
第一作者:于海玲,王才奇,辛欣
通讯作者:李圣刚,林铁军,钟良枢
通讯单位:中国科学院上海高等研究院
论文DOI:10.1038/s41467-024-49392-w
费托合成是典型的结构敏感性反应,对高活性反应界面活性位结构和反应机理的认识十分重要但挑战也较大。针对费托合成制烯烃反应,本文在金属Ru纳米颗粒表面上引入ZrO2位点,构建高界面接触的ZrO2-Ru反向界面结构。相比纯相金属Ru,其本征活性提高了7.6 倍,表观活化能降低了约 45%。多种表征和理论计算表明,ZrO2-Ru界面位点促进了氢溢流和活泼H*物种的快速迁移,并在ZrO2 表面通过形成 Zr-OH* 新物种作为活泼氢的“储层”。进一步的DFT理论计算证明ZrO2-Ru界面位上的表面羟基直接参与了C-O键活化,这使得ZrO2-Ru界面位点上H 助CO解离路径从金属Ru主导的甲酰基(HCO*)物种路径转变为羟基亚甲基(COH*)主导的路径,显著降低了C-O键解离能垒,提升了催化活性。
α-烯烃是聚烯烃产业升级、PAO润滑油及直链高碳醇生产等的关键基础原料。商业化的α-烯烃主要通过乙烯齐聚制备得到,但其合成技术及产能主要受Chevron Phillips、Shell、Sasol、SABIC、Linde、INEOS等国外公司掌控。发展费托合成制烯烃(FTO)技术是解决我国α-烯烃对外依存度过高、保障我国产业链和供应链安全稳定的重要手段。近些年的研究主要聚焦在如何通过催化剂和活性位结构的创制进一步提高催化活性、α-烯烃收率,并有效降低CH4、CO2等C1副产物。中国科学院上海高等研究院钟良枢研究员团队长期致力于合成气高效转化制烯、醇等高值化学品。前期通过创制棱柱状碳化钴(Nature 2016, 538, 84)、 改性金属Co(Appl. Catal. B-Environ. 2022, 316, 121700)和改性金属Ru(Nat. Commun. 2022, 13, 5987)等全新活性位,实现了合成气高效制烯烃。尤其是在近期工作中,通过在金属Ru纳米颗粒表面引入碱金属助剂调控了活性位局域电子和几何结构性质,改变了CO和H2的吸附和活化行为,使得金属Ru催化的费托合成产物选择性从传统80%以上饱和烷烃向80%以上烯烃转变,且甲烷和CO2等C1副产物总选择性低于5%。然而,与非贵金属Fe基与Co基催化剂相比,贵金属Ru性能虽然优异,但其贵金属成本仍然是限制其经济性和工业应用的瓶颈。创制低载量贵金属Ru的高活性位界面是Ru基FTO反应的关键科学问题。
近年来,界面工程已成为调控费托合成反应行为的有效策略。通过在金属纳米颗粒表面构建丰富的界面位点,如金属氧化物界面位点、单原子修饰的表面位点等,能够显著影响金属纳米颗粒的几何、配位及电子环境,从而导致其催化活性和产物选择性的巨大差异。本文以金属Ru催化的FTO反应为研究对象,通过引入ZrO2助剂,研究金属氧化物助剂对活性界面位、中间物种的生成及反应物分子(H2和CO)吸附活化行为的影响,为高活性、高选择性、高稳定性且经济性可行的金属Ru基催化剂的设计提供科学依据。
要点一:构建高活性ZrO2-Ru界面结构,其催化活性提高7.6倍,烯烃时空收率提高4.1倍,且对CO的表观活化能降低~45%。
要点二:ZrO2-Ru界面结构的构筑提高活性氢物种的迁移,溢流出的H*在临近界面形成Ru-Zr-OH*物种,提高了活性位局域氢覆盖度。
要点三:ZrO2-Ru界面位表面羟基中的活性氢物种参与C-O解离活化,H助CO解离路径由HCO*主导转化为COH*主导,显著降低了C-O键的解离能垒,提升了催化活性。
采用等体积共浸渍的方法制备。如图1所示, CO转化率和Ru质量活性(RuTY)与ZrO2含量呈现火山形变化趋势。在相同条件下,CO转化率从0Zr/Ru的7.2%增加到0.5Zr/Ru的40.2%。在相似转化率下,0.5Zr/Ru的RuTY 和TOF 分别达到0.955 molCO/gRu/h 和0.316h-1,是纯相金属Ru的5.7和7.6倍。另外,0.5Zr/Ru表现出最大的烯烃时空收率(493.7 g∙molRu-1∙h-1),是0Zr/Ru催化剂的4.1倍。通过动力学实验进一步测量了表观活化能,发现0Zr/Ru的活化能为81.5 kJ/mol,而0.5Zr/Ru 则降低到44.6kJ/mol,后者下降了45.3%。这些结果表明ZrO2的引入可能形成更高效的活性中心,从而显著降低CO加氢反应的活化能。
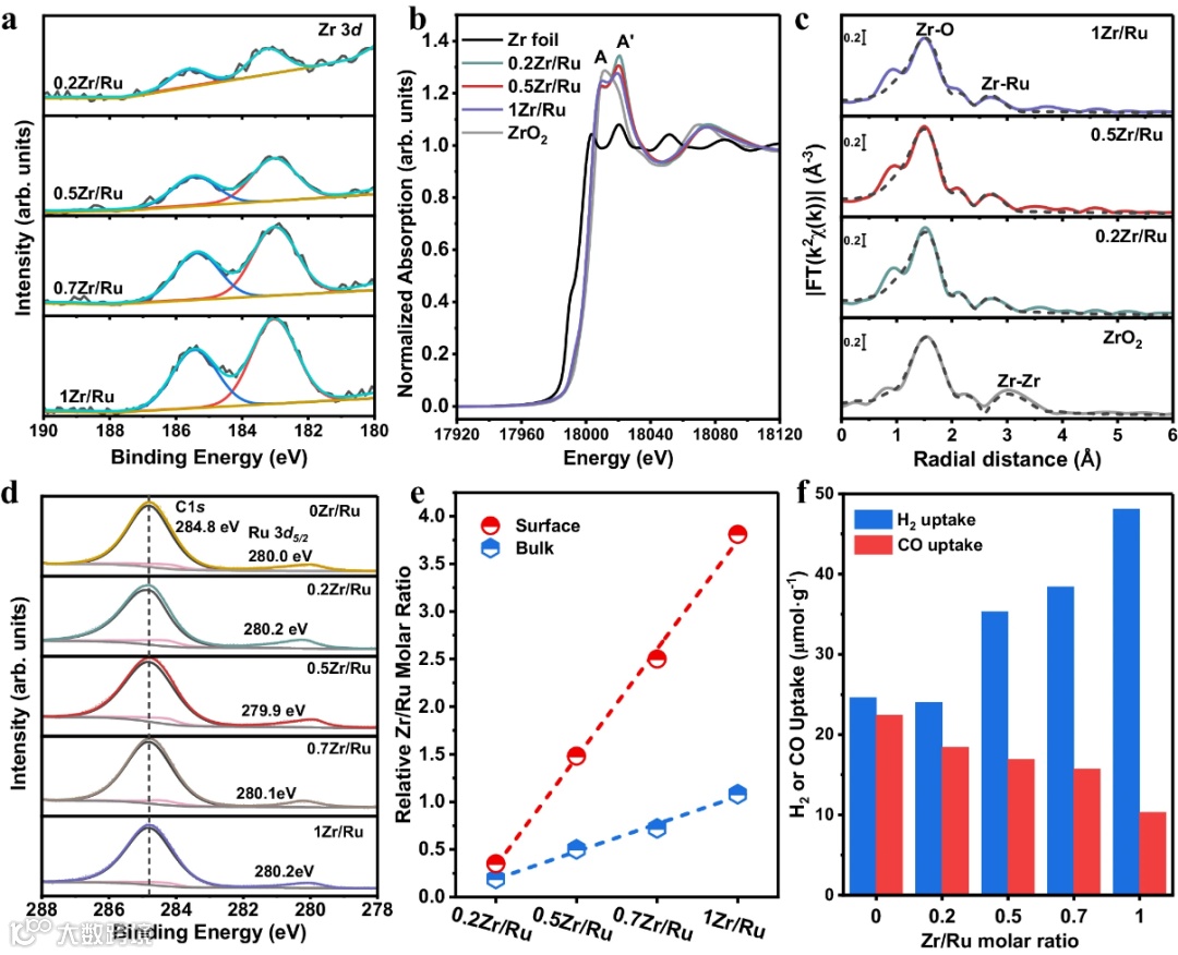
图2显示了部分xZr/Ru催化剂的结构表征结果。XRD表明还原后的Ru催化剂仍为金属Ru纳米颗粒,而且粒径区别不大,且在反应前后均没有观察到 ZrO2相关衍射峰,表明Zr物种分散良好或处于非晶状态。Ru的EXAFS结构分析也表明反应后仍为金属Ru结构。HAADF-STEM和EDS元素分布图显示,Zr物种在催化剂表面分散良好,无明显聚集现象。

采用XAS测试了Zr助剂的Zr K边局部结构,发现所有样品的Zr呈现典型的+4价态。通过拟合ZrO2的EXAFS谱图,发现仅有Zr-Ru散射途径可得到合理参数的拟合结果,表明ZrO2与金属Ru形成Zr-O-Ru结构(图3)。在Ru 3dXPS谱图中,Ru 3d5/2峰的结合能均在279.9 - 280.2 eV之间,表明Ru处于金属态。根据Zr 3d5/2与Ru 3d5/2的XPS结果计算相对Zr/Ru摩尔比,发现其值比XRF测得的体相Zr/Ru比略高,表明Zr原子倾向于集中分散于金属纳米颗粒表面,从而有利于在金属表面形成高分散接触界面。另外,化学吸附实验表明,随着Zr含量的增加,CO化学吸附量与分散度明显下降,暴露的金属Ru表面积也在下降(图1f), 然而其H2吸附量以及催化活性却在增加。

为了解析H*活性与反应活性的关系,进一步开展了基于WO3变色的氢溢流以及原位红外H2-D2交换实验,发现ZrO2-Ru界面结构强化了氢溢流的发生。同时,DRIFTs实验发现ZrO2的引入在2675 cm-1出现新的振动峰,可归于表面Zr-OD*物种。而且,通过监测H2-D2交换过程中产生的HD分子数量,发现催化剂的表面羟基的数量明显增加。

DFT计算表明, Zr-O-Ru界面结构可以促进H2分子的解离并很容易传递活性H*至ZrO2表面形成表面OH物种。进一步计算表明,Ru(001)与(ZrO2)3/Ru(001)表面表现出不同的H助CO解离机制,涉及不同的反应中间体。在Ru(001)表面上,H助CO解离的第一步形成HCO*中间体途径(Ea=1.23 eV)比形成COH*中间体(Ea=1.74 eV)动力学更有利。C-O键在HCO*物种中的解离包含另外的两个步骤,分别是HCO*物种的O加氢生成HCOH*物种且具有较高的能垒(1.22 eV),和HCOH*物种裂解为CH*和OH*物种,该步骤能垒较低为0.38 eV。相反,在(ZrO2)3/Ru(001)表面上,CO的解离是由在Zr-O-Ru界面结构上形成的羟基(Zr-OH*)辅助的,能垒仅为0.39eV,并通过氢转移至CO*的O原子上形成COH*中间体发生。吸附在ZrO2促进的Zr-O-Ru界面结构上的COH*可以以较高的能垒进一步加氢生成HCOH*(1.25 eV),这与Ru(001)表面上的1.22 eV的H助CO解离的最有利途径的最高能垒相当,但COH*中间体的C-O键进一步裂解形成吸附态的C*和OH*,其能垒极低,仅为0.25 eV。因此,这些计算结果表明,由于表面羟基的存在,ZrO2-Ru界面促使H助 CO 解离途径从HCO*途径转变为COH*途径。由于FTS的限速步骤与C–O键断裂的能垒高度相关,ZrO2-Ru界面位点的形成极大地降低CO解离能垒,从而具有更高的 FTS 活性和烯烃产物的时空产率。
本工作通过构建高活性ZrO2-Ru界面结构促进了FTO反应,并结合各类表征与理论计算探究了界面结构作用机制,主要结论如下:
(1)通过改变Zr/Ru摩尔比制备具有不同含量ZrO2助剂的负载型Ru基催化剂,在相同反应条件与相似CO转化率下进行性能评价。当Zr/Ru摩尔比为0.5时,CO转化率(40.2%)、反应速率(0.955 molCO·gRu-1·h-1)、烯烃时空收率(529 g∙molRu-1∙h-1)以及本征活性(TOF,0.316 s-1)达到最大值,分别是未添加ZrO2的Ru基催化剂的5.6倍、5.7倍、4.1倍和7.6倍。
(2)结合XPS、XAS以及电镜表征,发现ZrO2助剂呈单层高分散分布,金属Ru的颗粒大小未发生明显改变,EXAFS拟合结果表明存在Zr-O-Ru界面。同位素、动力学和H2-D2 DRIFTs实验等表明Zr-O-Ru界面的构建提高了活性氢物种的迁移速率,溢流至催化剂表面形成羟基物种,加速H助CO解离过程,大幅降低反应活化能。
(3)理论计算结果证明Zr-O-Ru界面能够促进氢溢流,且表面原位生成的活性羟基基团中的H*参与到了C-O活化和解离,使得H助CO解离途径由HCO*转化为COH*,显著降低了C-O键的解离能垒,从而显著提升催化活性。
本工作加深了对金属-金属氧化物界面形成及其表面羟基基团参与费托反应机制的认识,为设计高效的工业费托合成催化剂提供了有效的策略。
Yu, H.; Wang, C.; Xin, X.; Wei, Y.; Li, S.; An, Y.; Sun, F.; Lin, T.; Zhong, L., Engineering ZrO2-Ru interface to boost Fischer-Tropsch synthesis to olefins. Nat. Commun. 2024, 15 (1), 5143.
钟良枢:中国科学院上海高等研究院研究员/博士生导师,上海科技大学特聘教授,低碳转化科学与工程中心主任。主要从事C1分子高选择性转化制化学品相关的催化研究。主持国家重点研发计划、国家自然科学基金、中科院、上海科委、重大企业研发横向项目等多项研究工作。目前已在Nature、Nature Chem.、Nature Commun.、Chem、Angew. Chem. Int. Ed等杂志发表100余篇文章,他引6500余次,近几年连续入选爱思唯尔中国高被引学者榜单。已申请发明专利50余项,获授权25项,专利转化5项。相关研究成果曾入选国家自然科学基金委员会2016年度基础研究主要进展及2016年上海市十大科技事件。曾获第六届中国化学会-英国皇家化学会青年化学奖、上海市科技系统青年五四奖章、中科院青年科学家奖等奖励,入选国家“万人计划”青年拔尖人才、上海市科技领军人才、上海市优秀学术带头人、中科院青促会优秀会员等人才项目。
林铁军:中国科学院上海高等研究院研究员/博士生导师,低碳转化科学与工程中心副主任,中科院青促会化材分会委员。主要从事C1分子(CO/CO2/CH4)转化制燃料与高值化学品(α-烯烃、高碳醇)相关的催化基础与催化剂工程放大研究。主持国家重点研发计划(子课题)、国家自然科学基金、上海市自然科学基金、中科院和企业横向等多项研究工作。在Nature Commun., Angew. Chem. Int. Ed., Acc. Chem. Res.等刊物上发表SCI论文75余篇。已申请中国发明专利22项,PCT国际专利1项,授权14项。入选中科院青促会会员和高研院第一届“高研新锐”优秀青年人才计划。
李圣刚:中国科学院上海高等研究院研究员,中国科学院“BR计划”专家,上海科技大学特聘教授,博士生导师,学术带头人,爱思唯尔旗下Heliyon杂志化学编委,中林集团智库专家。2004年8月毕业于美国肯塔基大学化学系,随后工作于美国阿拉巴马大学化学系,2011年4月加入中国科学院上海高等研究院。主要研究方向为理论与计算化学及其在催化和材料科学中的应用,机器学习和深度学习等人工智能技术在化学研究中的应用。作为项目/课题负责人和课题骨干先后主持/参与多项国家自然科学基金委项目、国家重点研发计划项目课题、壳牌石油公司(Shell)和英国能源技术研究所(ERI) 国际合作项目。在SCI期刊共发表学术论文150余篇,其中包括以第一/通讯作者在Sci. Adv.、The Innovation、Angew. Chem. Int. Ed.等刊物上发表论文70余篇,并参编英文书籍3部。
欢迎关注我们,订阅更多最新消息
“邃瞳科学云”推出专业的自然科学直播服务啦!不仅直播团队专业,直播画面出色,而且传播渠道多,宣传效果佳。
“邃瞳科学云"平台正在收集、整理各类学术会议信息,欢迎学会、期刊、会议组织方择优在邃瞳平台上进行线上直播,希望藉此帮助广大科研人员跨越时空的限制,实现自由、畅通地交流互动。欢迎老师同学们提供会议信息(会有礼品赠送),学会、期刊、会议组织方商谈合作,均请联系潘经理:18612651915(微信同)。
投稿、荐稿、爆料:Editor@scisight.cn