
北京时间2022年4月28日,北京工业大学、南开大学和爱尔兰利默瑞克大学的研究者们合作在Nature Materials上发表了题为“Trace removal of benzene vapor using double-walled metal-dipyrazolate frameworks”的论文。
在这项研究中,作者通过调控孔尺寸和孔环境,产生苯分子的强结合位点与有效限域,使金属有机框架(MOFs)吸附剂能够捕获痕量苯蒸气,有望用于苯污染空气的净化和环境修复。
论文通讯作者为李建荣、聂祚仁和Michael J. Zaworotko教授;第一作者为何涛、孔祥婧博士。
包括苯在内的挥发性有机化合物(VOCs)是一类可导致室内和室外空气污染的有毒污染物,即使在痕量浓度下也可能会引起严重的环境和健康问题。目前从空气中去除苯的方法包括等离子氧化、光催化氧化、活性炭吸附等。由于吸附剂使用方便、循环利用能耗较低,物理吸附是去除污染空气和工业废气中VOCs的良好选择。然而,驱动物理吸附的非共价作用力往往较弱,因此设计可在低浓度条件下高效吸附苯的吸附剂具有挑战性。
金属-有机框架(Metal-organicframework, MOFs)是一类具有高比表面积且结构/功能容易调节的新型分子基多孔材料,在气体吸附储存/分离等领域有广阔的应用前景,目前已有用于VOCs去除的研究。MOFs与芳香族VOCs(如苯)之间通常只存在较弱的作用力,在低压条件下对VOCs的吸附能力较弱。尽管一些MOFs在相对高压下(10 kPa以上)对VOCs的吸附量很高,但这并不太适合评估MOFs对空气中痕量VOCs的吸附性能。一些只在相对高压下具有高VOCs吸附量的MOFs在实际空气净化中的表现并不理想。另一方面,除良好的吸附能力外,高稳定性是MOFs在诸多领域应用的先决条件,但许多MOFs的水及热稳定性较差,难以长时间保持结构及吸附性能稳定。此外,潮湿条件下水蒸气与VOCs的共吸附现象也会降低其吸附性能。
北京工业大学相关科研团队在稳定MOFs构筑及污染物吸附/去除系列研究成果(Nature Commun. 2013, 4:1538; J. Am. Chem. Soc. 2016, 138, 6204; Chem 2018, 4, 1911; Acc. Chem. Res. 2021, 54, 3083; Engineering 2021, 7, 1115)的基础上,与爱尔兰利默瑞克大学、南开大学的研究团队合作,构筑了一系列双壁吡唑MOFs材料(BUT-53 ~ BUT-58),它们具有多样的孔尺寸和孔环境,能够实现空气中ppm级浓度苯蒸气的高效捕获,在苯污染空气的净化和环境修复等领域展现出良好的应用潜力(图1-3)。
图1:采用分子化学工程策略构筑BUT-53 ~ BUT-58。
图2:苯吸附性能。
苯蒸气吸附实验结果表明,BUT-53 ~ BUT-58均在298 K、10 Pa以下的压力对苯有较高的吸附量(> 2 mmol g−1)。为了评估材料从环境空气中捕获痕量苯的能力,作者进行了动态气体突破实验,包括干燥条件下、相对湿度50%和80%的多组对照实验。结果表明,相对于干燥条件下,BUT-53、BUT-54、BUT-56和BUT-57在相对湿度为50%及80%的突破性能有所降低,而湿度对BUT-55和BUT-58的性能影响较小,二者皆能保持较高的苯吸附能力。特别是BUT-55在干燥及相对湿度为50%的条件下,穿透时间可达8000 h g−1。
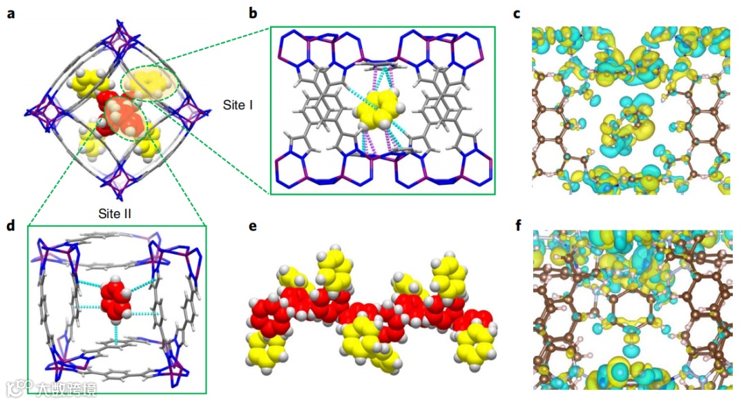
图3:C6H6@BUT-55的SCXRD结构和DFT计算。
为了研究BUT-53 ~ BUT-58高效捕获苯蒸气的吸附机理,作者解析了多个客体负载相的单晶结构,结果表明,捕获苯分子前后框架结构无明显变化,被吸附的苯分子有两种结合位点:一种(黄色)位于相邻两对BDP2−配体和两个Co(pz)2单元之间的空腔中;另一种(红色)位于成对的BDP2−配体之上。框架-客体和客体-客体之间通过多重C-H…X相互作用实现了框架对苯的强吸附作用。为了进一步理解材料的吸附行为,作者进行了DFT计算,结果表明苯分子与I位点的相互作用更强。此外,单晶结构显示,水分子也会优先吸附在I位点;但当苯和水共存时,由于具有更强的相互作用,苯分子会被优先吸附。因此,水分子的存在对BUT-55的吸附性能影响较小。
通过客体分子与框架之间的多重非共价相互作用(包括CH…X相互作用),该研究实现了利用MOFs吸附剂从空气中选择性捕获痕量苯,并且具有高吸附量和长突破时间的优势。即使在潮湿条件下,BUT-55也具备基本完全去除空气中痕量苯的能力,有望用于空气净化与环境修复。
相关论文信息:
https://doi.org/10.1038/s41563-022-01237-x
声明
本文来源小柯化学,仅供科研分享,不做盈利使用,如有侵权,请联系后台小编删除
“邃瞳科学云”直播服务
“邃瞳科学云"平台正在收集、整理各类学术会议信息,欢迎学会、期刊、会议组织方择优在邃瞳平台上进行线上直播,希望藉此帮助广大科研人员跨越时空的限制,实现自由、畅通地交流互动。欢迎老师同学们提供会议信息(会有礼品赠送),学会、期刊、会议组织方商谈合作,均请联系翟女士:18612651915(微信同)。
投稿、荐稿、爆料:Editor@scisight.cn
扫描二维码下载
邃瞳科学云APP

