
第一作者:黄净
通讯作者:倪绍飞、张占辉、刘守信
通讯单位:河北师范大学、河北科技大学、汕头大学
论文DOI:10.1039/D4GC00664J
氯化是合成有机氯化物的最经典的有机反应,既是生产基础有机化工原料氯化物的主要方法,也是合成或生产精细化学品和药物中间体相关氯化物的重要方法。因此,开发高效、绿色的氯化策略具有重要价值。近日,河北师范大学张占辉/河北科技大学刘守信/汕头大学倪邵飞课题组报告了一种在无强氧化剂条件下,可见光-FeCl3催化,用无机盐MgCl2氯化C(sp3)-H的新型绿色、高选择性方法。该方法应用于不同甲基芳烃α-H和环烃C-H的氯化,具有高转化率,并提出了反应机理。
可见光介导的有机合成反应具有操作简便、条件温和以及绿色高效等优点,因此以可见光促进的C-H直接形成C-Cl具有明显的吸引力。光诱导廉价的过渡金属催化方法,以使用无毒的无机氯化物盐作为氯源,无强氧化剂的情况下选择性氯化,是更绿色的合成策略。Fe 是地球上存量极为丰富的金属,也是最为廉价的过渡金属。鉴于其原子结构较为特殊,可以呈现三种不同多价态,作为催化剂尽管催化机理较为复杂,可催化的反应类型较多。综合以上,张占辉课题组设计了一个不含任何贵金属的Fe催化体系,以MgCl2作为氯源,在温和、无强氧化剂的情况下光催化氯化C-H。作者考察了不同条件下甲苯的氯化反应,结果表明,FeCl3为催化剂,乙腈为溶剂,400 nm LEDs照射12 h,甲苯的单氯化选择性和转化率分别达到98%和95%。
Table 1 Optimization for chlorination of toluene α-H

Reaction conditions: [a] Toluene (1.0 mmol), FeCl3 (0.25 mmol, 0.25 equiv), MgCl2 (1.0 mmol, 1.0 equiv), CH3CO2H (2.0 mmol, 2.0 equiv) in CH3CN (10.0 mL), 25 °C, under 400 nm irradiation (10 W), 12 h. [b] with N2 protection. Yields are of isolated products after chromatographic purification. Conversion and selectivity were determined by GC analyses.(来源Green Chem.)
在确定最佳反应条件后,作者对底物的适用范围进行了考察。多种具有吸电子基团和供电子基团的取代甲苯衍生物在氯化反应中均具有良好的耐受性,在选择性和转化率方面均取得了较好的结果,并能以中等至较高的收率分离出所需的产物。该体系展现出了优异的官能团耐受性。
Table 2 Substrate scope of photoinduced Fe- catalyzed

Reaction conditions: [a] Substrate (1.0 mmol), FeCl3(0.25 mmol, 0.25 equiv), MgCl2 (1.0 mmol, 1.0 equiv), CH3CO2H (2.0 mmol, 2.0 equiv) in CH3CN (10.0 mL), 25 °C, under 400 nm irradiation (10 W), 12 h. [b] with N2 protection. Yields are of isolated products after chromatographic purification. Conversion and selectivity were determined by GC analyses. [c] Yields are of isolated products after fractional distillation.(来源Green Chem.)
在此基础上,作者进一步研究了以MgCl2作为氯源,FeCl3与可见光共催化的非均相光催化体系C-H氯化反应机理。通过DMPO捕获到了氯自由基,并提出了一个可能的反应机理。

图1 可能的反应机理。(来源Green Chem.)
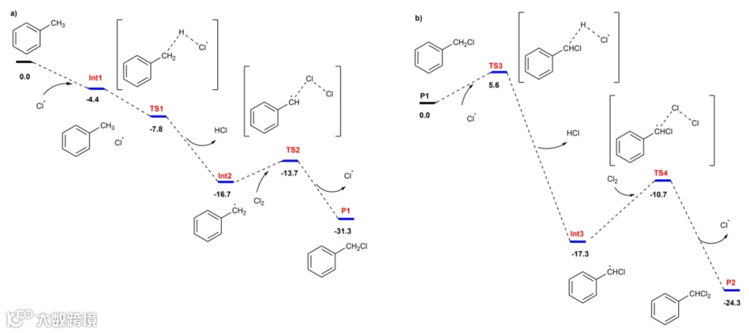
为了更深入地了解反应机理,作者又对甲苯反应进行了密度泛函理论(DFT)计算。

图2 DFT 计算的甲苯氯代反应。(来源Green Chem.)
本工作建立了C(sp3)-H键氯化反应的铁-可见光共催化体系,以无机盐作为氯源,避免使用强氧化试剂或电解,有效地构建广泛的C-Cl键。该方法在化学工业中具有良好的应用前景,可以解决氯平衡问题,开发更可持续、更节能的反应。
文章链接:https://pubs.rsc.org/en/Content/ArticleLanding/2024/GC/D4GC00664J
张占辉,二级研究员,博士研究生导师,省管优秀专家,河北省优秀教师,河北省有机功能分子重点实验室副主任,河北省药学会药物化学专业委员会委员,绿色与可持续化学团队负责人,中国化学会高级会员。2006年在南开大学有机化学专业获博士学位,2019-2020年在新加坡南洋理工大学做访问学者 (合作导师:赵彦利教授)。长期致力于绿色有机合成方面的研究,发表学术论文100余篇,论文被引用8000多次,H指数58。担任《Current Organic Synthesis》、《Current Chinese Chemistry》和《Current Organocatalysis》杂志编委,研究成果获河北省自然科学一等奖 (排名第一)。入选“爱思唯尔中国高被引学者(2020-2023)”、 “全球学者库”及“全球顶尖前10万科学家”榜单,获Web of Science “Top peer reviewer”。
刘守信,二级教授,博士研究生导师,国务院特贴专家,河北省高端人才支持计划,河北省省管优秀专家,河北省突出贡献专家,河北省“巨人计划”团队负责人,以第一完成人获得河北省科技进步奖一等奖3项,二等奖1项,发表论文120篇,获授权发明专利35件。目前研究聚焦于经典药物合成反应的绿色改良与方法创新。以非贵金属催化、生物催化和可见光催化为策略,在生物催化氨基酸不对称转化方法与产业化、光催化卤离子直接高选择性氯化C-H键方法以及金属铁、镍、铜、银和钯催化反应新方法开发等方面形成了一定的特色。
倪绍飞,2020年入职汕头大学化学系。2013-2016年在南方科技大学担任研究助理(合作导师:党丽教授),开始学习计算有机化学。2016-2019年在西班牙加泰罗尼亚化学研究所(ICIQ)获得博士学位(ICIQ Fellow,导师:Prof. Feliu Maseras),2019年获欧盟Erasmus+奖学金项目资助,赴瑞典斯德哥尔摩大学交流学习(导师:Prof. Fahmi Himo)。随后在德国哥廷根大学从事博士后研究工作(合作导师:Prof. Lutz Ackermann)。2023-2024年加入日本京都大学任特聘研究员(合作导师:Prof. Shigeyoshi Sakaki)。目前以第一作者和通讯作者在Angew. Chem. Int. Ed., Nat. Commun., CCS Chem.等期刊发表SCI学术论文60余篇。
欢迎关注我们,订阅更多最新消息
“邃瞳科学云”推出专业的自然科学直播服务啦!不仅直播团队专业,直播画面出色,而且传播渠道多,宣传效果佳。
“邃瞳科学云"平台正在收集、整理各类学术会议信息,欢迎学会、期刊、会议组织方择优在邃瞳平台上进行线上直播,希望藉此帮助广大科研人员跨越时空的限制,实现自由、畅通地交流互动。欢迎老师同学们提供会议信息(会有礼品赠送),学会、期刊、会议组织方商谈合作,均请联系潘经理:18612651915(微信同)。
投稿、荐稿、爆料:Editor@scisight.cn