
第一作者:曹硕
通讯作者:储伟,Giuliano Giambastiani,刘岳峰
通讯单位:四川大学,佛罗伦萨大学,中国科学院大连化学物理研究所
论文DOI:10.1021/acscatal.4c02069
对于低载量MoCx基纳米催化材料而言,通过降低MoCx的粒径很难进一步提升RWGS活性,这归因于RWGS反应中CO2和H2会在MoCx中的Mo活性位点发生竞争吸附,从而单一的Mo活性位点不能同时具有高效催化转化CO2和H2的能力。本文采用在碳纳米管上制备双活性位点(Mon纳米团簇和Mo2C纳米颗粒)的结构,两者间的协同作用促进了RWGS反应物分子CO2/H2吸附活化的发生,提高了RWGS反应速率。这种双活性位点的Mo基催化剂在400 ℃的富氢环境下的RWGS反应速率高达581 µmolCO2·gMo-1·s-1,CO选择性>99%,是单位点Mo2C纳米颗粒催化剂的1.8倍。Mon纳米团簇和Mo2C纳米颗粒双活性位点的优异性能归因于oCNT表面富电子局域环境,Mon团簇和Mo2C纳米颗粒之间的电子效应对Mo活性位点几何和电子结构的调节,促进了速控步骤CO2的解离,解离速率是单活性位点Mo2C纳米粒子催化剂的5倍,并促进CO*的脱附将产物CO的生成温度由295 ℃降至265 ℃,展现了优异的RWGS催化性能。准原位表征实验和密度泛函理论分子模拟计算结果揭示了Mo活性位中Moδ+物种的含量与RWGS反应速率之间存在正相关性。
将MoCx块体材料进行负载以增加暴露活性位的数量,通过减小MoCx材料的粒径尺寸可以显著提高MoCx的催化性能。制备过程中Mo团簇和MoCx纳米粒子可能同时出现在载体表面,但是由于RWGS是一个结构敏感型反应,活性位点的尺寸和形貌均能够显著影响其催化性能,因此详细解析两种Mo活性位组分的结构及其加氢催化作用就显得尤为重要。另一方面,Mo活性位的粒径尺寸影响其对反应物分子H2和CO2的活化能力,当Mo活性位数量有限时,催化剂上会发生CO2和H2的竞争吸附,不能同时满足降低活化H2和CO2反应能垒的要求。因此,本文通过设计具有两种不同Mo活性位结构的Mo基催化剂解决上述问题,探究多种尺寸活性位的作用并利用双活性位点间的协同作用进一步提升催化剂的反应活性。
1)构建了Mon团簇和MoCx纳米粒子共存的双活性位催化剂;
2)双位点的电子协同作用有效促进RWGS速控步骤CO2解离反应的进行;
3)通过准原位XPS测试进一步解释了Mo活性位电子状态与催化活性之间的构效关系。
图1.(A,B)Mon/oCNT,(C,D)Mon+Mo2C/oCNT,和(E,F)Mo2C/oCNT催化剂的原子分辨HAADF-STEM图像和催化剂结构示意图,D和F中的插图为相应区域的FFT图。

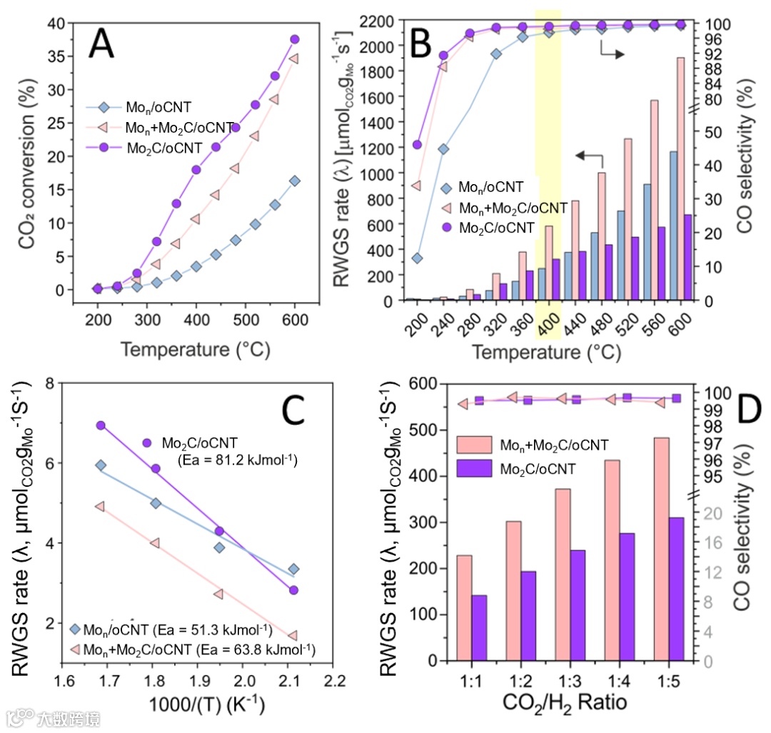
图2. Mon/oCNT、Mon+Mo2C/oCNT和Mo2C/oCNT催化剂反应活性测试:(A)RWGS反应催化性能研究,(B)RWGS反应速率和CO选择性,(C)活化能Ea和(D)CO2/H2比例对于RWGS反应速率和CO选择性的影响。

图3. Mon+Mo2C/oCNT和Mo2C/oCNT催化剂的(A)CO2分压实验,(B)H2分压实验,(C)CO2吸附解离速率的动力学参数,(D)非线性回归结果的奇偶图和残差分析。

图4.(A)Mon+Mo2C/oCNT和Mo2C/oCNT催化剂的CO2等温吸附容量与平衡压力的函数关系,(B)Mon/oCNT、Mon+Mo2C/oCNT和Mo2C/oCNT催化剂的CO2-脉冲实验和CO2反应量(μmol·gMo-1),(C)Mon/oCNT、Mon+Mo2C/oCNT和Mo2C/oCNT催化剂的H2-D2交换实验,(D)Mon/oCNT、Mon+Mo2C/oCNT和Mo2C/oCNT催化剂的CO2/H2-TPSR。

图5. Mon/oCNT、Mon+Mo2C/oCNT、Mo2C/oCNT和Mon/2/oCNT催化剂的(A,D)Mo 3d和(B,E)C 1s高分辨率准原位XPS图谱。(C)催化剂Mon/oCNT和Mon/2/oCNT的RWGS反应速率与Mo 3d谱中的Mo6+含量的函数关系。(F)催化剂Mon+Mo2C/oCNT、Mo2C/oCNT、Mo2C/oCNT-2和β-Mo2C组成中Mo物质(Moδ+)和RWGS反应速率线性关系。

图6. 模拟Mon/oCNT、Mon+Mo2C/oCNT和Mo2C/oCNT催化剂三种结构的DFT理论计算:(A)Mo元素的的DOS曲线。d带中心用虚线突出显示,箭头代表吸附和CO2活化的趋势,(B)Mo活性位点和oCNT表面之间的Bader电荷和电子转移。
本文以碳纳米管(oCNT)为载体,利用具有富电子环境的oCNT外表面制备了三种不同结构的Mo基催化剂。催化性能表明,Mon+Mo2C/oCNT双位点催化剂的RWGS反应速率(580 µmolCO2·gMo-1·s-1)比Mo2C/oCNT催化剂高出2.3倍左右(245 µmolCO2·gMo-1·s-1);并且Mon+Mo2C/oCNT催化剂上CO的生成温度由Mo2C/oCNT催化剂上的295 ℃降低至265 ℃。通过对催化剂表面进行HAADF-STEM、化学脉冲、准原位XPS和程序升温实验分析,明确了Mon团簇与Mo2C纳米颗粒之间的电子协同作用,揭示了RWGS反应速率与Mo活性位化学状态之间的线性关系,从而为设计高性能Mo基催化剂提供了有效的实验参考数据。
(1) H. Kang, J. Ma, S. Perathoner, W. Chu, G. Centi, Y. Liu. Understanding the complexity in bridging thermal and electrocatalytic methanation of CO2. Chemical Society Reviews, 2023, 52, 3627-3662
(2) X. Sun, J. Yu, S. Cao, A. Zimina, B. B. Sarma, J.-D. Grunwaldt, H. Xu, S. Li, Y. Liu, J. Sun. In Situ Investigations on Structural Evolutions during the Facile Synthesis of Cubic α-MoC1-x Catalysts, J Am Chem Soc, 2022, 144, 49, 22589-22598
(3) S. Cao, Y. Ma. W. Chu, Y. Liu. High-density MoCx nanoclusters anchored on nanodiamond-derived nanocarbon as a robust CO2 reduction catalyst for syngas production. Fuel, 2022, 323, 124347
(4) J. Ma, Q. Jiang, Y. Zhou, W. Chu, S. Perathoner,C. Jiang, K.-H. Wu, G. Centi, Y. Liu. Tuning the Chemical Properties of Co-Ti3C2Tx MXene Materials for Catalytic CO2Reduction. Small, 2021, 17, 26, 2007509
(5) Y. Ma, Z. Guo, Q. Jiang, K-H Wu, H. Guong, Y. Liu. Molybdenum carbide clusters for thermal conversion of CO2 to CO via reverse water-gas shift reaction, J Energy Chem, 2020, 50, 37-43.
(6) Y. Ma, Y. Ren, Y. Zhou, W. Liu, W. Baaziz, O. Ersen, C. Pham-Huu, M. Greiner, W. Chu, A. Wang, T. Zhang, Y. Liu. High-Density and Thermally Stable Palladium Single-atom Catalysts for Chemoselective Hydrogenations. Angew Chem Int Ed, 2020, 59, 21613-21619.
刘岳峰,中国科学院大连化学物理研究所研究员。致力于CO/CO2等工业基础小分子的催化材料的设计及其微观结构(原位)解析工作;开发出整体式、富含缺陷的纳米碳、金属-碳(碳化物)复合纳米催化材料,实现C1、烷烃及H2S等重要工业反应小分子的高效转化。先后主持4项国家自然科学基金(包括重大研究计划培育项目、面上项目)及企业委托项目等10余项。以第一/通讯作者论文在国际顶尖杂志如Nature Catal.、Chem. Rev.、Chem. Soc. Rev.、Angew. Chem. Int. Ed.、JACS、Nature Commun.、Science Adv.、ACS Catal.、Appl. Catal. B.等发表学术论文80余篇;SCI引用超过7000次,H因子48 (Google Scholar)。申请PCT专利2件,授权美国、欧洲、中国发明专利8件。任Journal of Energy Chemistry期刊青年编委/客座编辑、Chemical Synthesis和《低碳化学与化工》期刊青年编委等。获中国颗粒学会“青年颗粒学奖”(2022)和大连市“青年科技之星”称号(2017);入选辽宁省“兴辽英才”青年拔尖人才计划(2019)和中国科学院青年促进会会员(2018)等。
储伟,四川大学二级教授,博导,国家教育部新世纪优秀人才,四川省学术与技术带头人,国家973重大项目课题负责人,连续10年(2014-2023)入选Elsevier中国高被引学者榜单(顶级专家)。1984年本科毕业于南京大学,1991法国博士,中科院大连化物所博士后;已从事研发39年;曾在世界500强SABIC和德国、法国、美国、日本、新加坡等国外著名大学或机构任职13年。已负责科研项目30余项(国家级10项)。在Angew. Chem. Int. Ed.、Chem. Rev.、ACS Catal.,J. Catal.,Appl. Catal. B.等发表论文370余篇,其中SCI收录310余篇; 国际同行引用15000余次。已培养毕业硕博士研究生90余名,各行业骨干;有发明专利30余项;获得省部级二等奖及以上共3项。

曹硕,四川大学-大连化学物理研究所联合培养博士研究生。2019年获得河北工业大学应用化学专业硕士学位;同年考入四川大学化学工程学院攻读博士学位;2020年至今与大连化学物理研究所进行联合培养。主要的研究方向为CO2加氢催化转化以及催化剂的精准构筑。目前在ACS Catal., Fuel, JACS, Chem. Eng. J.和Electrochimica Acta.等期刊上独立/合作发表多篇学术论文。
本文仅用于学术分享,不做盈利使用,如有侵权,请联系后台小编删除
欢迎关注我们,订阅更多最新消息
“邃瞳科学云”推出专业的自然科学直播服务啦!不仅直播团队专业,直播画面出色,而且传播渠道多,宣传效果佳。
“邃瞳科学云"平台正在收集、整理各类学术会议信息,欢迎学会、期刊、会议组织方择优在邃瞳平台上进行线上直播,希望藉此帮助广大科研人员跨越时空的限制,实现自由、畅通地交流互动。欢迎老师同学们提供会议信息(会有礼品赠送),学会、期刊、会议组织方商谈合作,均请联系潘经理:18612651915(微信同)。
投稿、荐稿、爆料:Editor@scisight.cn