
第一作者:孙家乐
通讯作者:周海晖教授,黄中原副教授
通讯单位:湖南大学
论文DOI:10.1016/j.apcatb.2024.124396
开发低成本、高活性的催化剂是电化学CO2还原(ECR)应用的长期目标。本文以商业化炭黑为原料,采用简单经济的方法合成出镍单原子催化剂。实验和拟合结果表明镍单原子的成功制备,同时煅烧温度对镍单原子的形成起着至关重要的作用。所制备的Ni-N-C-600催化剂在流动池和膜电极中表现出优异的ECR性能。基于Ni-N-C-600催化剂制备成本低、ECR性能优异的特点,建立技术经济分析(TEA)模型来评价在接近实际工作条件下所得催化剂的经济效益。结果表明,使用Ni-N-C-600催化剂通过ECR产CO的价格为445.53 $ ton-1,与工业CO生产价格(600 $ ton-1)相比具有竞争力。同时,TEA评价指出,在现有催化剂性能的基础上,提高催化剂的循环寿命刻不容缓。将TEA加入到特定催化剂的ECR产CO性能评价中,能够更加直观地评估催化剂的性能,为催化剂的进一步改进提供指导。
电化学CO2还原为CO具有反应动力学简单、法拉第效率高、电流密度大等优点,是目前最有可能实现商业应用且经济效益好的途径。镍单原子催化剂以其性能优越、原子利用率高的优点成为主流和性能最好的材料。镍单原子催化剂常见的合成方法有原子层沉积和金属有机骨架(MOFs)的热解。然而,原子层沉积策略通常需要复杂且昂贵的设备,而MOFs的热解则面临高能耗和低收率的问题。因此,探索一种简单、经济、大规模合成镍单原子催化剂的方法是非常有前景的。
尽管镍单原子催化剂在实验室ECR测试中表现出工业级电流密度(200 mA cm-2)、高CO法拉第效率(FECO)和良好的循环稳定性,但仍有必要对镍单原子催化剂ECR产CO的经济性进行评价。TEA将是实现ECR商业应用的重要发展趋势。目前,ECR的TEA仍处于早期阶段,关于特定材料的ECR产CO的TEA却鲜有报道。因此,研究ECR制CO用镍单原子催化剂的TEA对ECR未来的工业发展具有重要和迫切的意义。
基于此,我们以商业化炭黑为碳源,采用简便、经济的方法制备了镍单原子催化剂。廉价的工业原料和较低的煅烧温度降低了催化剂的制备成本。所制备催化剂在流动池和膜电极中具有优异的ECR催化性能。同时,我们建立TEA模型,计算得出所制备催化剂通过ECR产CO的价格低于当前工业上CO生产价格。
本文采用商业化炭黑作为碳源,通过冷冻干燥和煅烧方法获得了稳定的镍单原子催化剂(Ni-N-C-600)(图1a)。Ni-N-C-600的SEM照片显示出与炭黑相似的形貌(图1b),不存在团聚的纳米颗粒。同时,TEM照片显示Ni-N-C-600呈均匀多孔结构,未观察到镍纳米颗粒(图1c)。HAADF-STEM显示大量孤立的亮点,没有纳米颗粒和团簇,表明Ni-N-C-600中以Ni单原子的形式存在(图1d)。EDS mapping显示碳、氮、镍元素分布均匀(图1e)。

图1. 材料的制备过程和形貌表征
XRD结果显示(图2a),Ni-N-C-600仅有碳峰的存在,没有显示镍颗粒的峰。Ni-N-C-600的高分辨率N 1s光谱(图2b)可分为398.4、399.0、399.6和400.6 eV四个峰,分别与吡啶N、Ni-N、吡啶N和石墨N有关。如图2c所示,Ni-N-C-600的Ni 2p光谱表明镍的价态位于0 ~ +2之间。Ni k边XANES图谱揭示Ni-N-C-600的近吸收边缘位于Ni箔和NiO之间,验证了Ni的价态介于0和+2之间(图2d)。Ni-N-C-600中Ni的FT-EXAFS图谱显示仅有Ni-N键(1.44 Å)的存在,不存在Ni箔的Ni-Ni键(2.15 Å)和NiO的Ni-O键(1.63 Å)(图2e)。EXAFS拟合结果表明,Ni-N-C-600的Ni-N配位数接近4,表明Ni-N-C-600中存在Ni-N4配位结构(图2f)。Ni-N-C-600的WT-EXAFS结果显示,强度最大值与Ni-N路径有关(图2g)。

图2. 材料的成分、化学状态和原子结构分析
H型池测试表明,Ni-N-C-600在CO2气氛下的LSV曲线呈现出更正的起始电位和更高的电流密度,表明Ni-N-C-600具有优异的CO2还原催化性能(图3a)。Ni-N-C-600在-0.6 V时的FECO高达95.7%,在-0.9 V时的jCO值高达-24.8 mA cm-2 (图3b和c)。同时,Ni-N-C-600表现出高的电化学活性表面积和更低的电阻,这增加了活性物质与电解质的接触以及有利于电荷的转移(图3d和e)。此外,在-0.6 V下,Ni-N-C-600的电流密度和FECO在50 h内仅略有下降,验证了其良好的循环稳定性(图3f)。

图3. H型电解池评价ECR性能
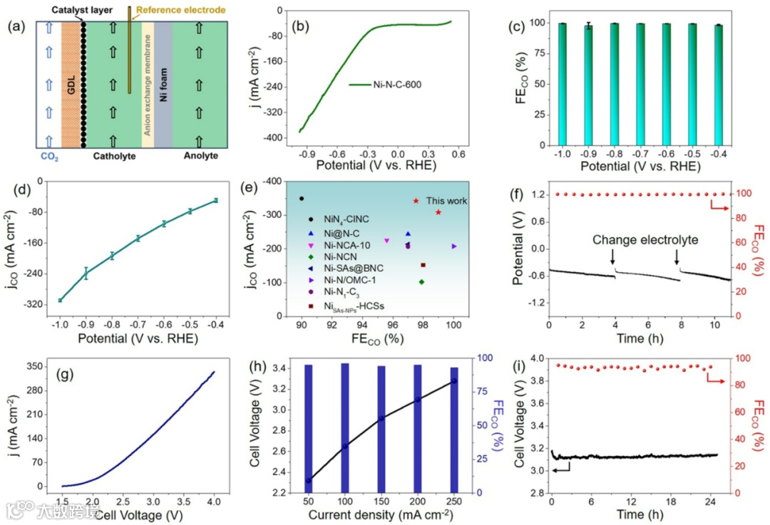
为了满足实际应用的需要,采用流动池进一步评价Ni-N-C-600的性能,流动池示意图如图4a所示。Ni-N-C-600在-0.9 V时可实现-345.4 mA cm-2的高电流密度,远高于H型池(图4b)。如图4c和d所示,在-0.4 ~ -1.0 V宽电位窗口内,Ni-N-C-600的FECO达到95%以上,在-1.0 V时jCO高达-308.7 mA cm-2,优于目前大多数报道的镍基催化剂(图4e)。同时,Ni-N-C-600在-100 mA cm-2下循环10 h后,FECO保持在90%以上,且相应电位略有波动,表现出较好的循环稳定性(图4f)。另外,膜电极用于评估近工作条件下的ECR性能。如图4g所示,Ni-N-C-600在3.8 V时达到300 mA cm-2的高电流密度。在50 - 250 mA cm-2的不同电流密度下,Ni-N-C-600在MEA中的FECO保持在90%以上(图4h)。Ni-N-C-600在3.1 V槽压下实现了95% FECO,jCO为200 mA cm-2。如图4i所示,Ni-N-C-600在MEA中-200 mA cm-2下循环24 h后电压波动很小,相应的FECO保持在94%左右,验证了其优异的循环稳定性。

图4. 流动池和膜电极评价ECR性能
以Ni-N-C-600在MEA中的性能为基础,对ECR产CO进行TEA评价。首先,建立了CO2工业电解生产CO的模型。如图5a所示,该模型由CO2捕集净化、CO2电解、产物分离三部分组成。之后对其进行敏感性分析,评估催化剂循环时间、CO2成本、电力成本和槽压等参数对CO价格的影响(图5b-d)。等高线图显示,当电力成本低于0.03 $ kWh-1且循环时间大于4 h时,CO价格低于市场参考价(图5e)。根据MEA中获得的Ni-N-C-600的电化学结果,计算出ECR产CO的价格为445.53 $ ton-1,低于市场参考价(600 $ ton-1),更直观地体现Ni-N-C-600在实际应用中的潜力。同时,TEA评价强调了催化剂循环寿命的重要性,为催化剂的发展提供了方向。然而,本工作中TEA评价仅集中在催化剂性能上,未来的工作应扩大到对电解槽以及其他组件的评价。

图5. TEA模型和敏感性分析
综上,本文以商业化炭黑为碳源,采用简便、经济的方法合成镍单原子催化剂。所制备的Ni-N-C-600催化剂具有优异的ECR催化性能,在-1.0 V下FECO高达99%,CO分电流密度高达-308.7 mA cm-2。此外,MEA池的TEA评价表明,使用Ni-N-C-600催化剂通过ECR产CO的价格为445.53 $ ton-1,与工业CO生产价格相比具有竞争力。这种经济的合成方法以及TEA评价策略对ECR的工业应用具有重要的指示作用。
湖南大学周海晖、黄中原老师课题组在电化学储能、电催化等领域取得了一系列研究成果,研究方向包括:新能源材料(锂离子电池、钠离子电池、锂硫电池、超级电容器材料),电化学催化(氧还原、二氧化碳还原),轻金属表面处理。相关工作在Nature Communications、Advanced Materials, Advanced Functional Materials、Energy Storage Materials、Applied Catalysis B: Environmental等期刊上发表SCI论文140余篇。
孙家乐,湖南大学化学化工学院在读博士研究生,主要研究方向为电催化CO2还原方面的材料研发、应用以及机理研究,目前以第一作者身份已在Applied Catalysis B: Environment and Energy、Small、Journal of Colloid and Interface Science、Green Chemistry等期刊发表论文。
本文仅用于学术分享,不做盈利使用,如有侵权,请联系后台小编删除
欢迎关注我们,订阅更多最新消息
“邃瞳科学云”推出专业的自然科学直播服务啦!不仅直播团队专业,直播画面出色,而且传播渠道多,宣传效果佳。
“邃瞳科学云"平台正在收集、整理各类学术会议信息,欢迎学会、期刊、会议组织方择优在邃瞳平台上进行线上直播,希望藉此帮助广大科研人员跨越时空的限制,实现自由、畅通地交流互动。欢迎老师同学们提供会议信息(会有礼品赠送),学会、期刊、会议组织方商谈合作,均请联系潘经理:18612651915(微信同)。
投稿、荐稿、爆料:Editor@scisight.cn