大数跨境
0
0

杰青团队最新Nature Chemistry!不对称光氧化还原催化

杰青团队最新Nature Chemistry!不对称光氧化还原催化 邃瞳科学云
2024-04-03
0
导读:本文提出的“敏化启动电子转移”策略,以手性催化剂作为共敏剂可以解决一些本来热力学不利的反应,并且可以更好地参与立体中心的构建,为不对称光氧化还原催化平台增加了一种新型的合成手段


可见光介导光氧化还原催化是现代有机合成的重要策略。然而,光敏剂本身有限的氧化还原电势将不可避免地限制它们的发展和应用。河南师范大学江智勇教授团队提出了一个以DPZ作为可见光光敏剂,含芘基的手性磷酸作为共敏剂的敏化启动电子转移(SenIET)策略,克服了反应进程中由热力学不利带来的挑战,并成功地将这种策略应用在不对称De Mayo反应中,解决了长久以来De Mayo反应中的立体选择性问题。

2024年4月2日,相关成果“Asymmetric photoredox catalytic formal De Mayo reaction enabled by sensitization-initiated electron transfer”发表在Nature Chemistry期刊上。论文通讯作者是江智勇教授,第一作者是河南大学2022级博士生孙鑫

可见光介导的光氧化还原催化是现代自由基化学中一种温和并且可持续的方法。在构建小分子和聚合物方面有着广泛的应用,对于药物、催化和功能材料至关重要。在当前光氧化还原催化机理研究中,光敏剂需要身兼两职,即一方面作为吸收可见光的能量捕获分子,另一方面被激发后与底物(或中间体)发生两次单电子转移,最终实现氧化还原催化。然而光敏剂固有的氧化还原电位范围一般较小,导致所能适用的底物类型及反应类型受到限制。针对上述科学挑战,König等提出了“敏化启动电子转移(SenIET)”光氧化还原催化合成策略,实现了在热力学上不利的自由基反应。但是,进一步发展出高效且通用的SenIET反应模式,以推动其成为解决热力学不利反应的一般性工具,仍然具有科学上的吸引力和实践上的挑战性。

图1:研究背景和反应设计。

De Mayo反应于1962年被报道并广泛用于1,5-双羰基化合物的构建且被应用于萜烯、生物碱等天然产物全合成。De Mayo反应大多通过紫外光激发或者能量转移敏化使1,3-二羰基底物被激发成三线态(图1D)。由于产生三线态物种无需手性催化剂参与,在不对称合成研究中会存在难以抑制的强烈消旋背景反应,因此不对称De Mayo反应成为长达60余年的科学难题。作者认为烯醇的还原性可被认为是一个潜在的电子供体,参与光氧化还原过程,实现不对称De Mayo反应(图1E)。尽管反应底物中的酮羰基具有较低的氧化能力,其对常见的光氧化还原催化剂构成了挑战,但它却为评估SenIET方案在可见光照射下的可行性提供了一个试验平台。在此,作者利用DPZ作为光敏剂,C1作为手性催化剂和共敏剂,通过构建基于SenIET的光氧化还原催化方案,实现了不对称De Mayo反应(图1F)。

图2:反应条件优化。

表1:1,3-二酮与富电子烯烃的转化。表格来源:Nat.Chem.

表2:1,3-二酮与电子中性和弱缺电烯烃的转化。

首先,作者选择12作为模型底物进行了研究。并进一步优化条件,在-50 °C时,以92%的收率和91% e.e.得到产物3(条目4,图2B)。随后在最佳条件下,作者对反应的底物范围进行了拓展(表1和2)。底物范围比较广泛(92个实例),其中烯烃包括了各种非环状及环状烯胺、烯醚等富电子烯烃、非环状及环状α-取代或非取代中性烯烃、环状内烯烃等,实现了羰基α-位二级 C−N、二级 C−O、三级 C−X(卤素)、三级C−CF3、三级 C−N、三级 C−O、叔碳、全碳季碳、连续叔碳、连续叔碳和全碳季碳的高对映选择性和非对映选择性的构筑。

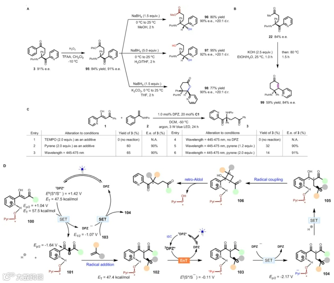
图3:合成应用和机理研究。

作者提出的“敏化启动电子转移”策略,以手性催化剂作为共敏剂可以解决一些本来热力学不利的反应,并且可以更好地参与立体中心的构建,为不对称光氧化还原催化平台增加了一种新型的合成手段,这一策略可以促进不对称有机催化在可持续自由基化学领域的广泛应用,成为服务于医药、材料领域发展的有力工具。

相关论文信息:
https://doi.org/10.1038/s41557-024-01502-3

声明

本文来源:小柯化学,仅用于学术分享,如有侵权,请联系后台小编删除
欢迎关注我们,订阅更多最新消息

“邃瞳科学云”直播服务


“邃瞳科学云”推出专业的自然科学直播服务啦!不仅直播团队专业,直播画面出色,而且传播渠道多,宣传效果佳。
“邃瞳科学云"平台正在收集、整理各类学术会议信息,欢迎学会、期刊、会议组织方择优在邃瞳平台上进行线上直播,希望藉此帮助广大科研人员跨越时空的限制,实现自由、畅通地交流互动。欢迎老师同学们提供会议信息(会有礼品赠送),学会、期刊、会议组织方商谈合作,均请联系王女士:18612651915(微信同)。


投稿、荐稿、爆料:Editor@scisight.cn

扫描二维码下载

邃瞳科学云APP

点分享
点收藏
点点赞
点在看

【声明】内容源于网络
0
0
邃瞳科学云
邃瞳科学云是一个百家争鸣的个性化学术传播平台。依托新媒体矩阵,小程序及APP等完整产品线,在开展专业性的学术活动的同时,还致力于科普教育和科学传播,更自由、重分享。 格物致知,光被遐荒。Meet Your Science!
内容 8582
粉丝 0
邃瞳科学云 邃瞳科学云是一个百家争鸣的个性化学术传播平台。依托新媒体矩阵,小程序及APP等完整产品线,在开展专业性的学术活动的同时,还致力于科普教育和科学传播,更自由、重分享。 格物致知,光被遐荒。Meet Your Science!
总阅读769
粉丝0
内容8.6k