
第一作者:Hui Xin
通讯作者:包信和院士,傅强
通讯单位:中科院大连化学物理研究所
论文DOI:https://doi.org/10.1021/jacs.1c12603

全文速览
负载型金属催化剂在高温(≥500℃)热处理过程中,通常会出现载体衍生材料封装金属纳米颗粒的经典强金属-载体相互作用(SMSI)。但是,由于金属活性位点被载体覆盖阻挡,导致催化性能降低。本文展示了这种 SMSI 状态可以在 Ru-MoO3 催化剂中使用 CO2 加氢反应气体在 250 °C 的低温下构建,这有利于 CO2 选择性加氢为 CO。在反应过程中,Ru 纳米颗粒有助于还原MoO3 生成具有氧空位的活性 MoO3-x 覆盖层,这些覆盖层迁移到 Ru 纳米颗粒表面并形成封装结构,即 Ru@MoO3-x。形成的 SMSI 状态将Ru 颗粒表面上的 100% CH4 选择性改变为 >99.0% 的 CO 选择性,并且具有优异的活性和长期催化稳定性。封装的氧化层可以通过 O2处理去除,可完全切换回甲烷化。这项工作表明,金属纳米催化剂的封装可以在实际反应中动态生成,这有助于获得具有高活性的目标产物。

背景介绍
经典的强金属-载体相互作用(SMSI)已被广泛研究以阐明负载型金属催化剂的结构-性能关系。该作用是指载体衍生物质在金属纳米粒子 (NPs) 表面上的迁移,形成超薄封装覆盖层。这一过程在负载于可还原氧化物上的铂族金属中很常见,例如TiO2、CeO2、Fe2O3 和 ZnO。在大多数情况下,SMSI 状态是通过在特定气体气氛中的热预处理实现的。此外,在金属纳米颗粒表面形成的覆盖层,大大减少了金属表面位点的数量,削弱了 CO、H2 和其他分子的化学吸附,从而阻止了金属催化反应。考虑到 SMSI 状态广泛存在于许多负载型金属催化剂中,因此,利用它来提高催化性能仍然非常具有前景。
最近,一些重要进展表明,金属催化剂在经典SMSI状态下表现出增强的稳定性,例如在 Pt/TiO2、Au/MgO-Cx 和金属/h-BN 体系中。在这些情况下,形成的封装覆盖层是可渗透的,这使得部分金属表面位点可与反应物分子接触。此外,封装的覆盖层抑制了金属纳米颗粒在高反应温度下的烧结,提高了催化剂的稳定性。据报道,CO2 气体导致 Au/MgO 催化剂中的 Au NPs 被含镁覆盖层包覆。覆盖层对 CO/O2 是可渗透的,并且可以稳定 Au NPs 以防止其被烧结,所以该催化剂在 300 °C 下表现出稳定的 CO 氧化活性。此外,Dong等人构建了用于甲烷干重整 (DRM) 反应的 Ni@BOx/h-BN 催化剂,该催化剂由 Ni NPs 上的可渗透氧化硼 (BOx) 覆盖层组成。DRM 反应诱导的 BOX 封装层抑制了 Ni NPs 的烧结并有助于提高反应的稳定性。
除了高催化稳定性外,在CO2选择性加氢制CO或其他产品等许多催化过程中,在高周转率下提高目标产物的选择性也仍然具有挑战性。一些研究已经表明,反应中间体(例如 CO、甲酸盐和碳酸盐)与活性位点之间的结合强度对于选择性优化是最关键的。弱结合有利于解吸,其主要途径是逆水煤气变换(RWGS)反应;否则,进一步氢化更有可能通过甲烷化反应产生 CH4。考虑到表面吸附特性可以通过表面封装来改变,因此,反应中发生的SMSI 有希望用于在高温下稳定纳米催化剂并实现反应选择性的调控。

图文解析
图1. Ru-Mo-oxide催化剂在 CO2 加氢中的催化性能。(a) 初始的 1.9 wt % Ru-Mo-Ox 催化剂;(b) 在 (a) 中反应后的催化剂(1.9wt % Ru-Mo-Ox-spent);(c) 在 500 °C 下,在氧气中煅烧 1 h后的催化剂(1.9 wt % Ru-Mo-Ox-recal);(d) 在(c) 中反应后的催化剂 (1.9 wt % Ru-Mo-Ox-recal.-spent)。反应条件:50 mg催化剂,3% CO2/9% H2/N2,WHSV = 10,000 mL/gcatal·h。在 250°C时,初始的 1.9 wt % Ru-Mo-Ox 催化剂(e)在不同 WHSV 下 反应1 h后的催化性能,和(f)在 100,000 mL/gcatal·h 下 反应1 h的产物选择性变化。
图 2. Ru-Mo-oxide催化剂 CO2 加氢的的活性和稳定性。(a) CO2 转化率低于 20% 的甲烷化和RWGS反应的Arrhenius 图。甲烷化活性是在200 至 260°C 之间,在初始 1.9 wt% Ru-Mo-Ox 催化剂上测量的,而 RWGS 是在 220 至 280°C 之间,在使用过的 1.9 wt% Ru-Mo-Ox催化剂上测量的。反应条件:50 mg催化剂,WHSV = 10,000 mL/gcatal·h;(b) 1.9 wt % Ru-Mo-Ox-spent 样品在500 °C 下的长期催化测试,WHSV 为 100,000mL/gcatal·h。
图3. Ru-Mo-Ox 催化剂的结构表征。(a) 具有Ru 负载量的Ru-Mo-Ox样品、1.8 wt %Ru/SiO2 和纯 MoO3在 10%H2/Ar 下的 H2-TPR 曲线。初始的 1.9 wt% Ru-Mo-Ox 在不同温度下于 3%CO2/9%H2/N2 中的 (b) 原位 XRD 图谱和 (c) 原位拉曼光谱。(d) 1.9 wt % Ru-Mo-Ox-250 和 (e) 1.9 wt %Ru-Mo-Ox-500 样品的 Ru、Mo和 O 元素的线扫描 EDS曲线,插图是 HRTEM 图像。(f) 1.9 wt % Ru-Mo-Ox-250和 1.9 wt % Ru-Mo-Ox-500 催化剂的结构示意图。
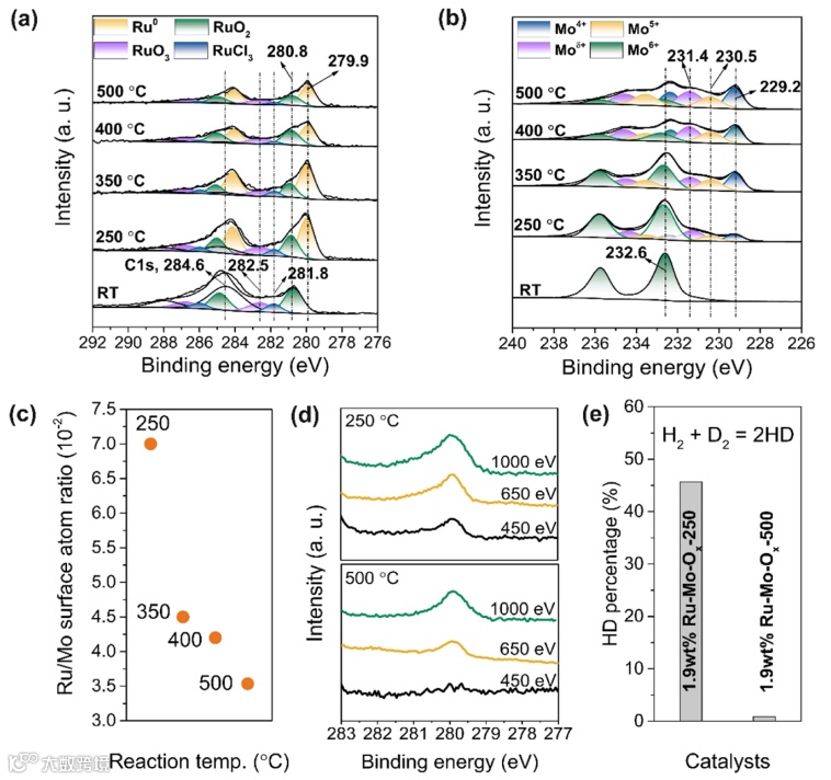
图 4. 1.9 wt% Ru-Mo-Ox 催化剂的表面化学。在 1 mbar 3%CO2/9%H2/N2 气氛中于指定温度下的原位 NAP-XPS (a) Ru 3d 和 (b) Mo 3d 光谱。(c) 根据 Ru 3p 和 Mo3d 信号计算的 Ru/Mo 表面原子比。在 250 和 500°C下于 1 bar 3%CO2/9%H2/N2气氛下预处理的 1.9 wt% Ru-Mo-Ox 催化剂上,(d) 用不同 X 射线能量获得的准原位XPS Ru 3d 光谱和 (e) 在室温下测量的 H-D 交换实验。
图 5. DFT (a-c)和准原位XPS实验(d,e)揭示了MoO3-x 的表面结构和反应机理。(a) 所提出的有不同浓度 Vos 的MoO3(010) 表面模型,从上到下包括 33% VO1c、33% VO1c + 7% VO2c 和33% VO1c + 13% VO2c。最低配位 Mo 位点用 Mo5c、Mo4c 和 Mo3c 表示。(b) 来自 27% VO1c 初始浓度的VO 的微分形成自由能变化。(c) 33% VO1c+7% VO2c的 MoO3 (010) 表面上 CO2(g) + H2 (g) → CO (g) + H2O (g) 过程的自由能图,其涉及多个基本步骤。假设平衡条件为 p(H2) = 0.09 bar、p(CO2)= 0.03 bar、p(H2O) = 0.01 bar 和 p(CO) = 0.01 bar,温度为 500 °C。插图显示了过渡态 (TS) 的结构。Mo:青色;O:红色和粉红色;C:黑色;H:白色。(d)在 250 °C 下用 1 bar 3%CO2/N2和 10% H2/N2 循环处理Ru@MoO3–x 结构的 Mo 3d 光谱,。(e) 从 Ru@MoO3-x 结构的 Mo 3d 光谱所计算的表面 Mo 物种分数。

总结与展望
基于上述结果,本文在高于 250 °C 的 CO2 加氢反应中观察到了 Ru-Mo-oxide催化剂中的经典 SMSI 效应。来自 MoO3 载体的有缺陷的 MoO3-x 覆盖层可以迁移到 Ru NPs 上,在反应过程中形成封装结构。同时,催化性能从暴露的表面Ru位点上的甲烷化转变为由MoO3-x层中的氧空位通过准MvK机制催化的RWGS。SMSI 状态的Ru-Mo-Ox 催化剂对 RWGS 具有高活性和稳定性,CO 选择性达到99.0% 。循环反应-氧化处理实现了 CO2 加氢选择性在 99.0% CO 和 100% CH4 之间的切换。通过CO2加氢反应中不同的SMSI状态实现了选择性调控。由CO2-H2 (20:1) 反应气体引起的吸附质介导的 SMSI 结构,能够动态调节 CO2 还原选择性。更一般地说,金属颗粒尺寸及其化学状态的变化引起了CO2 还原选择性的调节。该研究工作表明,通过正确构建氧化物衍生的封装覆盖层,可以有效地定制催化反应,使其表现出高活性、选择性和稳定性。
声明
本文仅供科研分享,不做盈利使用,如有侵权,请联系后台小编删除
“邃瞳科学云”直播服务
“邃瞳科学云"平台正在收集、整理各类学术会议信息,欢迎学会、期刊、会议组织方择优在邃瞳平台上进行线上直播,希望藉此帮助广大科研人员跨越时空的限制,实现自由、畅通地交流互动。欢迎老师同学们提供会议信息(会有礼品赠送),学会、期刊、会议组织方商谈合作,均请联系翟女士:18612651915(微信同)。
投稿、荐稿、爆料:Editor@scisight.cn
扫描二维码下载
邃瞳科学云APP

