
第一作者:方雪
通讯作者:唐幸福,刘晰,马臻
通讯单位:复旦大学,上海交通大学,复旦大学
论文DOI:https://doi.org/10.1021/acs.est.4c02997
选择性催化还原(selective catalytic reduction, SCR)技术是控制大气污染物氮氧化物(NOx)排放最有效的手段。环境友好的铈基SCR催化剂被认为是具有生物毒性的钒基催化剂最有潜力的替代品,然而铈基催化剂容易因烟气中的SO2中毒失活,使其应用受到极大限制。本文通过空间限制将Ce1+1原子对锚定在锐钛矿TiO2(001)表面的不同位点上,开发了一种强抗硫Ce1+1/TiO2催化剂。实验和理论计算结果表明,Ce1+1原子对之间的强电子相互作用调控催化剂最低未占据态能量,使其高于SO2的最高占据分子轨道(HOMO)但略低于NH3的HOMO,使得Ce1+1/TiO2具有SCR所需的NH3活化能力的同时抑制SO2氧化。因此,相对于单原子Ce1/TiO2,Ce1+1/TiO2在低温下表现出更高的SCR活性和优异的抗硫稳定性。
尽管V2O5-WO3(MoO3)/TiO2SCR催化剂被广泛应用于大气污染物NOx的排放控制,但是因为V具有不可忽视的生物毒性,因此寻找环境友好的SCR活性组分取代V仍然是该领域的研究热点。CeOx因能实现Ce4+ ↔ Ce3+快速转变使其具有优异的释氧/储氧能力和氧化还原性能,在SCR反应中显示出优异的活性,因此被认为是传统钒基催化剂最好的替代品。然而,铈基催化剂容易因烟气中的SO2中毒失活,使其应用受到极大限制。因此,增强铈基催化剂抗硫性能十分重要。在本课题组的前期工作中,我们发现CeOx颗粒尺寸减小到4 nm以下时CeOx颗粒显示出非体相电子态,使得CeOx最低未占据态能量上移至高于SO2的HOMO,从而抑制SO2电子向催化剂转移。因此,降低CeOx尺寸至原子级或使得铈基催化剂实现优异的抗硫性。此外,在我们的前期研究中证明高效的SCR反应要求催化剂具有双核结构以提供酸性-氧化还原性活性位。因此,构建Ce原子对以增强铈基催化剂SCR活性和抗硫性或是一种有效的策略。
1. 构建Ce1+1/TiO2模型催化剂,排除晶面效应和形貌效应等对催化剂性能的影响,阐明催化剂结构与性能的关系。
2. 结合实验结果和DFT计算,证实了原子配对引起的电子协同作用对Ce1+1/TiO2的SCR活性和抗硫性的促进作用。
3. 提出Ce1+1/TiO2的抗硫机理,即原子配对调控催化剂最低未占据态能量高于SO2的HOMO,从而抑制SO2的氧化,提高铈基催化剂的抗硫性。
通过水热过程Ce原子自组装成原子对将Ce1+1原子对活性位锚定在TiO2(001)表面,两个Ce原子之间的间距约为3.0 Å,如图1(a)和(b)所示。如图1(c)所示,进一步通过DFT理论计算模拟了TiO2(001)表面可能形成的不同的Ce1+1原子对结构,发现只有当Ce1+1原子对中一个Ce原子锚定在TiO2(001)表面配位氧空心位点,而另一个Ce取代相邻的Ti进入表面晶格时可以获得电镜结果中所示的原子间距约为3.0Å的Ce1+1原子对结构。通过浸渍法成功制备Ce单原子催化剂Ce1/TiO2,如图1(d-f)所示。XRD结果进一步验证了两个催化剂几何结构的差异性。如图1(g)和(h)所示,在TiO2表面锚定单原子Ce以后,Ce1/TiO2所对应的TiO2(004)晶面衍射峰相较于载体没有发生变化,而Ce1+1/TiO2所对应的TiO2(004)晶面衍射峰向低角度偏移。说明在Ce1+1/TiO2结构中离子半径更大的Ce离子取代Ti离子进入晶格。

结合Ce M4-edge的XAS能谱与DFT计算对催化剂的电子结构进行了分析。如图2(a)所示,Ce M4-edge的结果显示Ce1+1/TiO2表面Ce主要为Ce4+,而Ce1/TiO2呈现出明显的Ce3+特征。进一步通过DFT计算获得了不同结构中Ce的电子态密度(PDOS),如图2(b)所示。结果表明不管是表面还是晶格中的Ce,相比于单原子,Ce1+1原子对中的两个Ce最低未占据态(LUS)能量均向高能偏移。LUS能量影响催化剂得电子能力,即氧化能力。更高的LUS能量会抑制SO2电子向SCR催化剂活性位点转移,从而抑制SO2的氧化,提高催化剂抗硫性能。

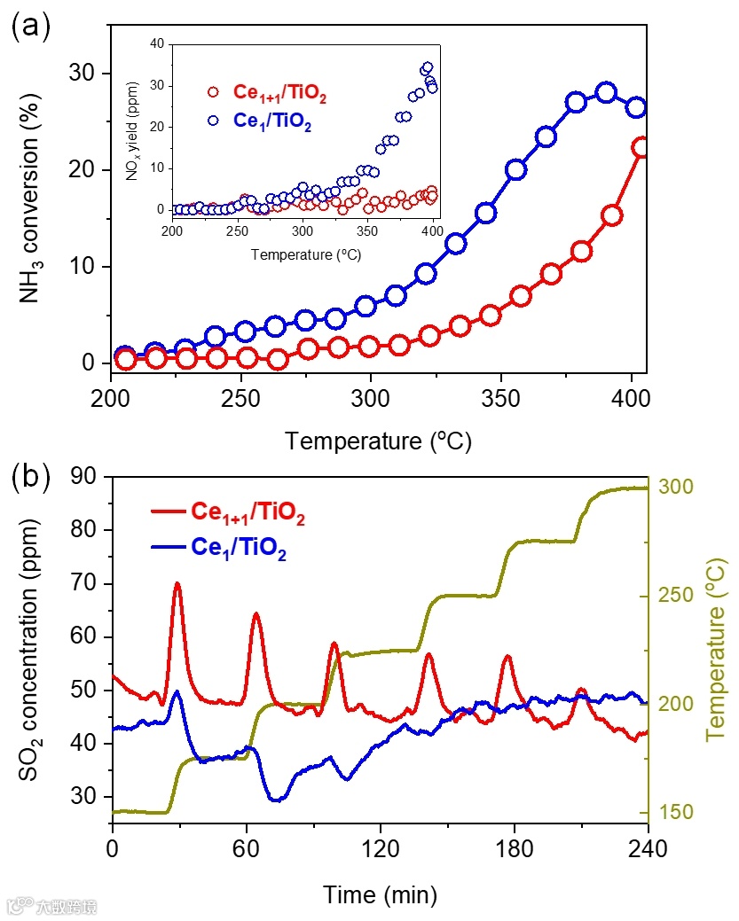
通过NH3氧化和SO2氧化实验进一步探究催化剂的氧化性能。如图3(a)所示,相较于Ce1/TiO2显示出过度的NH3氧化能力,Ce1+1/TiO2虽然表现出更低的NH3氧化活性,但是产物中没有NOx的产生,说明Ce1+1/TiO2具有优异的NH3选择性催化氧化性能。如图3(b)所示,在SO2氧化过程中,随着温度升高,Ce1+1/TiO2表现出明显的SO2脱附行为,说明在Ce1+1/TiO2表面SO2主要是吸附而不是被氧化。相反地,随着温度升高,在Ce1/TiO2中观察到SO2出口浓度先减少后增加,这归因于SO2在Ce1/TiO2表面被氧化成SO3并进一步与Ce活性位反应生成金属硫酸盐,造成催化剂失活。催化剂的氧化能力与其电子结构密切相关,Ce1+1/TiO2中Ce原子配对调控LUS能量上移,使其高于SO2的最高占据分子轨道(HOMO)但略低于NH3的HOMO,从而表现出可选择性催化氧化NH3的同时抑制SO2的氧化。这种特殊的电子结构会有利于同时提高Ce1+1/TiO2的SCR活性和抗硫性。

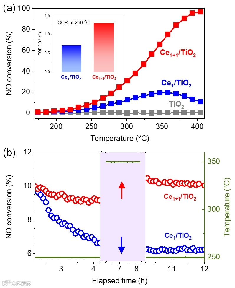
对催化剂的SCR活性和抗硫性能进行评价,结果分别如图4(a)和(b)所示。明显地,Ce1+1/TiO2具有显著优于Ce1/TiO2的SCR活性和抗硫性。如图4(b)所示,反应温度为250℃条件下通入SO2后,Ce1+1/TiO2短时间内NO去除率趋于稳定,而Ce1/TiO2持续失活。将反应温度升高至350℃加速催化剂的硫化,结果发现高温硫化后Ce1+1/TiO2活性恢复而Ce1/TiO2进一步失活。Ce1+1/TiO2显示出优异的抗硫稳定性。

进一步对Ce1+1/TiO2抗硫机理进行探究。首先,对抗硫测试前后不同催化剂的电子结构变化进行了比较,如图5所示。抗硫测试前后,Ce1+1/TiO2的Ce M4-edge结果几乎没有差异,说明SO2的引入对Ce1+1原子对活性位没有影响。相反地,Ce1/TiO2在抗硫测试后表面Ce4+显著减少,说明催化剂表面生成大量Ce2(SO4)3造成催化剂中毒。

SO2穿透实验结果如图6(a)所示。通入SO2以后,6 min内在TiO2载体和Ce1+1/TiO2上均观察到SO2的快速穿透,而Ce1/TiO2在通入SO2后60 min才出现SO2的缓慢穿透。对不同催化剂表面SO2吸附量进行计算,发现Ce1/TiO2的SO2吸附量为4.5 mg·gcat-1,是Ce1+1/TiO2的5倍以上(0.8 mg·gcat-1),说明在Ce1位点上产生大量金属硫酸盐,造成催化剂中毒。Ce1+1/TiO2显示出与TiO2载体几乎一致的SO2吸附量,说明Ce1+1/TiO2表面SO2主要吸附在载体上而不是Ce1+1活性位点上。这一结果也通过DFT计算模拟活性位上金属硫酸盐的形成过程进一步验证。如图6(b)所示,Ce1+1位点上形成金属硫酸盐的形成能为0.1 eV,而Ce1位点上金属硫酸盐的形成能为-3.0 eV,说明Ce1+1位点上不易形成金属硫酸盐,而Ce1位点极易被硫化失活。
本文提出一种通过构建Ce1+1原子对来提高铈基催化剂抗硫性的有效策略。原子配对诱导Ce1+1活性位点的电子协同作用,并调节其接收电子的能力,使Ce1+1/TiO2表现出合适的氧化能力。这促进了NH3的选择性氧化,抑制了SO2的氧化,赋予Ce1+1/TiO2高SCR活性和抗硫性。这项工作为开发抗硫铈基催化剂提供了一种新的策略,并为合理设计和开发环境友好的高效无钒SCR催化剂提供了新的思路。
Xue Fang, Tian Qin, Junxiao Chen, Zhen Ma*, Xi Liu*, and Xingfu Tang*. Atom Pairing Enhances Sulfur Resistance in Low-Temperature SCR via Upshifting the Lowest Unoccupied States of Cerium. Environ. Sci. Technol. 2024.
https://doi.org/10.1021/acs.est.4c02997
唐幸福,复旦大学教授,博士生导师。长期从事催化控制氮氧化物和挥发性有机物排放的基础研究。主要科研成果包括:提出了多相催化反应中的“电子离域机理”、证明高效SCR催化活性位结构特征、提出抗碱金属和硫酸氢铵中毒催化剂的设计机理、发明“热扩散合成法”制备单原子催化剂等,在Chem、Nat. Commun.、Angew. Chem. Int. Ed.、Environ. Sci. Technol.等主流杂志发表SCI论文80余篇,他引超过4000次。研究成果得到了Nature Communications Editors’ Highlights、Nature China、Chemical & Engineering News和ChemistryViews等专题报道。近年主持国家重点研发计划子课题、国家基金面上项目、国际合作研究基金、上海市自然科学重点基金项目和教育部新世纪人才计划等多项重点项目,形成了以大气污染控制化学为基础研究的科学体系。
刘晰,上海交通大学教授,博士生导师,上海市显微学学会理事,北京海外高层次人才。本科毕业于中国科技大学,2008年在德国马普协会Fritz-Haber Institute获得博士学位。2009-2014年作为副研究员在英国卡迪夫大学卡迪夫催化中心从事催化剂的研发、透射电镜在催化中的应用、以及原位催化表征方法学的开发等方面的研究。2014-2015年作为研究员在丹麦技术大学纳米电镜中心工作,应用原位电镜研究异相催化反应。2015-2019年作为研究员工作于中科合成油技术有限公司Syncat@Beijing国际实验室,专注于用于异相催化的原位透射电镜设备的搭建和应用。2019年入职上海交通大学化学化工学院,在物质科学原位中心负责原位显微实验室和谱学的建设和使用。作为通讯作者或第一作者在Science、Chem、Nat. Commun.和Angew. Chem. Int. Ed.等杂志发表学术论文40多篇。
马臻,复旦大学教授,博士生导师。主要研究方向为环境催化,侧重于用金催化剂、过渡金属氧化物和其他纳米结构催化剂脱除空气污染物。已在Chem. Soc. Rev.、J. Am. Chem. Soc.、Angew. Chem. Int. Ed.、Nat. Commun.、Adv. Mater.、Appl. Catal. B、ACS Catal.等学术期刊和学术专著发表学术论文210多篇,论文被引用7700多次。
欢迎关注我们,订阅更多最新消息
“邃瞳科学云”推出专业的自然科学直播服务啦!不仅直播团队专业,直播画面出色,而且传播渠道多,宣传效果佳。
“邃瞳科学云"平台正在收集、整理各类学术会议信息,欢迎学会、期刊、会议组织方择优在邃瞳平台上进行线上直播,希望藉此帮助广大科研人员跨越时空的限制,实现自由、畅通地交流互动。欢迎老师同学们提供会议信息(会有礼品赠送),学会、期刊、会议组织方商谈合作,均请联系潘经理:18612651915(微信同)。
投稿、荐稿、爆料:Editor@scisight.cn