
第一作者:曹亚兰,王泽儒
通讯作者:李小安教授,段涛教授,朱琳研究员
通讯单位:绵阳市中心医院,西南科技大学
论文DOI:10.1016/j.chemosphere.2023.141066
寻找低毒高效的铀促排剂对于核应急内污染的防治和降低损伤具有重要意义。目前已被批准的促排药物(DTPA、碳酸氢钠)存在对铀的促排效率低、选择性差、有效剂量高等问题。鉴于此,绵阳市中心医院李小安教授课题组和西南科技大学段涛教授课题组近期在Chemosphere上发表了题为“Perilla frutescens: A new strategy for uranium decorporation”的论文(DOI:10.1016/j.chemosphere.2023.141066)。该研究提出了利用天然可食用中药—紫苏叶(PF),通过简单的粉碎预处理得到了微米级的颗粒。基于紫苏叶优良的生物活性和天然的低毒性,其在细胞和体内的促排效率明显高于市售促排药物CaNa3-DTPA,且生物毒性远低于CaNa3-DTPA。本研究为天然产物铀促排剂的研究提供了新的思路。
在突发的核事故中,铀会通过各种途径释放到环境中,并通过呼吸道、皮肤沾污、口服等方式进入生物系统,最终沉积在肾脏和骨骼中,危及人类健康。对于铀内污染,目前最有效的处理方式是使用促排剂(络合剂)使铀酰离子与其结合形成可溶物,从而促进其排出体外。然而,近几十年来铀促排剂研究进展极为缓慢,目前已被批准的锕系或铀促排药物普遍存在毒性较高、选择性和促排效率较低的问题,尚未找到十分有效的促排剂来保障公众安全。中药作为独特药理活性的可食用天然产物,具有天然毒性低、化学多样性强等特点,具有免疫调节、抗癌、预防辐照损伤等药用特性,然而对于天然产物促排剂的研究却鲜有报道。因此,从天然中草药中去遴选和发现具有促排能力的中药对于保障公共安全、丰富促排剂的种类以及后续的中药研究具有重要意义。
3. PF具有比CaNa3-DTPA更好的生物相容性,可以显著促进U(VI)从细胞中的释放,并能有效去除小鼠肾脏(>65%)和骨骼(>55%)中沉积的铀。
作者通过简单的干燥后粉碎过筛,得到了微米级的紫苏叶(PF)粉末,通过场发射扫描电子显微镜(SEM)、X射线衍射(XRD)和N2吸附-脱附测试进行了PF基本结构的表征。PF复杂的化学成分使其表现出丰富的官能团,主要为含碳和含氧官能团;PF粉末的比表面积为32.141 m2·g-1,平均孔径为3.883 nm,具备的孔性质有利于其对溶液中铀的捕获。

图1 PF的形貌和基础结构表征
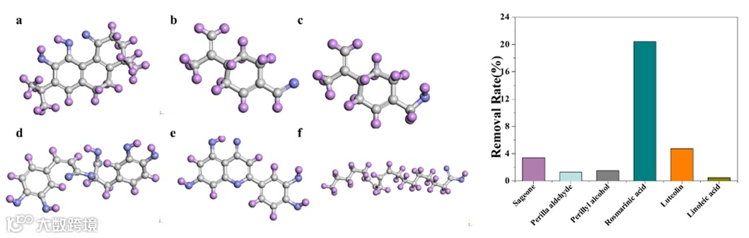
进一步分析了PF的具体成分,并测试了其对溶液中铀酰离子的去除能力。选择了紫苏叶中含量高、具有抗炎和抗氧化活性的小分子(二萜、紫苏醛、紫苏醇、迷迭香酸、木犀草素和亚油酸)进行了结构优化,其中普遍富含如-OH或-COOH的含氧官能团,有利于与铀酰的结合。得益于迷迭香酸的独特结构和丰富官能团,其呈现出比其他几种成分更高的铀去除能力(图2)。
图2 PF的几种代表性成分结构优化及其对铀酰离子的去除能力
通过模拟人体环境下的吸附实验评估了PF对铀的吸附能力,PF在pH=5时具有最高的去除率(73%),12小时达到吸附平衡,饱和吸附容量为303.4 mg g-1(图3)。在4-羟乙基哌嗪乙磺酸(HEPES)缓冲液体系下,测试了PF对铀酰和其他人体微量金属元素的选择性。当溶液中竞争性阳离子的浓度是铀酰离子的25倍时,PF仍旧可以有效去除溶液中超过60%的铀酰离子;在模拟人类环境的选择性实验中,PF能够去除86.13%的铀酰、49.44%的Zn2+、26.31%的Ni2+和不到20%的Ca2+、Co2+、Fe3+和Mg2+,展现了其较好的选择性。

图3 PF对铀酰的吸附性能和选择性
在PF较好选择性和吸附性能的基础之上,选择了大鼠近端肾小管上皮细胞(NRK-52E细胞),评估了细胞水平上PF对U(VI)的去除性能和毒性,并与临床中使用的CaNa3-DTPA进行了比较。无论是单独药物培养还是药物与铀酰共同培养,在25到300ppm的给药浓度范围下,PF组的细胞存活率均显著高于CaNa3-DTPA。在最优给药浓度下(3ppm铀酰和25ppm给药材料)测试了PF和CaNa3-DTPA对铀的去除能力,在用含铀和药物的培养基培养细胞后,PF组细胞中44.1%的U(VI)被去除,而CaNa3-DTPA组的去除率仅为10.8%;当先使用含铀培养基培养随后跟换为含药物培养基处理后,PF显著促进了U(VI)从细胞中的释放,PF处理的铀去除率为71.3%,一定程度上说明PF主要是促进细胞中铀的排出。上述结果表明,在细胞水平上,PF比CaNa3-DTPA具有更好的铀酰去除能力和优异的生物相容性。

图4 PF在细胞水平对铀酰的毒性和去除性能
明确了细胞毒性和促排性能后,通过预防给药和即时给药方法,评估了PF在实际机体小鼠体内的综合铀促排效率。预防给药情况下,注射生理盐水、CaNa3-DTPA和PF的小鼠肾脏中的铀含量分别为150.95±22.39、142.86±17.16和46.99±6.96 μg·g-1(图5)。与对照组相比,PF组肾脏和股骨的铀含量分别下降了68.87%和56.66%。立即给药情况下,与对照组相比,PF组肾脏中的铀含量下降了43.26%,CaNa3-DTPA组下降了17.07%。PF组股骨中的铀减少了54.53%,CaNa3-DTPA组减少了28.19%,PF组其它组织中的铀酰含量也低于CaNa3-DTPA组(图5)。无论是预防性给药还是立即给药,PF组的铀酰促排能力都优于CaNa3-DTPA。此外,还测试了实验组小鼠的血液生化指标,与未经治疗的空白组相比,通过尾静脉注射铀的对照组的血清肌酐和尿素水平仅略有上升,但在药物治疗组中显著下降。说明PF能有效减轻铀对器官的损伤。

图5 PF在小鼠体内对铀酰的促排性能
综上所述,作者利用紫苏叶高生物相容性、修复辐照损伤和肾脏保护的能力,通过简单的粉碎处理,得到了紫苏叶(PF)粉末。PF丰富的官能团和孔结构使其在水溶液中具有较好的铀酰吸附能力和选择性。细胞水平的毒理学实验表明PF具有良好的生物相容性,促排实验则表明PF可以有效促进细胞中的铀排出。更显著的是,通过预防性给药和立即给药试验,肾脏中铀的去除率分别为68.87%和43.26%,股骨中铀的清除率分别为56.66%和54.53%。这充分证明了紫苏叶不仅可以预先捕获铀并阻止其沉积,还可以促进其在靶器官中的排泄。这项工作有力证明了紫苏叶作为一种铀促排剂的潜力,紫苏叶中多种活性成分为后续铀促排剂的扩展提供了备选,为相关的中草药促排研究提供一定的参考。
曹亚兰,西南科技大学生命学院20级硕士研究生,主要从事环境放射化学等领域的科研工作,研究方向为放射性核素促排,致力于天然中草药的研究。在Chemosphere., Chin. Chem. Lett.等国内外学术期刊发表了论文2篇,其中以第一作者发表SCI论文1篇,授权发明专利1项。
王泽儒,西南科技大学环境与资源学院22级博士研究生,主要从事环境放射化学等领域的科研工作,研究方向为放射性核素促排,致力于天然产物促排的研究。在Chin. Chem. Lett.,Inorg. Chem.,Chem. Eng. J.,J. Hazard. Mater.,Chemosphere.等国内外学术期刊发表了论文6篇,其中以第一作者发表SCI论文1篇。
李小安,绵阳市中心医院,主任医师,博士生导师。四川省学术技术带头人后备人选,四川省卫生健康委学术技术带头人。中国抗癌学会肿瘤与微生物态专业委员会常委,中国中西医结合学会慢病防治与管理专业委员会常委,中国医师协会科研出版工作委员会常委,四川省医学会转化医学专业委员会常委。主持(参与)国家级或省部级科研课题12项,发表论文50余篇,参与编写专著3本。
段涛,西南科技大学教授、博士生导师。主要从事环境放射化学等领域的教学与科研工作。目前主持国家自然科学基金重点项目、国家重大科技专项、国防科工局乏燃料后处理科研等国家级项目10项、教育部新工科研究与实践项目1项。近5年,以第一作者或通讯作者在《无机材料学报》、Angew. Chem. Int. Ed.,J. Am. Ceram. Soc.,Appl. Catal. B,Inorg. Chem.等国际知名学术期刊上发表高质量论文80余篇,出版专著6部,获专利授权24项(国际专利3项)、四川省科技进步三等奖1项;主讲《核材料概论》《核科学与技术前沿进展》等本科生、研究生等课程,获国家优秀教育成果奖二等奖1项、四川省优秀高等教育成果奖一等奖2项、四川省高等教育学会优秀教学成果一等奖1项,校级教学成果特等奖1项。
朱琳,西南科技大学,研究员,博士生导师。四川省学术和技术带头人后备人选,四川省“千人计划”入选者,四川省特聘专家。近年来,一直从事环境放射化学等领域的科研工作,主要研究方向为放射性核素污染控制化学。主持或参与科工局项目、国家自然科学基金、四川省创新人才等项目8余项。在国内外期刊上发表SCI学术论文30余篇,授权发明专利6项,以第一作者和通讯作者在J. Am. Chem. Soc.、Angew. Chem. Int. Ed.、Adv. Sci.和Environ. Sci. Technol.等学术期刊上发表论文16篇,其中五篇入选ESI高被引论文。
课题组主页http://www.nem.swust.edu.cn/main.htm
Yalan Cao, Zeru Wang, Wanrong Song, Yawen Liu, Qian Zhao, Wenhao Li, Caohui Zheng, Wenshuang Li, Zhengguo Chen, Lin Zhu*, Tao Duan*, Xiaoan Li*. Perilla frutescens: A new strategy for uranium decorporation. Chemosphere. 2023.
https://doi.org/10.1016/j.chemosphere.2023.141066.
声明
“邃瞳科学云”直播服务
扫描二维码下载
邃瞳科学云APP

