
第一作者:Yuchen Deng、Yu Guo、Zhimin Jia、Jin-Cheng Liu
通讯作者:马丁教授、李隽教授、刘洪阳研究员
通讯单位:北京大学、清华大学、中科院金属研究所
DOI: 10.1021/jacs.1c12261

全文速览
催化活性位点的识别对于设计高效的多相金属催化剂至关重要,特别在结构敏感型的反应中尤其如此。减小催化剂上金属物种的维度会增加分散性,当金属以单原子形式存在时分散性最高,即形成单原子催化剂(SACs)。据报导,SACs在各种催化反应中均具有杰出的性能。然而在本文中,作者通过研究表明Pt SACs虽然具有最高的金属原子利用效率,但其在环己烷(C6H12)脱氢反应中并没有催化活性,该反应可实现有效的氢传输。相反,富含完全暴露少原子Pt组装体的催化剂,即Pt–Pt配位数约为2,可实现最佳的催化性能。这种充分暴露少原子组装体催化剂的优异性能可归功于其高d带中心、多个相邻金属位点以及产物的弱结合。

背景介绍
近几十年来,设计活性位点的结构已成为开发高性能催化材料的中心主题。优先暴露金属催化剂的某些晶面可以有效提高反应速率或改变反应路径,从而提高所需产物的选择性和产率。这种结构敏感性符合集团效应,即催化剂表面原子组装体对反应物的吸附以及随后的催化转化至关重要。例如,N2分子在Fe催化剂上的解离吸附需要C7位点组装体,而Ru催化剂上由五个相邻Ru原子组成的B5位点被确认为活性中心。当这种活性结构从延伸金属表面的其余部分分离出来,并与基底上由多个金属原子甚至孤立的金属原子组成的团簇相结合时,就会出现新型的多相催化剂。后者即所谓的单金属位点催化剂,由Rooney和Webb根据金属反应物π键理论首次在理论上提出,并在1993年由Sachtler在实验上证实。非均相单原子催化剂(SACs)的概念由Zhang、Li、Liu等提出,此后在多相催化领域得到广泛的研究。单原子催化剂(SACs)可以最大限度地提高原子效率,并显著增强催化性能。
环己烷脱氢(CDH)反应可以产生氢气和苯,结合其反向反应即苯加氢工艺,可以构成一种以液态载体形式运输氢气的策略,该载体安全且易于运输。随着氢运输日益成为整体氢经济的瓶颈,液态有机氢载体如环己烷/苯对则可以显著降低氢运输和储存成本。考虑到CDH过程的活性催化组分主要是贵金属,因此通过最大限度地提高金属利用率以增强催化剂的性能具有重要的现实意义和科学意义。对于CDH反应而言,阐明催化活性结构的上述尺寸要求至关重要,因为它涉及多个基元步骤,包括大量C–H键的活化与强吸附产物的脱附。Boudart在1969年得出结论,即CDH过程是一种结构不敏感的反应,因此在宽金属负载范围内其活性不依赖于载体上Pt的形式和密度。然而,该报导并没有考虑具有小金属团簇或SACs催化剂。值得注意的是,Campbell等研究了该反应的组装体尺寸对Pt(111)单晶表面的影响,并证明将环己烷转化为苯可能需要至少八个Pt原子。近年来,科研人员提出气相Ni-芴络合物(一种Ni原子物种)在通过碰撞诱导解离获得能量后,可以在离子阱质谱仪中催化CDH反应,尽管其远不是实际的多相催化反应。随着催化剂制备与表征方面的最新进展,使得该领域能够更好地重新审视上述主张,更重要的是能够利用在原子和分子水平上获得的知识完善金属催化剂的设计原理。
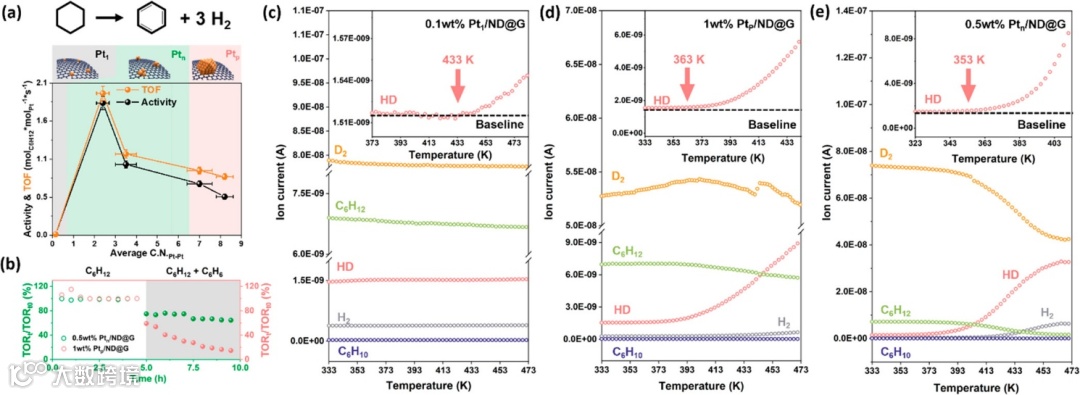
在本文中,作者开发出一系列锚定于纳米金刚石的弯曲石墨烯层(ND@G)上的Pt催化剂,包括孤立分散的Pt单原子(Pt1)、不同粒径的Pt团簇(Ptn)、以及Pt纳米颗粒(Ptp);这意味着Pt物种的平均粒径不断增加,从单原子到完全暴露的由几个原子组成的亚纳米团簇,最终到更大的团簇和纳米颗粒。对CDH反应而言,尽管Pt SAC具有最高的金属原子利用效率,但即使在553 K下其对环己烷的C–H键活化和随后的脱氢反应都不起作用。相比之下,Pt团簇和纳米颗粒催化剂均具有反应活性,但较大的颗粒会被反应产物严重毒化,因此活性较低。值得注意的是,完全暴露的由少数原子组成的Pt组装体,即当平均Pt–Pt配位数(CNPt–Pt)约为2–3时,催化剂表现出最佳的性能。该研究清楚地证明由少量铂原子组装体形成的完全暴露型铂簇催化剂,对CDH反应过程有着十分重要的作用。

图文解析
图1. Pt单原子、团簇、纳米颗粒催化剂的表征:(a)0.1 wt % Pt1/ND@G的HAADF-STEM图;(b)0.5 wt % Ptn/ND@G的HAADF-STEM图;(c)1 wt % Ptn/ND@G的HAADF-STEM图;(d)1 wt % Ptp/ND@G的HAADF-STEM图;(e)催化剂的XRD表征;(f)催化剂的傅里叶变换k3-加权Pt L3-edge EXAFS光谱;(g)催化剂的Pt L3-edge XANES光谱;(h)催化剂的Pt 4f XPS光谱。
图2. Pt单原子、团簇、纳米颗粒催化剂的反应性能:(a)在553 K下环己烷脱氢反应中的Pt催化剂构效关系;(b)在纯环己烷中0.5wt % Ptn/ND@G (绿○)和1wt % Ptp/ND@G (红○)的CDH活性与时间的关系,在环己烷和苯的混合物中0.5 wt % Ptn/ND@G (绿●)和1 wt % Ptp/ND@G (红●)的CDH活性与时间的关系;环己烷与D2在(c) 0.1 wt % Pt1/ND@G,(d)1 wt % Ptp/ND@G,和(e) 0.5 wt % Ptn/ND@G上的程序升温表面反应(TPSRs)。
图3. 催化剂的模型结构与反应路径计算:(a)Pt1/G, Pt4/G,Pt13/G和Pt(111)的优化结构,其中占据d带的电荷密度从-1 eV到费米能级(设为0);(b) Pt原子5d轨道的投射态密度(pDOS)与带中心,左侧显示为一个C–H键长度为1.1和2.0 Å的分子轨道;(c)在四种催化剂模型上,C6H12逐步脱氢至C6H10的自由能图;(d)对应的中间体和过渡态结构。
图4. (a)苯在Pt1/G,Pt4/G, Pt13/G和Pt(111)表面上的吸附构型;(b)苯C原子及其相邻铂原子之间的晶体轨道汉密尔顿布居数(-pCOHP);(c)积分-pCOHP(IpCOHP)与苯和环己烷在四种催化剂上吸附能的关系。

总结与展望
综上所述,本文通过实验测试和DFT理论分析清楚地证明在CDH反应中完全暴露型少量铂原子组装体作为催化剂的优势。一方面,由数个原子组成的小Pt组装体具有更高的d带中心以促进C–H键的活化,并与苯产物的相互作用较弱以使产物快速脱附并防止催化剂中毒。另一方面,相邻的铂原子可以依次活化多个C–H键。如此独特的电子和几何特性可以使反应物的活化与产物的脱附变得容易,这是完全暴露型少原子金属组装体催化剂性能优异的关键。本文所展示的金属催化剂设计原理,可以为在重要化工原料的高效转化中高活性催化剂的构筑铺平道路。

文献来源
Yuchen Deng, Yu Guo, Zhimin Jia, Jin-Cheng Liu, Jinqiu Guo, Xiangbin Cai, Chunyang Dong, Meng Wang, Chengyu Li, Jiangyong Diao, ZhengJiang, Jinglin Xie, Ning Wang, Hai Xiao, Bingjun Xu, Hongbo Zhang, Hongyang Liu, Jun Li, Ding Ma. Few-Atom Pt Ensembles Enable Efficient Catalytic Cyclohexane Dehydrogenation for Hydrogen Production. J. Am. Chem. Soc. 2022. DOI: 10.1021/jacs.1c12261.
文献链接:https://doi.org/10.1021/jacs.1c12261
声明
本文仅供科研分享,不做盈利使用,如有侵权,请联系后台小编删除
“邃瞳科学云”直播服务
“邃瞳科学云"平台正在收集、整理各类学术会议信息,欢迎学会、期刊、会议组织方择优在邃瞳平台上进行线上直播,希望藉此帮助广大科研人员跨越时空的限制,实现自由、畅通地交流互动。欢迎老师同学们提供会议信息(会有礼品赠送),学会、期刊、会议组织方商谈合作,均请联系翟女士:18612651915(微信同)。
投稿、荐稿、爆料:Editor@scisight.cn
扫描二维码下载
邃瞳科学云APP

