
第一作者:叶燕婷
通讯作者:王楠*、孙书会*、孟辉*
通讯单位:暨南大学,加拿大国立科学研究院
论文DOI:10.1002/adma.202312618
本文通过两步法来调节正交和立方相混合的二硒化钴催化剂(Orthorhombic/Cubic-CoSe2,o-c-CoSe2-Ni)的配位环境,并揭示了其原位重构和自旋状态。通过原子取代和对称性变化来调节dz2+dx2-y2轨道填充。原位阻抗和原位拉曼光谱研究证实了预催化剂的重构,预催化剂重构后在表面形成Se/Ni-CoOOH/Co3O4作为活性位点并进一步优化其轨道填充。与o-c-CoSe2-Ni相比,Se/Ni-CoOOH/Co3O4的dz2+dx2-y2轨道填充更高。实验结果和相应的dz2+dx2-y2填充图表明,适度的dz2+dx2-y2轨道填充导致了最佳的EOR活性,相应的活性位点Co3+的中自旋态在EOR过程中有利于捕获反应物和产物的生成。所制备的催化剂表现出更低的电位和显著提高了EOR的长期稳定性,在混合水电解中,电压在50 mA/cm2时较传统电解水负移190 mV,而在锌乙醇空气电池中,充电电压降低,循环稳定性大大提高。
随着人类社会的快速发展,能源短缺和环境污染已经成为不可忽视的问题,氢能以其高效、清洁和环保等特点占据巨大优势,成为最有希望的解决方案之一。电催化水分解被认为是一种很有前途的制氢方法,然而,涉及复杂四电子转移缓慢的阳极析氧反应(OER)导致了整体水电解的过电位大、能量效率低且易造成H2/O2分离提纯困难。电化学乙醇氧化反应(EOR)的热力学平衡势比OER低,其产物在碱性介质中为高附加值的乙酸盐。因此,EOR被认为是替代OER的一种很有前途的策略,可以减少制氢的能量障碍。此外,使用EOR代替OER构建新型的锌乙醇空气电池,不仅可以大大减少电压差,还可以避免气体(O2/CO2)的释放。与传统的锌空气电池相比,锌乙醇空气电池的充电性能和稳定性都有很大的提高,是一种很有前景的电池策略。然而,EOR也是涉及多电子及多路径反应的复杂过程,因此,设计开发高效、高选择性的非贵金属EOR催化剂十分重要。
1. 本工作采用两步法调节材料的协调环境,通过Ni掺杂引入四面体位,使o-c-CoSe2-Ni中四配位和六配位共存,并揭示材料的重构行为和自旋构型变化。将配位原子取代和晶体对称性变化结合起来调节反应中间体的吸附能力,达到平衡的最佳吸附。
2. o-c-CoSe2-Ni完全重构形成Se/Ni-CoOOH/Co3O4界面,而m-CoSeO3-Ni则形成CoOOH/m-CoSeO3-Ni界面,其中o-c-CoSe2-Ni的CoOOH积累较少,表明其消耗速率和EOR动力学比m-CoSeO3-Ni更快。o-c-CoSe2-Ni表现出优异的乙醇性能,在50 mA cm-2的混合电解条件下,电压较传统有190 mV的负移,在锌乙醇空气电池中,充电电压降低,循环稳定性提高。
3. 根据分子轨道理论,不同自旋状态下Co3+与反应中间体的轨道杂化吸附能力不同,解释了自旋决定催化性能的原因。将自旋电子理论和分子轨道理论结合起来,有助于对电催化的设计建立更清晰的理解。
本文在前期工作中通过原子取代引起晶体场变化从而降低dz2 + dx2-y2轨道填充的基础上进行进一步探索,通过Ni掺杂导致材料对称性发生变化从而引起晶体场变化,将两种调节方法结合起来,以平衡最佳吸附的方式调节反应中间体的吸附能力(图1a)。XAS证明,获得的o-c-CoSe2-Ni中Ni物种的配位环境与Co物种相同,且引入Ni导致材料对称性发生改变,体系中出现四配位和六配位位点共存(图1 b~g)。

图1 材料配位环境对轨道填充及相应吸脱附强度变化的理论认识和XAS表征
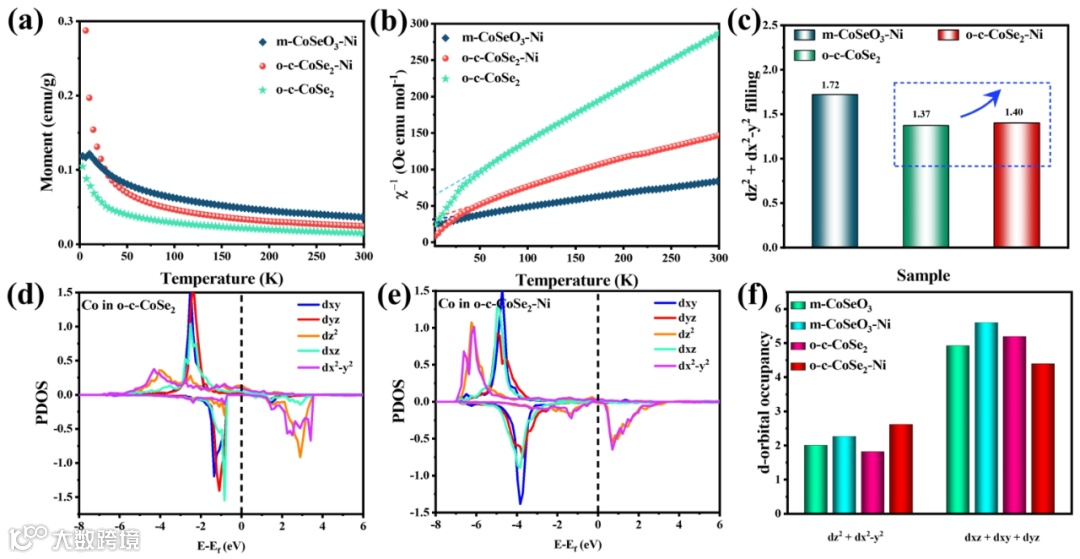
从材料的磁性表征(图2)可知,当温度降低时,材料表现出一定的磁性。相比于m-CoSeO3-Ni和 o-c-CoSe2,o-c-CoSe2-Ni的dz2+dx2-y2轨道填充得到明显优化(图2 a~c)。通过DFT计算Co原子的PDOS,o-c-CoSe2-Ni中Co 的dz2+dx2-y2轨道的能量较o-c-CoSe2降低了,导致电子从dxz+dxy+dyz轨道转移到dz2+dx2-y2轨道。其中,o-c-CoSe2-Ni的dz2+dx2-y2轨道填充为2.61,明显高于典型的六配位高自旋Co,这可能源于o-c-CoSe2-Ni中四配位的Co位点(图2 d~f),与XAS结果一致,通过调节配位环境可以有效地调控材料的自旋状态。

图2 材料磁性表征和态密度计算
从XRD、TEM和XPS(图3)表征中证明了Ni掺杂的正交相和立方相混合的二硒化钴(o-c-CoSe2-Ni)的合成。从XRD和TEM中可知,Ni物种是以掺杂的形式嵌入CoSe2晶格中,并且随着不同含量镍掺杂,XRD代表正交相和立方相的两个峰的峰强度发生了一点变化,在两相变化间可能导致四配位位点的出现。XPS表征证明Ni的成功引入并促进电子间的转移。

图3 材料的XRD、TEM和XPS表征
乙醇氧化反应测试(图4)结果表明,具有适中的dz2+dx2-y2轨道填充的o-c-CoSe2-Ni具有优异的EOR催化活性,仅需1.31 V即可获得10 mA cm-2电流密度,乙醇定向转化至乙酸盐的平均法拉第效率高达94.7%。在锌乙醇空气电池长期恒流充放电测试中,电压差距小于800 mV,比传统的锌-空气电池小360 mV。

图4 材料的乙醇氧化性能、法拉第效率、水电解及锌乙醇空气电池性能
电压控制的原位傅里叶变换红外光谱和法拉第效率分析体现了o-c-CoSe2-Ni的C2四电子反应路径的高选择性。原位拉曼光谱分析表明羟基氧化物(CoOOH)是其关键活性物种,而o-c-CoSe2-Ni比m-CoSeO3-Ni消耗更快,具有更优先的EOR反应。同时,测试后的材料磁性表征进一步表明电化学重构后其配位环境发生改变,从而进一步优化轨道填充,调节吸附。

图5 o-c-CoSe2-Ni的原位FTIR、Raman和测试后的磁性表征
阳离子的自旋构型决定了它们与中间体的吸附,从不同自旋状态的Co3+的d轨道与反应中间体的轨道耦合(图6)可知,中自旋态的Co3+更有利于在EOR过程中捕获反应物和促进产物的生成。

图6 钴离子的d电子构型和不同自旋态下Co与反应中间体的轨道杂化
基于原位表征证实反应过程中的活性物种,结合DFT计算,揭示了高价态的Co位点是EOR的关键活性位点,其优异性能源于重构后合适的轨道填充导致的最优的吸脱附能和反应能垒。这证实了通过结合原子取代和对称性变化及电化学重构策略调控轨道填充从而调整自旋态对优化中间体的吸脱附能是有效的,有望进一步深入研究和推广。

图7 DFT计算结构、态密度和乙醇转化过程反应自由能
本文成功合成了混合相的o-c-CoSe2-Ni催化剂,并揭示了它的重构化学性质和自旋态的调制。原子取代和对称变化引起的配位环境变化调节了Co在催化剂中dz2 + dx2-y2轨道的填充,从而调节了中间体的吸附能力。在o-c-CoSe2-Ni和m-CoSeO3-Ni的重构中,o-c-CoSe2-Ni转化形成Se/Ni-CoOOH/Co3O4。由于晶体场由Se配体场转变为O配体场,Se/Ni-CoOOH/Co3O4的Co自旋态转变为更高自旋态。Co自旋态的升高促进了Co的3d轨道和反应中间体轨道的杂化。过渡金属阳离子的不同自旋态影响中间体和活性位点之间的相互作用,从而导致吸附和解吸能力的变化。制备的o-c-CoSe2-Ni具有出色的EOR活性,具有可充电的锌乙醇空气电池性能。这项工作不仅证明了镍掺杂引入四配位Co位点,而且为新型锌乙醇空气电池的开发提供了一种有前途的催化剂设计策略。
Orbital Occupancy Modulation to Optimize Intermediate Absorption for Efficient Electrocatalysts in Water Electrolysis and Zinc-Ethanol-Air Battery
https://doi.org/10.1002/adma.202312618
王楠:分别于2014,2019年获得华南理工大学学士学位和博士学位,2019年作为引进人才加入暨南大学,硕士生导师。以第一作者或通讯作者在Adv. Mater., Energy Environ. Sci, ACS Catalysis, Appl. Catal., B, Small, Chem. Eng. J. 等杂志上发表论文40余篇。主要研究方向包括:(1)H2-O2燃料电池、金属-空气电池电催化;(2)混合电解水催化剂的制备;(3)第一性原理计算等。
孟辉教授:暨南大学理工学院教授,中山大学材料物理与化学专业博士。先后在加拿大国立科学研究院、美国布鲁克海文国家实验室从事研究工作。先后任教于华南理工大学和中山大学。获得2013年国家自然科学奖二等奖、2011年广东省自然科学奖一等奖、2013年广州市珠江科技新星、2014年暨南杰青、2016年中国分析测试协会科学技术奖一等奖。在Energy & Environmental Science, Advanced Energy Materials, ACS Energy Letters等国际著名期刊上发表论文150余篇。主要研究方向包括:新能源与环保材料和器件。
孙书会教授:加拿大工程院院士、加拿大国立科学研究院教授(终身)、加拿大皇家科学院青年院士;现任国际电化学能源科学院(IAOEES)副总裁、Springer-Nature 旗下期刊Electrochemical Energy Reviews执行主编,SusMat 副主编,及10余种国际学术期刊的编委。在Nat. Sustain., Nat. Commun., Energy Environ. Sci., J. Am. Chem. Soc.等国际著名期刊上发表论文250余篇,研究成果多次被Adv. Energy Mater.,Angew. Chem. Int. Ed., Nat. Nanotech.等期刊选为封面论文或亮点报道。主编专著3部,章节15章,同时获得多个美国专利。与加拿大巴拉德动力公司、美国通用汽车、丰田汽车等世界知名企业保持长期稳定的合作。近5年来先后荣获国际氢能学会Research Award(2021)、加拿大化学会催化Lectureship Award(2020)、美国电化学会-丰田汽车青年科学家(2017)、国际纯粹与应用化学联合会青年科学家(2017)等奖励。
欢迎关注我们,订阅更多最新消息
“邃瞳科学云”推出专业的自然科学直播服务啦!不仅直播团队专业,直播画面出色,而且传播渠道多,宣传效果佳。
“邃瞳科学云"平台正在收集、整理各类学术会议信息,欢迎学会、期刊、会议组织方择优在邃瞳平台上进行线上直播,希望藉此帮助广大科研人员跨越时空的限制,实现自由、畅通地交流互动。欢迎老师同学们提供会议信息(会有礼品赠送),学会、期刊、会议组织方商谈合作,均请联系王女士:18612651915(微信同)。
投稿、荐稿、爆料:Editor@scisight.cn