01
嘉宾简介
02
报告内容
背景
摘要
彭老师首先回顾了科学的定义和化学的起源,接着用量子化学的观点分析了氢原子和氧原子的电子结构,用分子轨道理论分析了H2O分子的结构,最后分析了影响分子间相互作用强弱的因素,讨论了水作为溶剂的性质。
水,也就是H2O
1、科学的定义和化学的起源
彭老师在讲座的开始指出,科学教育不应当是寻找标准答案的过程,科学也不是绝对真理,而是永远在被检验和被怀疑当中进步的。从这个角度讲,纯粹的科学家,甚至应当是怀疑论者(与波义耳所著《怀疑论的化学家》相契合),但是这种怀疑不能是空穴来风,要建立在对科学深刻理解的基础上。
老师以水的蒸发过程为例,展示被普遍接受的科学图像可能是错误的,同时指出单纯用物理的眼光分析物质世界是行不通的。在描述水的蒸发时,许多人接受这样的说法:在温度较低时,液相水中大多数水分子的动能不足以克服势能,无法从液相中挣脱出去,蒸发比较慢;而温度较高时,液相水中大多数水分子可以克服势能而进入气相,蒸发变快。按这种描述推算,水的正常沸点应当在10000℃左右,显然与事实相悖。这种物理描述忽略了超多分子系统独特的物质结构规律,而仅仅关注了分子间相互作用,也就是仅仅基于能量认识世界。
老师由此引出了化学学科的起源。在物理学科早期的牛顿—伽利略框架中,物理学科描述物质的相互作用以及相互作用之后的物质运动,而对于物质本身的结构属性则很少涉及,只用质量来描述物质的多少。在这个基础上,波义耳提出建立一个研究“物质观”的学科,这个学科要建立在严密实验基础上,也就是化学学科。
一个学科的创立总要从一些可实证的基本变量入手,化学学科的第一个可实证基本变量是元素。按照波义耳的定义,元素是不能用化学方法分解的最简单物质。水在元素的探索上也起到重要作用:传统上,古中国和古希腊都把水作为组成世界的基本“元素”之一。卡文迪许通过放电实验证明水由氢气和氧气化合而成。在实验上,卡文迪许证明了水不是一种元素,可惜受燃素论影响,他没能清晰地得出这一结论,而是把相关实验的解释建立在“燃素”概念上。拉瓦锡更正了燃素论观点后,人们最终确立水不是一种元素,而是一种化合物。
2、氢原子和氧原子的电子结构
化学家对物质结构的认识是不断发展的,随着微观粒子波粒二象性的发现,人们开始以全新的视角认识原子和电子的结构。作为现代化学的学习者,用波粒二象的视角认识原子结构是十分必要的。
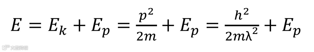
老师首先从一维势阱模型出发,介绍薛定谔方程的意义。首先,由德布罗意描述物质波的方程可以做如下推导:
常用三角函数描述波动,物质波的波函数形式如下:
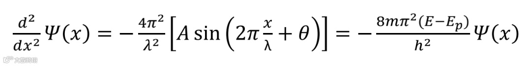
在一维势阱中,由于要求势阱两端的波函数振幅为零,电子应当以驻波形式存在,具有一系列量子化的定态,即上述波函数中的各个参数与时间无关。对上述波函数求二阶导:
整理得:
这就是一维薛定谔方程,三维的薛定谔方程可通过相同的思路推得。
从方程的推导过程可以看出,这一方程实际上是定态物质波需要满足的条件。方程解的量子化来自于边界条件,而不是此方程的必然结果。物质波波函数的一个特点是:归一化后波函数各点振幅恒定,正恒正、负恒负,而机械波则可能随时间变化。
氢原子和氧原子的电子波函数与上述函数相似,只不过势场变成了球形势场。为了方便,一般用球坐标系来描述。此外,氧原子中电子的能量受主量子数和自旋量子数共同决定。
老师最后对波函数做了小结:
(1)波函数的模平方可理解为电子出现的概率
(2)总概率需要等于一
(3)角度波函数决定相位
(4)波函数的对称性由下角标给出(如3dxy中的xy)
3、分子轨道的基本思路和关于H2O结构和性质的讨论
老师首先指出,氢原子的2s轨道没有电子,但是轨道仍然存在。就是说,轨道不是电子本身的性质,而是原子核量子化的电磁场的表现。当两个原子核接近时,两个电磁场会发生叠加,且这种叠加可以在一定范围内做线形近似。因此,可以把原子价层电子轨道进行线性组合,得到分子轨道。这就是分子轨道的基本思路。
对水分子结构的传统认识基于杂化轨道理论:氧原子sp3杂化轨道两个未成对电子与两个氢原子的1s轨道电子成两根σ键,另外两个sp3杂化轨道填充两对孤对电子。这样的图像有两处不妥:一是氧原子2s和2p的能极差相差16.5 eV,二者杂化如何实现?二是前面分析出的定态解只有2s和2p,氧原子如何做到在成键时主动杂化成这一状态?
通过紫外光电子能谱(UPS)实验,可以看出氧原子四个电子轨道的能量完全不同,有一个非键轨道、三个成键轨道,每个成键轨道都有三个原子的参与。
图1 UPS给出的水分子轨道能量和分子轨道图像
水分子分子轨道的构建,可以用半定量的群轨道方法来完成。该方法本质上基于对称性匹配,首先把水分子分为中心原子轨道(氧的价电子轨道2s和三个2p)和两个氢原子构成群轨道。如下图所示,将对称性匹配的群轨道-中心原子轨道归为一组,每一组原子轨道(包括群轨道)都产生数目相等的分子轨道,最后按照能量高低排列,包括成键轨道、非键轨道和反键轨道。分析的结果与UPS实验结果相符。
图2 从对称性匹配出发组合分子轨道
右侧最下方的轨道是两种组合方式的叠加
老师接着用分子轨道理论讨论了水分子的几何构型和组成两个问题。
为什么水分子是钝角三角形而不是直线构型?这是因为按照分子轨道理论分析,直线构型的水分子只有两个成键轨道,填充电子后的能量要高于钝角三角形构型。(如下图)
图3 水分子原子核几何排布为钝角三角形和直线情形的对比
为什么水分子不是H3O、H4O?以H4O为例,用分子轨道理论分析,H4O的键级为3,如果发生分解反应生成H2O+H2,则有四个键级(H2O键级为3、H2键级为1),因此H4O是不稳定的。但是,失去两个电子的H4O2+键级为4,是稳定的,同理H3O+也是稳定的,这就在一定程度上解释了氢键的形成机理。
图4 H4O的分子轨道
图5 一些分子的永久偶极矩、静电介电常数和沸点数据
在上述讨论的基础上,老师提出了频率匹配影响相互作用强度的说法。自身易于形成永久偶极的分子与产生静电-低频电场的分子会产生较强的相互作用,自身易于形成瞬间偶极的分子与产生高频电场的分子会产生较强的相互作用。
比如,NaCl的晶格能实际上要大于许多有机化合物中常见共价键的键能(晶格能为769 kJ/mol,乙烷中碳碳单键键能为376 kJ/mol),但是易溶于水,说明两种离子的水合能较大。这可以解释为Na+和Cl-的变形性比较小,与静电-低频电场相匹配,而水分子本身相互作用特征正是静电-低频电场,因此离子与水分子的相互作用较强。再比如,LiF的溶解度要小于LiBr的溶解度,可以做如下解释:Li+的变形性极小,不易激发高频电场。F-与Br-相比的变形性要小很多,因此F-更适合静电-低频电场,LiF的离子键更强、溶解度更小。相比之下,Br-更适合高频电场,离子键更弱,溶解度更好。
03
问答环节
04
写在最后
如果深入思考,许多常见的化学现象也可以是很深刻的。生活中最常见的溶剂—液态水的结构,甚至被列入了2005年Science发布的125个悬而未决的科学问题(So Much More to Know. Science, 2005, 309, 78-102.)。液态水当中的每一个水分子都无法和其他水分子区分开吗?水结冰的微观图像是怎样的?水结构受其它分子影响发生怎样的变化?从单纯的科学求知欲角度看,我们的生活中从来不缺少值得探索的科学问题。
05
主要参考文献
本次总结参考了彭笑刚老师尚未出版的《大学化学讲义》书稿。
供稿 | 杨子毅
摄影 | 谭臻至
审核 | 彭笑刚
声明
本文仅供科研分享,不做盈利使用,如有侵权,请联系后台小编删除
“邃瞳科学云”直播服务
“邃瞳科学云"平台正在收集、整理各类学术会议信息,欢迎学会、期刊、会议组织方择优在邃瞳平台上进行线上直播,希望藉此帮助广大科研人员跨越时空的限制,实现自由、畅通地交流互动。欢迎老师同学们提供会议信息(会有礼品赠送),学会、期刊、会议组织方商谈合作,均请联系翟女士:18612651915(微信同)。
投稿、荐稿、爆料:Editor@scisight.cn
扫描二维码下载
邃瞳科学云APP

