

过渡金属催化的C-N和C-O交叉偶联反应是重要的有机合成反应,通常通过M(0)/M(II)氧化还原循环催化完成。其中,钯催化的反应占主导地位。近年来,人们开始关注使用更可持续元素来改进这些反应。尤其是基于镍催化的研究引起了广泛关注。一些最新研究尝试模仿低价态两电子氧化还原循环,设计了各种基于磷或N-杂环卡宾的优雅配体类别,实现了高效催化。然而,MacMillan和Buchwald的报道挑战了这种普遍的低价态氧化还原范式,他们报道了一种镍催化的C-N键形成反应,无需辅助配体,使用光催化剂和光照射。该研究揭示了高价态Ni(III)物质的生成,这些物质促进了快速的C-N还原消除反应。这一新颖的方法吸引了广泛的研究兴趣,并导致了许多相关报道的涌现,从而拓展了其机理的理解和应用范围。然而,使用富电子芳基(伪)卤化物作为偶联配偶体仍然是一个挑战。由于没有辅助配体的存在,低价态镍配合物对富电子芳基卤化物的氧化加成反应速率较慢,导致镍物种的聚集和失活。目前尚未报道针对此问题的一般解决方案。

图 1:C-杂原子耦合的最新技术。a,典型的低价两电子交叉偶联与高价 Ni I/III氧化还原循环。b,富电子芳基卤化物:反复出现的限制。c,本工作:用于富电子和中性芳烃的 C-N、C-O 和 C-S 偶联的通用无配体镍催化平台。EDG,给电子基团。
鉴于此,Tobias Ritter团队报道了一种镍催化的芳基噻蒽鎓盐的C-杂原子键形成反应,包括胺化、氧化、硫化和卤化等反应。由于芳基噻蒽鎓盐的氧化还原性质主要由噻蒽鎓决定,因此可以在光照射下使用简单的NiCl2进行高富电子芳基供体的氧化加成反应,从而形成所需的C-杂原子键。该方法在室温下操作,不需要辅助配体,适用于各种大型和密集功能化亲核试剂与噻蒽鎓片段的偶联,从而在后期环境中快速生成复杂分子结构。选择性C-H官能化与富电子和电子中性芳烃的实用且广泛适用的交叉偶联方案相结合,使该方法与已知的镍催化的C–杂原子键形成反应相辅相成,为该领域的发展提供了新的途径。相关成果以“C–heteroatom coupling with electron-rich aryls enabled by nickel catalysis and light”为题发表在Nature Catalysis上。(2024年4月25日,Tobias Ritter团队在Science上发表了题为“Nitrate reduction enables safer aryldiazonium chemistry”的研究成果)。
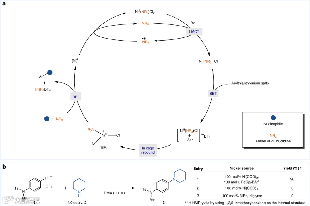
在2 mol% NiCl2·6H2O催化下,ArTT盐1与哌啶2在蓝色发光二极管 (LED) 光照射下发生反应,在25°C和16 h产生产率接近定量的N , N -二甲基乙酰胺3 ( DMA)作为溶剂。研究表明,光是必需的,NiBr2·二甘醇二甲醚也是一种有效的催化剂。此外,富电子和中性ArTT盐可以以50–93%的产率转化为产品,如表1b所示。
表1反应进展和ArTT盐的胺化范围:a,发现和优化;b,ArTT盐的胺化范围。

表2显示了多种N-亲核试剂的在反应条件下表现良好,包括伯烷基胺、仲烷基胺、苯胺、磺酰胺和酰胺。不同环大小的环状二级胺、α-甲基取代的吡咯烷、N -Boc保护的哌嗪、吗啉以及稠合或螺环胺、嘧啶胺和苯并异噻唑胺也兼容。对于二甲胺,可得到80%的产率,而具有较大空间位阻的直链仲胺的产率降低。添加BTMG、更换镍源和白光LED可以提高伯胺的产率。环丙胺、炔丙胺、α-CF3取代的烷基伯胺和含有呋喃环的伯烷基胺也可参与反应,产率为40–89%。此外,该反应条件下可以容忍Pd催化胺化反应中易发生副反应的官能团的底物,如烯烃(Heck)和硼酸酯(Suzuki)。
表2 氮亲核试剂的胺化范围。
本工作所开发的催化剂系统可以扩展到使用 MeOH 作为亲核试剂的药用甲氧化反应。含有烷基、卤素、酰胺、杂环和酯的简单和高度官能化的 ArTT 盐都可以参与该过程。其他伯醇和仲醇以及酚类也可以参与反应,生成的主要副产物是加氢脱官能化化合物。以前的ArTT盐与甲醇的反应不是催化反应,且需要化学计量的铜。此外,卤代反应需要使用非均相锌粉来形成Ni(I)催化剂,限制了规模化应用。这项研究克服了这些限制,提供了跨氮、氧和硫亲核试剂的统一方法。
表3 对其他C-X键形成的扩展。a,C-O键形成的范围;b,使用pyriproxyfen−TT 75扩展到C−X键的形成。
通过对两种药物分子进行克级片段耦合,验证了本工作方案的可扩展性。研究表明,可以从78的噻蒽鎓反应开始,然后进行胺化和亲核取代 (SN2) 反应,将合成步骤精简为三步,并使用更便宜的起始原料(图2b)。

图 2:合成应用。a,片段耦合的克级制备过程。TT,噻蒽。b,替代逆合成策略。
本工作提出如图3a所示Ni催化C-X键形成的机理。Ni(I) 物质在光照射下通过配体到金属的电荷转移 (LMCT) 过程从简单的 Ni(II) 盐生成的。当1和2的混合物与Ni(COD)2 (100 mol%)和单电子氧化剂FeCp2BArF (100 mol%)在黑暗中结合时,C-N键产物3的产率为90%。然而,在无光照射下,仅存在 Ni(0) [Ni(COD)2 ] 或 Ni(II) (NiBr2·二甘醇二甲醚) ,不会产生任何目标产物,并且1仍未反应。研究结果揭示了光的必要性和Ni(I)的关键作用,为C-X键形成提供了机理洞见。

图 3:机理研究。a、提出的机理。RE,还原消除。b,无光照条件下与化学计量的镍实验。
本文报道的Ni(I)催化的C-杂原子键形成是一种基于简单镍盐将富电子芳基亲电试剂纳入镍光氧化还原催化的通用方法。通过一种完全不同的SET氧化加成过程,噻蒽鎓盐为偶联富电子芳基(伪)卤化物提供了解决方案。Ni(I)/Ni(III)氧化还原循环的结合似乎非常适合ArTT盐的电子结构,并且相较于以前的反应发展提供了根本性的进步。通过与位点选择性的C−H 噻蒽鎓反应相结合,该研究为后期多样化提供了一种独特的方法。
欢迎关注我们,订阅更多最新消息
“邃瞳科学云”推出专业的自然科学直播服务啦!不仅直播团队专业,直播画面出色,而且传播渠道多,宣传效果佳。
“邃瞳科学云"平台正在收集、整理各类学术会议信息,欢迎学会、期刊、会议组织方择优在邃瞳平台上进行线上直播,希望藉此帮助广大科研人员跨越时空的限制,实现自由、畅通地交流互动。欢迎老师同学们提供会议信息(会有礼品赠送),学会、期刊、会议组织方商谈合作,均请联系潘经理:18612651915(微信同)。
投稿、荐稿、爆料:Editor@scisight.cn