
第一作者:Jiawei Deng
通讯作者:谌烈
通讯单位:南昌大学化学化工学院
文献链接:https://doi.org/10.1002/anie.202202177

全文速览
对于非富勒烯有机太阳能电池来说,增强其内建电场以促进电荷的动态过程对于它的性能来说具有重要意义,但是这点却很少引起人们的注意。为了提高器件的性能,这项工作实现了一种新的途径,向非富勒烯有机太阳能电池的活性层中引入了一种廉价的铁电聚合物作为添加剂,铁电偶极子的极化产生了一个额外的永久电场,可以很大程度的增强内置电场,铁电聚合物的引入促进了激子的分离、显著加速了电荷传输、减少了电荷复合,还优化了膜形态,使得具有各种活性层的PVDF改性的有机太阳能电池的性能显著改善,例如:PM6:Y6,PM6:BTP-eC9, PM6:IT4F 和PTB7-Th:Y6,特别是基于PM6:Y6的有机太阳能电池的效率达到了极高的17.72%,基于PM6:BTP-eC9的有机太阳能电池的效率达到了18.17%。

背景介绍
近年来,有机太阳能电池(OSC)因其成本低、重量轻、柔性好、可溶解性好等特点而受到越来越多的关注。特别是随着非富勒烯受体(NFA)的出现,基于体异质结(BHJ)的OSC得到了迅速发展,单结器件的功率转换效率(PCE)突破了18%。有机太阳能电池的高效率主要受三个方面的影响:良好的光收集、有效的电荷分离、收集和传输光载流子。基于有机半导体的活性层在吸收阳光后不能直接产生电子和空穴,而是在库仑力(激子的束缚能)的作用下形成局域电子-空穴对(单重态激子(SE))。生成的局域激子随后移动到施主/受主界面,衰变为电荷转移激子(CTE),它可以视为自由载流子的前驱体,CTE分解为自由空穴和电子在很大程度上受器件内置电场的驱动力影响,驱动力主要由施主的HOMO能级和受主的LUMO能级之间的偏移以及阳极/阴极提供的局部电场决定。除了为CTEs的分解提供动力外,内置电场还会将激子和载流子传输到相应的电极进行收集,以避免它们复合。然而,在有机太阳能电池中,内置电场太小并不能提供足够的驱动力来使SEs和CTEs完全分解,也不能使分离产生的自由电荷快速迁移,从而导致电荷被捕获在陷阱中或积聚在界面上。这种未达最佳标准的电荷动力学通常会导致电荷或激子的明显非辐射复合,这是限制有机太阳能电池光伏效率的主要能量损失。因此加强内建电场以促进激子的分离和输运,减少非辐射复合,对提高有机太阳能电池的功率转换效率具有重要意义。
铁电聚合物是一种具有铁电性的聚合物晶体材料。在光电器件中,铁电偶极子的自发极化可以通过外加电场进行控制,从而产生稳定可控的内部电场。目前,研究人员在钙钛矿型太阳能电池领域对铁电材料进行了一些成功的尝试,已经证明将铁电偶极子引入器件中可以提供增强内置电场的“能量”,从而抑制陷阱位置处的载流子复合。与仅由外场产生的不稳定内建电场相比,铁电聚合物可以在钙钛矿型太阳能电池中提供永久可控的内电场。
在这项工作中,将铁电聚合物聚偏二氟乙烯(PVDF)作为添加剂引入NFA基有机太阳能电池的活性层,以增强内置电场。PVDF是一种廉价的铁电聚合物,具有柔韧性,铁电性、压电性和其他弯曲介电特性。由聚合物主链中交替的 C-F和C-H键形成的强铁电偶极矩在基于NFA的有机太阳能电池中产生额外的永久电场,该电场显然是通过极化方向与外部偏置电压进行控制的,该电场可以显著加速电荷扩散和传输,促进空穴和电子分离,抑制激子与电荷的复合。因此,在加入PVDF的有机太阳能电池中,非辐射复合减少。此外,通过F…F或者F…H的相互作用,掺杂PVDF的多氟结构还诱导了具有增强的正面取向的更有利的活性层形态。由于PVDF的多重优势,基于PM6:Y6的设备的功率转换效率达到了创纪录的17.72%。PVDF添加剂在四种不同类型的活性层中也有进展,PM6:BTP-eC9基器件的功率转换效率显著提高,达到18.17%。

图文解析
图1 (a)PVDF的化学结构和工作中使用的材料;(b)有机太阳能电池从激子产生到电荷提取的主要能量转移过程。橙色实线表示加速,蓝色虚线表示抑制。
图2 (a)设备结构方案;PM6:Y6、PM6:Y6/PVDF1%、PM6:Y6/PVDF 5%和PM6:Y6/PVDF10%薄膜极化后的(b)J–V特性曲线和(c)EQE光谱图;(d)本研究中不同方案的有机太阳能电池的PCE值直方图;(e)总结了最近报道的基于PM6:Y6的二元有机太阳能电池的PCE; (f)用SCLC测量空穴和电子迁移率。
图3 (a)控制下的表面电位模式,(b)具有聚偏氟乙烯表面电位模式,(c)极化后的表面电位模式;(d)(e)(f)沿箭头方向获得的相应表面接触电位差(CPD)值; (g) 在黑暗和相应的开路电压下的Nyquist图;(h)时间分辨光致发光衰减谱;(i)由时间分辨的光致发光衰减谱决定的薄膜的空穴转移速率。
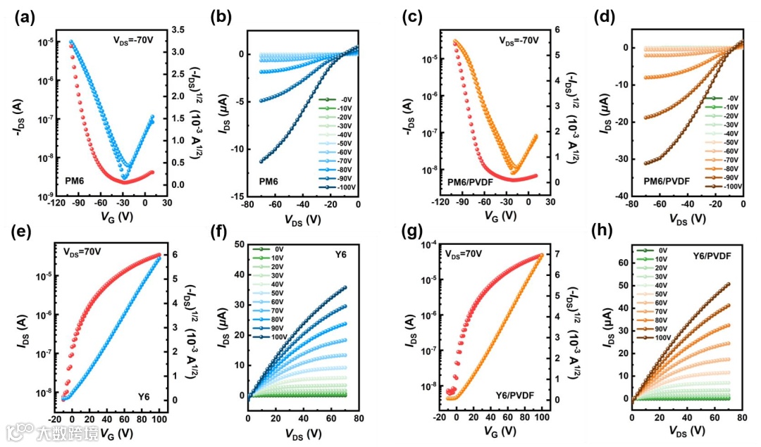
图4 基于a), b) PM6, c), d) PM6/PVDF, e), f) Y6 和g),h) Y6/PVDF的OFET(无极化)的传输和输出特性。
图5 (a) PM6:Y6、PM6:Y6/PVDF 1%、PM6:Y6/PVDF5%、PM6:Y6/PVDF 10%的AFM图像;(b) PM6:Y6、PM6:Y6/PVDF 1%、PM6:Y6/PVDF 5% 和 PM6:Y6/PVDF 10% 薄膜的二维 GIWAXS 图像;(c) 相对于面外(OOP) 方向和面内 (IP) 方向的一维 GIWAXS 线曲线。
图6 (a)对照、(b)使用PVDF和 (c)极化后的有机太阳能的归一化EL和s-EQE光谱;(d) PVDF添加剂在PM6:Y6共混膜中的原理示意图。
图7(a)基于PM6:BTP-eC9的有机太阳能电池极化后的J-V特性曲线和(d)平均PCE;(b)基于 PM6:IT-4的有机太阳能电池极化后的J-V特性和(e)平均PCE;(c)基于PTB7-Th:Y6的有机太阳能电池极化后的J-V特性曲线和(f)平均PCE。

总结与展望
使用 PVDF作为体异质结活性层的添加剂,成功地调节了高性能非富勒烯有机太阳能电池的内置电场。铁电偶极子的高取向性,在器件中产生了一个额外的稳定的内部电场以增强内置电场。可以通过极化过程和PVDF的含量来方便地调节这种由铁电聚合物引起的内部电场。增强的内建电场加速了激子分离和电荷传输,从而减少了非辐射复合。还通过将PVDF结合到 PM6:Y6 有源层中以优化薄膜形态并增强正面取向,通过添加 PVDF,在不同的非富勒烯有机太阳能电池中实现了效率的显著提高。特别是基于PM6:Y6的有机太阳能电池的效率达到了极高的17.72%,基于PM6:BTP-eC9的有机太阳能电池的效率达到了18.17%。,这些发现表明,将铁电聚合物掺入非富勒烯有机太阳能电池是一种廉价、简便且通用的方案,可增强内置电场并改善器件性能。

文献来源
Jiawei Deng, BinHuang, Wenhao Li, Lifu Zhang, SangYoung Jeong, Shaorong Huang, Shijing Zhang,Feiyan Wu, Xiaoli Xu, Guifu Zou, Han Young Woo, Yiwang Chen, and Lie Chen.Ferroelectric Polymer Drives Performance Enhancement of Nonfullerene Organic Solar Cells. Angew.Chem. Int. Ed. 2022
DOI:10.1002/anie.202202177
文献链接:https://doi.org/10.1002/anie.202202177
声明
本文仅供科研分享,不做盈利使用,如有侵权,请联系后台小编删除
“邃瞳科学云”直播服务
“邃瞳科学云"平台正在收集、整理各类学术会议信息,欢迎学会、期刊、会议组织方择优在邃瞳平台上进行线上直播,希望藉此帮助广大科研人员跨越时空的限制,实现自由、畅通地交流互动。欢迎老师同学们提供会议信息(会有礼品赠送),学会、期刊、会议组织方商谈合作,均请联系翟女士:18612651915(微信同)。
投稿、荐稿、爆料:Editor@scisight.cn
扫描二维码下载
邃瞳科学云APP

