
第一作者:陈聪
通讯作者:范荣磊博士;沈明荣教授
通讯单位:苏州大学物理科学与技术学院
论文DOI:10.1002/aenm.202102865

全文速览
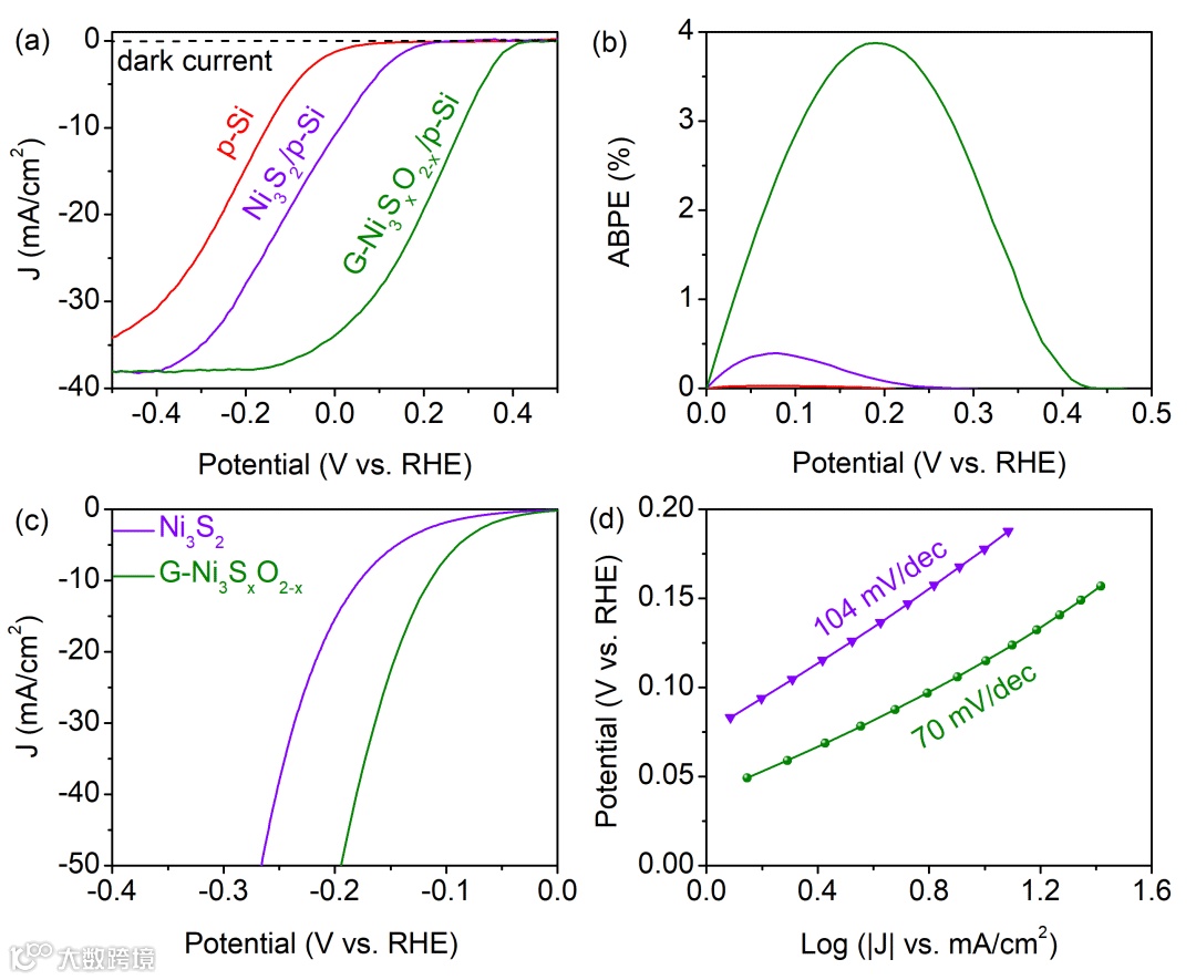
镍硫化物由于良好的导电性、HER催化活性以及稳定性而受到广泛的关注。在本文中,作者通过加热电沉积法制备出具有梯度结构的Ni3S2层,并将其与Si光阴极集成在一起,对其催化活性和电荷传输性能进行了深入研究。梯度结构可以使Ni3S2层同时起到保护和催化的作用。强度调制光电流谱(IMPS)揭示出梯度的构建有利于加快电荷传输和分离,减少界面复合,从而提升Si光阴极的催化活性。该研究提出了催化剂梯度构建的策略,为Si光阴极高效产氢提供了一条可行的途径。

背景介绍
利用光电化学(PEC)分解水将间歇性的可再生太阳能转换并存储为氢能被认为是解决当前世界范围内环境危机和能源短缺问题最有前途的方法之一。半导体Si具有低成本、窄带隙、储量丰富以及合适的能带结构等优势,成为了极具潜力的PEC光电极材料。但是,Si表面析氢反应动力学缓慢以及总体效率低,设计高性能的PEC Si光阴极仍然充满挑战。为提升Si光阴极的PEC HER性能,在Si表面集成合适的保护层和催化剂是比较流行的研究策略。Ni3S2具有良好的导电性以及在碱性电解液中良好的稳定性等特点,被认为是高性能、低成本的碱性HER催化剂,但是将其集成到Si上会存在化学不兼容以及界面稳定性的问题。

本文亮点
1.此工作采用加热电沉积的方法, 将硫梯度的Ni3S2多功能层(G-Ni3SxO2-x)集成到p-Si光阴极表面,制备了一种高效稳定的太阳能分解水Si光阴极。

图文解析

Figure 1. a) Top-view, b)cross-sectional SEM images, c) cross-sectional TEM image, d) EDS line scans and e) HRTEM image of the as-prepared G-Ni3SxO2-x/p-Si photocathode. XPS depth profiling on the G-Ni3SxO2-x/p-Si photocathode for f) Ni 2p, g) S 2p and h) O 1s at the surface, middle and bottom of the G-Ni3SxO2-x layer. i) Depth profile of atomic concentrations for G-Ni3SxO2-x.
Figure 3. a) Comparison of energy level diagrams for p-Si, Ni3S2 and G-Ni3SxO2-x. b) Mott-Schottky plots taken on the Ni3S2/p-Si and G-Ni3SxO2-x/p-Si photocathodes. c) Nyquist plots for Ni3S2/p-Si and G-Ni3SxO2-x/p-Si recorded at 0.3 VRHE. d) Plots of charge transfer rate constant (Kt) and charge recombination rate constant (Kr) under different applied potential (solid lines represent Kt and dashed lines represent Kr ). e) Measurements of water contact angles for Ni3S2/p-Siand G-Ni3SxO2-x/p-Si. Insets display the images of water droplets. f) The average diameter of bubbles released on the Ni3S2/p-Si and G-Ni3SxO2-x/p-Si photocathodes.
Figure 4. a) PEC stability measurements for Ni3S2/p-Siand G-Ni3SxO2-x/p-Si. Confocal Raman spectra recorded from nine locations on the b) G-Ni3SxO2-x/p-Si and c) Ni3S2/p-Si photocathodes.

总结与展望
本工作成功地在p-Si基底上制备了G-Ni3SxO2-x催化剂。与传统的Ni3S2相比,G-Ni3SxO2-x梯度结构不仅能提供丰富的HER反应活性位点,而且加快了电荷传输、分离以及氢气气泡的释放。此外,梯度结构能使催化剂和Si基底有着良好的接触,释放了催化剂层的应力,避免了裂纹的形成。这一发现为在碱性电解质中制备高性能、非贵金属催化剂集成的Si光阴极太阳能分解水制氢提供了一种新的研究思路,也为今后光催化剂的合理设计提供了借鉴。

作者介绍
范荣磊,助理研究员,任职于苏州大学物理科学与技术学院,研究方向为能量转换相关材料的制备及其物理特性的研究,特别是基于Si材料光电特性的研究、光电化学分解水和二氧化碳还原的器件设计以及纳米结构催化剂的合成与应用。
沈明荣,苏州大学教授,博士生导师,任职于苏州大学物理科学与技术学院。江苏省物理学会副理事长。研究方向主要是无机多功能材料、特别是能量存储与转换相关材料的制备与物理特性研究。
声明
本文仅供科研分享,不做盈利使用,如有侵权,请联系后台小编删除
“邃瞳科学云”直播服务
“邃瞳科学云"平台正在收集、整理各类学术会议信息,欢迎学会、期刊、会议组织方择优在邃瞳平台上进行线上直播,希望藉此帮助广大科研人员跨越时空的限制,实现自由、畅通地交流互动。欢迎老师同学们提供会议信息(会有礼品赠送),学会、期刊、会议组织方商谈合作,均请联系翟女士:18612651915(微信同)。
投稿、荐稿、爆料:Editor@scisight.cn
扫描二维码下载
邃瞳科学云APP

