
第一作者:张涵
通讯作者:康鹏
通讯单位:天津大学
论文DOI:https://doi.org/10.1021/acssuschemeng.3c07331
电催化还原二氧化碳是解决环境问题的有效途径。在本文中,我们报告了一种使用烷醇胺功能化的廉价、易得的氧化锌催化剂(TEA-ZnO),表现出更高效的CO2RR活性、更高的CO法拉第效率和部分电流密度。三乙醇胺修饰的氧化锌(TEA-ZnO)在-0.84 V vs. RHE时的CO法拉第效率高达88.8%。三乙醇胺中的胺基团可以增加对二氧化碳的吸附能力,暴露出更多二氧化碳特异性活性位点,并缓解高温下二氧化碳溶解度的下降,从而使TEA-ZnO能够在0-60 °C的工作温度范围内保持较高的二氧化碳选择性。
较高的工作温度会导致更高的电流和较低的过电位等优势。然而,在实际的电解槽堆中,由于自加热的原因,在高温下工作非常普遍,由于存在许多挑战,有关温度对CO2RR影响的报告仍不常见。例如,随着温度的升高,二氧化碳的溶解度会显著降低,同时竞争性析氢反应(HER)会变得更加主要。利用小分子进行表面功能化已在碳捕集与封存(CCS)技术中得到广泛应用。催化剂表面的配体可通过增强其CO2结合能力和增加新的吸附位点来改善CO2吸附性能。用具有不同电子和位阻特性的有机配体修饰催化剂表面,还可以通过增强和丰富界面电子效应来提高催化活性。在中温条件下(70-90 °C),加入与氨基相关的化学吸附作用可提高吸附剂的性能。
在CO2RR的众多产物中,一氧化碳(CO)因其在制备高附加值产品方面的重要工业价值而被广泛研究。氧化锌作为一种低成本、无毒且应用广泛的材料,可以稳定中间产物并调节电子转移,因此也被用作生产CO的电催化剂,但由于氧化锌的催化活性和选择性较低,阻碍了其进一步应用。研究人员通过增加氧空位、引入氮掺杂和合金掺杂等来优化ZnO的催化活性,但这些方法通常需要多步合成过程,过程复杂,因此阻碍了大规模生产。因此,迫切需要一种合成条件更温和、步骤更少的方法,以更好地满足生产需求。
(1) 采用简单的化学沉淀法在室温下合成的烷醇胺表面修饰的氧化锌催化剂有助于提高CO2电还原生成CO的催化活性。氧化锌表面的烷醇胺改性在富集CO2方面发挥了重要作用,为形成更多氨基甲酸酯提供了更多特异性活性位点,从而提高了CO2催化活性,并且表面胺分子所含羟基数量越多,对CO2吸附能力越强。
(2) TEA-ZnO在0-60 ℃的操作温度下,FECO都可以保持在80%以上,降低CO2压力后的催化能力也依然得到较好的保持,表面胺分子对CO2的富集能力可以减缓温度升高对CO2反应产生的不利影响。
(3) 机理研究表明,表面接枝醇胺分子可以稳定CO2还原反应中间体CO2•−*,从而促进CO生成的关键中间体COOH*,加速CO2活化,提高催化性能。这项工作证明了金属氧化物表面功能化用于还原二氧化碳的可能性,并为开发更高效的电催化剂提供了思路。
采用简便的化学沉淀法在室温下合成了一系列烷醇胺修饰的氧化锌催化剂,如Scheme 1所示。如SEM和TEM图像所示,TEA-ZnO呈现出由纳米片组装成清晰均匀的花朵状,在形态上与纯ZnO相似。用不同的烷醇胺进行官能化后,形态略有不同(Figure 1)。这些不同程度的形态可能与表面的封端配体有关。

Scheme 1: 烷醇胺修饰氧化锌的制备方法。

Figure 1: (a) TEA-ZnO、(b) DEA-ZnO和(c) MEA-ZnO的SEM图像。TEA-ZnO的(d) TEM和(e) HRTEM图像,ZnO的(f) TEM 和 (g)HRTEM图像,以及(h-l) TEA-ZnO中Zn、O、N和C元素的EDS图谱。
XRD衍射峰属于六方纤维状锌矿结构的氧化锌,样品结晶良好,没有其他杂质峰(Figure 2a)。表面官能化的氧化锌与原始氧化锌相比,Zn、O、N元素的XPS峰都出现了不同程度的偏移(Figure 2b-e),傅里叶红外光谱上也出现了对应不同基团的吸收峰(Figure 2f)。这些结果都表明氧化锌表面成功接枝了烷醇胺。

Figure 2: ZnO、MEA-ZnO、DEA-ZnO和TEA-ZnO的(a) XRD图谱,(b) XPS全谱。ZnO和TEA-ZnO的(c) Zn 2p光谱和(d) O 1s光谱。MEA-ZnO、DEA-ZnO和TEA-ZnO的(e) N 1s光谱。ZnO、MEA-ZnO、DEA-ZnO 和 TEA-ZnO 的(f) FTIR光谱。
进行控制电位电解测试,结果发现主要产物是CO,还有少量甲酸盐和H2。TEA-ZnO的CO2RR性能最高,在-0.84 V vs. RHE时,FECO最高,达到88.8%,在-0.79 ~ -0.94 V vs. RHE的电位范围内,FECO保持在80%以上。由于具有多个表面羟基的烷醇胺表现出较高的选择性,我们又研究了两种与TEA类似的胺,四羟乙基二胺(THEED)改性的氧化锌在-0.89 V vs. RHE时的FECO最大值为86.6%,而N苯基二乙醇胺改性催化剂在-0.94 V vs. RHE时的FECO为83%。因此,含有更多羟基的胺会对氧化锌的催化性能产生积极影响。

Figure 3: (a)在0.5 M KHCO3电解液中,TEA-ZnO和ZnO在Ar和CO2气氛下的LSV曲线。(b)不同电位下不同电催化剂的CO FE。(c)不同电位下CO的部分电流密度。(d)不同电催化剂的EIS。THEED-ZnO、PDEA-ZnO在不同电位下的(e) FECO,(f) CO的部分电流密度。
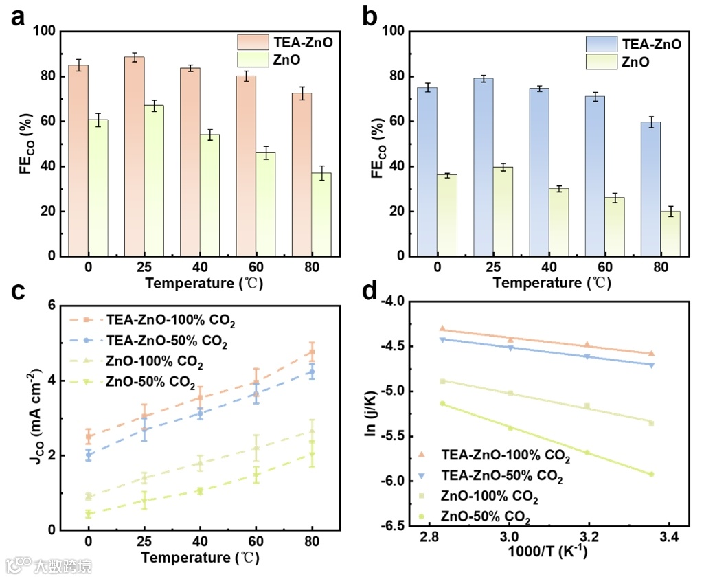
为了研究温度对TEA-ZnO催化性能的影响,在0 °C - 80 °C之间,在100% CO2中进行了控制电位电解。随着温度的升高,CO的电流密度逐渐增大,FECO从0 ℃到60 ℃缓慢下降,在40 ℃和60 ℃时分别达到83.6%和80.2%,在80 ℃时略微下降到73%,这表明在高温条件下,TEA-ZnO的表面基团富集CO2的效率仍然高于温度对CO2溶解度的不利影响,因此TEA-ZnO在0-60 ℃的温度范围内都能保持良好的活性(Figure 4a)。原始ZnO的催化活性在50% CO2条件下急剧下降,而TEA-ZnO的电流密度在50% CO2条件下也比ZnO有所提高,因此低浓度CO2条件下电催化性能的提高可归因于表面胺的富集。利用艾林分析法计算了反应的活化参数(Figure 4d),结果表明接枝TEA对表面富集CO2有显著影响,从而提高了CO2活性。

Figure 4: 在不同温度下,在 -0.84 V vs. RHE电位下TEA-ZnO和ZnO在(a) 100% CO2和(b) 50% CO2大气中的FEco。(c) 不同温度下CO的部分电流密度。(d)根据TEA-ZnO和ZnO的k与温度的关系得出的艾林图。用产物电流密度(JCO)表示反应速率。
通过二氧化碳吸附等温线(Figure 5a)结果说明TEA-ZnO的二氧化碳吸附能力高于ZnO,N2吸附-解吸等温线(Figure 5b)显示,TEA-ZnO的比表面积(31.1 m2 g-1)与ZnO(28.9 m2 g-1)大致相同。因此,TEA-ZnO吸附能力的显著提高可归因于表面接枝胺形成了新的氨基甲酸酯,而不是由于形态发生了变化。TEA改性后,解吸峰的温度从原来的91.1 ℃上升到101.2 ℃,而且TEA-ZnO的解吸峰面积更大,这表明它与CO2的结合更强,具有更多的碱性位点(Figure 5c)。通过原位红外测试对CO2RR中间体进行了探索(Figure 5d),并提出了可能的反应机理(Figure 5e)。

Figure 5: ZnO和TEA-ZnO的 (a) 二氧化碳吸附等温线,(b) 在77 K下的N2吸附-解吸等温线,(c) CO2程序升温解吸图。(d) 在CO2饱和的0.5 M KHCO3电解液中,TEA-ZnO在不同电位下的原位红外光谱。(e) TEA-ZnO在ZnO表面吸收CO2并还原成CO的拟议机理示意图。
我们通过一锅法在ZnO表面修饰了不同的烷醇胺分子以及调整三乙醇胺的用量,合成了一系列烷醇胺功能化ZnO催化剂,其二氧化碳还原活性明显高于纯ZnO。催化选择性和活性的提高归因于ZnO表面接枝了官能团,为形成更多的氨基甲酸酯提供了更多的特异性活性位点,从而提高了催化剂对CO2的吸附能力。此外,三乙醇胺接枝的催化剂在高温时仍显示出良好的催化选择性,表面基团的存在在一定程度上减轻了高温对CO2RR反应的负面影响。
Han Zhang, Tao Yan, Zhikun Liu, Wenjing Xu, Yingying Cheng, Peng Kang*. Alcoholamine-Grafted Zinc Oxide Enhances CO2 Electroreduction at Elevated Temperatures, ACS Sustainable Chem. Eng. 2024, DOI: 10.1021/acssuschemeng.3c07331
康鹏,天津大学化工学院教授,博士生导师,国家级青年人才。2010 年博士毕业于美国斯坦福大学,2010 至 2015 年在美国北卡罗来纳大学教堂山分校从事博士后研究。研究方向集中于二氧化碳资源化利用、电解水制氢和高盐废水处理技术的研究,包括催化剂和电极的设计、高效电解反应器的研制和工艺流程开发。在J. Am. Chem. Soc.,Angew. Chem. Int. Ed.,Energy Environ. Sci.等国际期刊发表SCI论文50余篇,获授权发明专利12项。现主持国家重点研发计划,国家自然基金面上项目和地市及企业等科技项目。于2020年完成了世界首套二氧化碳电解制化学品中试项目,为实现2060碳中和目标提供了技术保障。
本文仅用于学术分享,不做盈利使用,如有侵权,请联系后台小编删除
欢迎关注我们,订阅更多最新消息
“邃瞳科学云”推出专业的自然科学直播服务啦!不仅直播团队专业,直播画面出色,而且传播渠道多,宣传效果佳。
“邃瞳科学云"平台正在收集、整理各类学术会议信息,欢迎学会、期刊、会议组织方择优在邃瞳平台上进行线上直播,希望藉此帮助广大科研人员跨越时空的限制,实现自由、畅通地交流互动。欢迎老师同学们提供会议信息(会有礼品赠送),学会、期刊、会议组织方商谈合作,均请联系王女士:18612651915(微信同)。
投稿、荐稿、爆料:Editor@scisight.cn