
第一作者:Meng Sen
通讯作者:杨洁,杨伟
通讯单位:四川大学
DOI: https://doi.org/10.1002/aenm.202200087

全文速览
界面太阳能蒸汽发电是可能缓解全球水资源危机的一种新兴技术。然而,水蒸发是一个能量密集型的相变过程,因此其蒸发量很低。因此,可以减少能源需求并加速水蒸发的新型稳定且环保的材料在各种研究中广受关注。压电超薄纳米膜集成到太阳能蒸发膜,可以同时实现发电和水活化。由此产生的蒸发器可用于不断地将海洋中的波浪能转化为电能。研究发现,蒸发器产生的电能可以活化邻近区域的水,与等效的非压电蒸发器相比,可以促进水蒸发额外提高20%以上。

背景介绍
水资源短缺和能源短缺是人类社会面临的复杂而严峻的全球性挑战。为了解决与水-能源关系相关的环境问题,开发了诸如使用界面太阳能蒸汽发电 (ISVG) 作为生态友好型水净化策略等方法。ISVG能够有效地利用阳光作为能源来集中热能,从而驱动水-空气界面的蒸发。因此,蒸发效率取决于能量管理,这一结果已在各种材料系统中得到证实。一方面,太阳能高效的宽带吸收和扩散到环境中热损失的抑制,有利于提高蒸发效率。另一方面,水相变的高能量需求限制了ISVG在自然光下的蒸发速率。基于此,Yu等人提出水凝胶可以降低聚合物网内的蒸发焓和水蒸发过程中的能量输入,并开发了各种利用水凝胶的蒸发器。然而,对于所有这些蒸发器来说,焓降效应只在聚合物网内有效,而生产率在很大程度上取决于聚合物的水合强度,这可能会受到外部环境的不利影响。然而,通过不同的方法可以更有效地利用减弱的蒸发焓,从而提高水的蒸发性能。
先前的研究已经发现均匀电场和交变电场能促进水的蒸发。遗憾的是,直接用电促进水蒸发并不能被视为水凝胶的等价替代品,因为其成本高,违背了绿色和可持续发展的初衷。值得注意的是,海洋包括潮汐能、波浪能、海流能等多种能源。海洋表面的动能和势能被认为是能量密度高、可无限再生的绿色能源。压电材料是广泛研究的能量转换单元,能够将机械刺激转换为电能。海洋运动产生的势能差和往复力可以通过引入合适的压电材料来刺激电能的产生。因此,连续波是一种用于改善水蒸发的很有前途的水凝胶基蒸发器的替代品。
基于以上考虑,本文制备了一种新型的波浪驱动压电界面太阳能蒸发器,该蒸发器由碳毡(CF)光热层和覆盖钛酸钡(BaTiO3)超薄纳米膜(BUF)的纤维素基层组成,用于通过界面聚合实现水的净化(图1)。压电式BaTiO3纳米颗粒被紧密地嵌入聚酰胺(PA)纳米膜中,以确保足够的波能和在波中的稳定性。此外,大量的BaTiO3纳米颗粒分布在纤维素骨架表面。压电BaTiO3将波致动能和势能差转换为电能。与散装水相比,这种不间断电能可以促进蒸发过程,并且由于水的活化,蒸发能量消耗更少。高亲水性多孔纤维素基质具有可观的渗透能力和水传输通道,这有利于压电材料与水的充分接触和电能释放到水中。结合可扩展的界面聚合,基于BUF的低成本太阳能蒸发器为下一代自供电太阳能净水技术提供了持久的性能和巨大的实用潜力。

图文解析

图1 基于BUF的太阳能净水界面蒸发系统示意图。基于BUF的蒸发系统由CF光热层和压电功能层组成。在压电功能层中,BaTiO3纳米颗粒在水相中形成稳定的悬浮液,然后通过水溶性间苯二胺(MPD)和油溶性1,3,5-苯三羧基氯(TMC)的界面聚合被铆合在PA层中。在太阳照射下,这种基于BUF的蒸发系统可以不断地将来自海洋的波浪能转化为电能,而这种不间断的电能可以激活水,促进蒸发过程。

图2 基于BUF的太阳能蒸发器的形貌。a、b) 基于BUF的太阳能蒸发器中BUF层表面的SEM图像。c) BUF层的横截面SEM图。d)纤维素基质、BaTiO3纳米颗粒和用于固定BaTiO3纳米颗粒的PA层的平均厚度。e、f) 基于BUF的太阳能蒸发器中纤维素基质的横截面SEM图。g,h)纤维素基质中钡、钛元素的EDS mapping图。

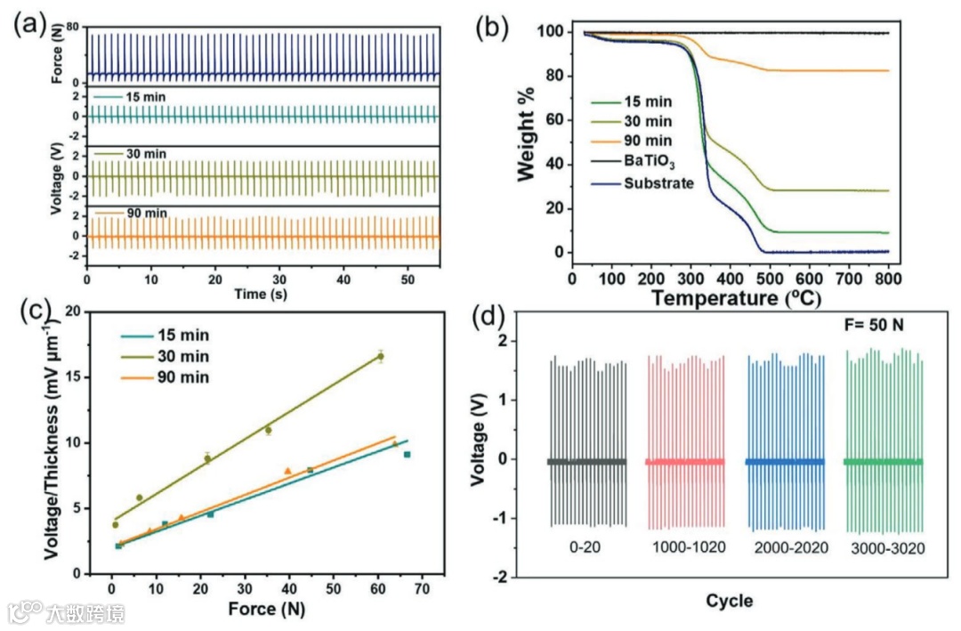
图3 a)基于BUF的蒸发膜在相同正弦机械刺激下不同浸泡时间的电压输出(海军蓝)。b)纯BaTiO3膜、纤维素基膜和基于BUF的蒸发膜在不同浸泡时间下的TGA曲线。c) 基于BUF的蒸发膜在不同浸泡时间下的实验电压响应符号和相应的线性拟合。d) 基于BUF的蒸发膜在50 N下不同循环后浸泡时间为30 min的电压输出。

图4 a)用于检测水面波浪力和在各种外部条件下不同方向测量的冲击力的原型示意图。F1、F2和F3表示传感器从三个正交方向接收到的力。A、B表示传感器的固定位置。水泵的水通量控制在7500 L h−1或13500 L h−1,反映了波浪能的强度。b)用于测试机械性能的原型示意图。

图5 a)用于评价交变电场下水的化学行为的原型示意图。b)海水在 1 V AC 电压 (1Hz) 下每隔 30 s 的 FTIR 曲线。c)交变电场下基于DSC装置的水蒸发焓收集原型示意图。d)纯海水和 1 V AC 电压 (1Hz) 海水的 DSC熔化曲线。e)在交变电场下测试真实水蒸气蒸发焓的原型示意图。f、g)纯海水和不同交流电压(1、5 和 15 V)的海水在电极距离分别为9 和 39 mm 时的等效蒸发焓。

图6 a)初始蒸发系统模型: 黄球、蓝球、红球分别代表N、H、O原子。b)水滴中水分子数(N)在不同电场作用下的时间演化。c)水滴在不同电场下的蒸发寿命(τ)和瞬时蒸发速率(ν)。

图7 a)单CF层的吸收光谱和透明光谱。b)用于测试蒸发速率的原型照片。c) CF + BUF和CF + np-BUF蒸发器在1个太阳下与没有任何蒸发器的纯海水蒸发相比的质量损失。d) CF+BUF蒸发器在1个太阳下收集水的质量变化。e)淡化前后盐度为40的标准海水样品中4种初级离子的浓度。f)甲基橙溶液及相应收集水的紫外-可见吸收光谱。

总结与展望
综上所述,本文制备了一种基于压电式BaTiO3超薄纳米薄膜的新型太阳能蒸发器,同时实现了波浪驱动电能产生和电驱动蒸发促进。这种基于BUF的蒸发器可以不断地将连续的波浪能转换为电能,从而激活邻近的水分子,促进后续的蒸发过程。定性分析、定量计算和计算机模拟表明,所产生的电场对水蒸发有积极的促进作用。在太阳能蒸汽发电中,具有水活化功能的基于BUF的太阳能蒸发器在1个太阳光照(1kW m−2)下的水蒸发率为2.01 kg m−2 h−1,比普通蒸发器高20.3%。此外,出色的海水淡化和废水净化使收集到的水质量足以满足世界卫生组织的饮用水准则。该设计证明了单个太阳能蒸发器能够充分利用波浪能来改善水蒸发的可行性。更重要的是,所提出的原型为水活化方法和多种能源的协同利用提供了新的见解。
声明
本文仅供科研分享,不做盈利使用,如有侵权,请联系后台小编删除
“邃瞳科学云”直播服务
“邃瞳科学云"平台正在收集、整理各类学术会议信息,欢迎学会、期刊、会议组织方择优在邃瞳平台上进行线上直播,希望藉此帮助广大科研人员跨越时空的限制,实现自由、畅通地交流互动。欢迎老师同学们提供会议信息(会有礼品赠送),学会、期刊、会议组织方商谈合作,均请联系翟女士:18612651915(微信同)。
投稿、荐稿、爆料:Editor@scisight.cn
扫描二维码下载
邃瞳科学云APP

