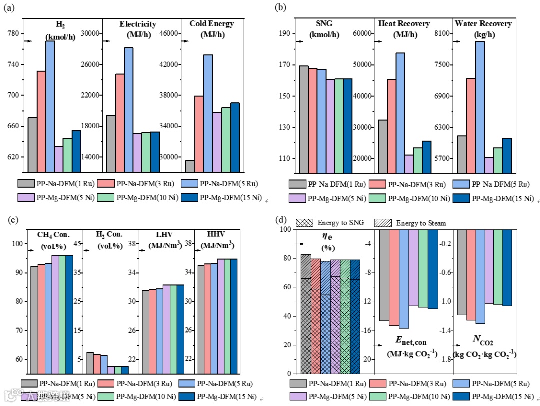
ICCM工艺运行中,催化金属组分发生氧化-还原反应消耗大量氢并释放大量热,从而显著影响ICCM工艺的性能指标,特别是氢和电力消耗量。特别地,对采用Na-DFM的ICCM工艺,运行时用于还原RuO2催化组分而消耗的氢占总氢消耗量比例>17.0%。

图8 催化金属负载量对ICCM工艺的物质和能量的输入(a)、物质和能量的输出(b)、SNG组成/热值(c)、工艺性能(d)的影响
提高操作压力有利于提高ICCM工艺的SNG产品质量,降低氢气消耗;但在低压下运行,ICCM工艺的能量转换效率较高。在Na-DFM、Mg-DFM和Li-DFM中,采用Na-DFM作为循环物料的ICCM工艺整体性能最优。DFM循环流率由吸附组分种类、转化率和负载量、以及碳捕集反应的化学计量比决定。烟气来源对ICCM工艺的性能指标影响较小。催化金属组分含量和种类显著影响ICCM工艺的性能指标。
陈良勇,东南大学能源与环境学院研究员、博士生导师。分别于山东大学、东南大学攻读学士、博士学位,先后于山东电力集团公司、南京工业大学、美国肯塔基大学应用能源研究中心(博士后、研究员)和东南大学能源与环境学院(研究员,2017~)任职;共发表论文或专著60余篇(章),中、美专利各1项,申请发明专利7项。从事研究包括:CO2碳捕集/转化利用、(化学链)燃烧/气化和气体净化技术、大规模储能技术、新型制氢技术、固体废弃物能源化利用以及能源系统与装备开发等。作为项目负责人或项目合作负责人(CO-I)获得国家自然科学基金委、科技部、江苏省、美国能源部、肯塔基州政府和企业联盟的研发项目资助。
欢迎关注我们,订阅更多最新消息
“邃瞳科学云”推出专业的自然科学直播服务啦!不仅直播团队专业,直播画面出色,而且传播渠道多,宣传效果佳。
“邃瞳科学云"平台正在收集、整理各类学术会议信息,欢迎学会、期刊、会议组织方择优在邃瞳平台上进行线上直播,希望藉此帮助广大科研人员跨越时空的限制,实现自由、畅通地交流互动。欢迎老师同学们提供会议信息(会有礼品赠送),学会、期刊、会议组织方商谈合作,均请联系王女士:18612651915(微信同)。
投稿、荐稿、爆料:Editor@scisight.cn