
第一作者:邓代洁
通讯作者:李赫楠、徐丽
通讯单位:江苏大学
论文DOI:10.1002/adfm.202203471

全文速览
本文提出了一种动态合成策略构筑以氮掺杂碳为载体的Zn、Cu原子对催化剂((Zn, Cu)−NC)。由于Zn和Cu原子对之间的非共价相互作用,(Zn,Cu)−NC表现出显著的ORR性能,超过了具有单个Zn或Cu位点的催化剂。通过Zn、Cu原子对间的非共价相互作用可高度激活O2分子,使金属3d轨道和O 2p轨道之间形成更密集的杂化态。由于双原子活性位点的构建,O2在(Zn, Cu)−NC催化剂表面的吸附方式也向桥式吸附转变。随着O2吸附构型的优化和吸附能的提高,(Zn, Cu)−NC的ORR活性也随之增强。以(Zn, Cu)−NC为空气阴极催化剂的液态和准固态锌-空气电池均具有优异的能量密度和充放电循环稳定性。

背景介绍
锌空气电池是一种安全、环保的电池技术。但其阴极氧还原反应(ORR)动力学过程缓慢,需要催化剂促进其反应过程。原子尺度分散的催化剂具有独特的电子性质,可表现出最大的原子利用效率,是电催化研究的热点。原子分散的Cu催化剂具有易调控的Cu−Nx活性中心,可根据催化反应实际需要进行催化剂活性中心的合理设计。但Cu位点附近的N原子表现出较强的电负性,将导致吸附中间体在Cu催化剂表面的吸附能增加,减缓了ORR的动力学过程。通过改变Cu位点的配位原子,有望进一步降低ORR能量势垒,有效调节单原子Cu催化剂对中间体的吸附强度。通过Cu与相邻金属原子协同作用的双原子催化剂可以增强氧气分子2p轨道与金属原子3d轨道的杂化状态,从而提高ORR活性。Zn作为一种独特的金属,不仅可作为异核金属锚入载体中。同时,由于Zn的挥发性,也可在碳载体中产生大量的碳空位捕获金属原子,形成异核双金属原子对。因此,基于此动态合成策略构筑了Zn、Cu原子对催化剂(Zn, Cu)−NC。着重研究了Zn和Cu原子对之间的非共价相互作用对ORR性能的影响,以及(Zn, Cu)−NC为空气阴极催化剂的液态和准固态锌-空气电池的性能。

本文亮点
1. 提出动态合成策略制备异核双金属原子对电催化剂。锌源在高温下持续挥发,产生碳空位,不断捕获Cu离子,在氮掺杂碳结构上形成由Cu(I)−C2N和Zn−N4位点组成的原子对。
2. 通过Zn、Cu原子对之间的非共价相互作用高效地活化O2分子,并以桥式吸附方式使金属3d轨道和O 2p轨道之间形成有效杂化状态。受益于吸附构型的优化和吸附能的提升,ORR活性显著增强。
3. (Zn,Cu)−NC在碱性电解质中表现出优异的ORR活性,其半波电位为0.88 V(vs. RHE)。(Zn,Cu)−NC作为空气阴极材料组装的液态和准固态锌-空气电池均表现出优异的功率密度、比容量和充放电循环稳定性。

图文解析

图一:(Zn,Cu)−NC的(a)合成示意图、(b)XRD图谱、(c-f)形貌表征和(g)金属含量分析
XRD排除了Cu与Zn元素生成氧化物或金属单质的可能性。SEM/TEM/AC HAADF-STEM证实了(Zn, Cu)−NC的单原子分散形态,且大多数以原子对形式出现的金属原子之间的平均距离约为3.425 Å。ICP-OES与EDS证实了(Zn, Cu)−NC催化剂中金属原子的高负载量。

图二:(Zn,Cu)−NC的(a-c)XPS图谱、(d-g)同步辐射数据分析
C 1s XPS成功拟合出Cu−C配位。Cu结合能与Cu−NC相比有显著的负移,表明在(Zn, Cu)−NC中Cu位点富集电子,有利于氧吸附。(Zn, Cu)−NC中Cu+与Cu2+含量比约为2:1。Zn 2p和Cu 2p结合能偏移体现了Cu、Zn之间的电荷重排和协同效应。XANES证实Cu−C2N和Zn−N4双位点共存及Zn、Cu原子间相互作用。

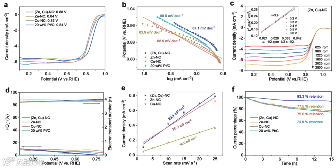
图三:(Zn,Cu)−NC的电催化ORR活性测试
(Zn,Cu)−NC在0.1 M KOH电解质中表现出优异的ORR半波电位、Tafel斜率、准四电子转移过程、较大的电化学反应面积与稳定性。

图四:(Zn,Cu)−NC的理论模型构建与DFT计算分析
图四(a-c)表明Zn、Cu原子之间存在明显的原子间相互作用。图四(d-f)证实Zn、Cu双原子位点的形成可以使O2在(Zn, Cu)−NC表面的吸附状态有效地向桥式吸附模式转变,高度活化O−O键,优化氧气吸附能,高效杂化O 2p轨道,从而提升ORR活性。

图五:以(Zn,Cu)−NC催化剂组装的(a-c)液态锌-空气电池与(d-j)准固态锌-空气电池性能
以(Zn,Cu)−NC组装的液态-锌-空气电池表现出163.8 mW cm–2的功率密度和785.7 mAh g–1的比容量。以(Zn, Cu)−NC组装的准固态锌-空气电池也表现出高于20 wt% Pt/C的功率密度(27.8 mW cm–2 vs. 18.4 mW cm–2)、比容量(257.9 mAh g–1 vs. 253.4 mAh g–1)、充放电循环稳定性及往返效率(67.8% vs. 55.3%)。

总结与展望
本文采用动态合成策略构筑了Zn、Cu原子对催化剂。得益于金属位点的高负载量与Zn、Cu双位点间的非共价相互作用,(Zn,Cu)−NC表现出0.88 V的ORR半波电位。以(Zn, Cu)−NC组装的液态和准固态锌空气电池均表现出更优异的实际工作效能和稳定性。XPS和EXAFS结果证实了Cu−C2N和Zn−N4双位点的共存以及Zn和Cu原子之间的非共价相互作用。DFT计算证实了Zn和Cu位点之间的非共价相互作用以及通过桥式吸附所增强的O−O键活化效应。综上,本工作构建的非共价相互作用的异核双原子催化剂是提高ORR性能的有效策略。该策略也有望用于构建其他双原子催化剂,实现非共价协同作用,提高电催化活性。

参考文献
Daijie Deng, Junchao Qian, Xiaozhi Liu, Hongping Li, Dong Su, Henan Li,* Huaming Li,and Li Xu,* Non-Covalent Interaction of Atomically Dispersed Cu and Zn Pair Sites for Efficient Oxygen Reduction Reaction, Adv. Funct. Mater. 2022, 2203471,https://doi.org/10.1002/adfm.202203471.

作者介绍
邓代洁,江苏大学化学化工学院博士研究生,研究方向为生物质衍生的非贵金属基电催化剂的设计与构筑及其在金属-空气电池中的实际应用。
李赫楠,博士,教授,博士生导师,齐齐哈尔人,无党派人士。主要研究方向:从事功能纳米材料的控制合成及其在光/电化学方面应用研究。(I)从事针对环境污染物及致病病毒的光电分析方法研究,聚焦光电传感界面的构筑及新型光电纳米材料在分析化学中的应用。(II)针对目前非贵金属催化材料在实际电池运行状态下低活性、低稳定性等问题,提出多级过渡金属基电催化剂,探索构筑高性能金属空气电池阴极催化剂及电极结构的有效方法。近五年,共发表SCI论文80余篇;主持完成国家自然科学基金1项、省部级基金1项;主持在研国家自然科学基金面上项目1项。2021年,获中国石油和化学工业联合会科技进步二等奖。授权发明专利5件,成果转化3项。
徐丽,博士,副研究员,硕士生导师,重庆人,江苏大学能源研究院化学能源研究所所长。围绕功能纳米材料的控制合成及其在空气电池领域深入开展高效氧还原反应电催化材料方面开展研究工作。近年来,发表SCI论文150余篇,ESI高被引论文10篇;授权发明专利9项,成果转化3项。目前主持完成国家自然科学基金1项、省部级基金2项、市厅级基金2项;主持在研省部级基金2项。2018年获批江苏省六大人才高峰资助项目A类资助。2018年获海南省科技进步奖一等奖1项,2021年获中国石油和化学工业联合会科技进步奖二等奖1项。

课题组介绍
https://nyyj.ujs.edu.cn/info/1017/1090.htm
https://chem.ujs.edu.cn/info/1246/8463.htm
声明
本文仅供科研分享,不做盈利使用,如有侵权,请联系后台小编删除
“邃瞳科学云”直播服务
“邃瞳科学云"平台正在收集、整理各类学术会议信息,欢迎学会、期刊、会议组织方择优在邃瞳平台上进行线上直播,希望藉此帮助广大科研人员跨越时空的限制,实现自由、畅通地交流互动。欢迎老师同学们提供会议信息(会有礼品赠送),学会、期刊、会议组织方商谈合作,均请联系翟女士:18612651915(微信同)。
投稿、荐稿、爆料:Editor@scisight.cn
扫描二维码下载
邃瞳科学云APP

