
第一作者:严涵,雷昊凡,秦学涛
通讯作者:刘锦程研究员,贾春江教授,曾杰教授
通讯单位:南开大学,山东大学,中国科学技术大学
论文DOI:10.1002/anie.202411264
在本研究中,作者通过适当的制备方法,在形貌为截角八面体的CeO2最小结构单元上实现了Pt在不同晶面上的定向原子沉积。常规的浸渍法制备使Pt原子位于八面体侧边占主要暴露的{111}晶面上,而紫外光沉积则使Pt原子稳定在截角八面体顶端{100}晶面形成的“纳米口袋”中。不同晶面上的Pt单原子展现出迥异的CO催化氧化性能,其关键影响因素在于不同CeO2晶面上Pt单原子所处的不同Pt-O配位环境。
CeO2丰富的表面物理化学性质如原子排布、Ce4+/Ce3+变价循环、储放氧特性等,与其所暴露的优势晶面密切相关。因此CeO2独特的晶面效应,对其上负载的金属物种和催化性能有巨大影响。而在金属/CeO2催化剂的晶面效应研究中,暴露不同优势晶面的CeO2纳米材料往往其比表面积、晶粒尺寸等物理化学性质也不相同。因此,亟需发展适宜的催化剂制备方法,在控制单一变量的原则下对金属/CeO2催化剂的晶面效应进行分析。
前人的研究结果表明,CeO2不同晶面的表面性质存在巨大差异。在水或水溶液中,(100)面相比于(111)面更容易羟基化(ACS Catal. 2021, 11, 4893–4907)。根据这一特性,本文中选用的铂前驱体[Pt(NH3)42+]更易吸附在(111)面上。即可采用简单的液相浸渍法,实现Pt原子在CeO2(111)晶面上的制备。另外,当氧化物暴露晶面不同时,光生电子转移到表面所需的能量不同(J. Am. Chem. Soc. 2022, 144, 21224–21231)。CeO2(100)面相比于(111)面,光生电子更易迁移至表面。本文利用这一特性,采用紫外光沉积技术使Pt原子吸附并稳定在(100)晶面上。
要点1:利用水热法合成了最小结构单元为截角八面体(图a)的CeO2纳米球(图b),与球磨粉碎之后的纳米球碎片(图c)均同时暴露(111)晶面和(100)晶面。理论计算发现,CeO2(111)表面的S1激发态高于CeO2(100)的S1激发态,S1态的电子被激发到Ce的4f轨道上有助于紫外光辅助的Pt原子在截角八面体顶端(100)晶面稳定沉积(图d–h)。

要点2:利用球差电镜结合对应的模拟及三维曲面图(图a–f)证明浸渍法将Pt负载在{111}晶面上;光沉积法将Pt负载在{100}晶面上。线扫结果表明Pt在CeO2上的成功负载(图g–j)。

要点3:X射线光电子能谱以及X射线近边吸收谱表明Pt以正价态存在(图a,b)。扩展X射线吸收精细结构表明Pt以单一的Pt–O配位存在,且拟合结果表明浸渍法制备的催化剂Pt–O配位数近似为3,而光沉积法制备的催化剂配位数近似为4(图c–f)。

要点4:两种催化剂的氢气程序升温还原结果呈现巨大的还原峰温度差异,表明其金属-载体相互作用的差异显著(图a)。理论计算结果表明,Pt原子在CeO2不同晶面上的稳定性不同。Pt原子在(100)晶面上形成最稳定的状态为Pt-O平面正方形配位状态,体现出更低的化学势,因此其还原温度更高图(b–e)。

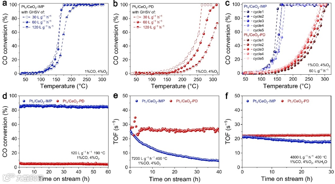
图5. 催化性能研究
要点5:在不同测试条件下,浸渍法制备的催化剂CO氧化的催化活性都优于光沉积法制备的催化剂(图a,b,d),而在升降温循环、高温高空速及含水蒸汽条件下的稳定性测试中,光沉积的催化剂都展现出优异的稳定性,并且高温体现出更高的转换频率(图c,e,f)。

图6. 构效关系研究
要点6:两种催化剂对O2的反应级数相当,而对CO的反应级数差异显著(图a)。CO探针红外(图b,c)和CO脉冲吸附(图d)结果均表明光沉积法制备的催化剂对CO的吸附能力极弱。理论计算结果也表明在(100)晶面上的Pt原子对CO的吸附能更高(图e),表明两催化剂的性能差异来自于对CO的吸附活化能力的差异。
作者在CeO2最小结构单元内实现了Pt单原子在{111}或{100}面上的晶面定向沉积。Pt1/CeO2{111}和Pt1/CeO2{100}之间差异明显的金属-载体相互作用由不同的Pt-O配位环境引起。具有Pt-O3配位的Pt1/CeO2{111}具有常规的H2-TPR还原和CO吸附行为,其低温CO氧化的催化活性较高。同时,Pt1/CeO2{100}纳米口袋结构中的Pt-O4结构很难被H2还原,并且几乎不吸附CO。因此,Pt1/CeO2{100}表现出较差的低温活性却有极强的高温稳定性。该工作为多相催化剂构效关系研究提供了制备方法和研究范式的新思路。
Yan H.,# Lei, F.,# Qin X., # Liu J.-C.,* Cai L., Hu S., Xiao Z., Peng F., Wang W.-W., Jin Z., Yi X., Zheng A., Ma C., Jia C.-J.,* Zeng J.* Facet-dependent diversity of Pt-O coordination for Pt1/CeO2 catalysts achieved by oriented atomic deposition, Angew. Chem. Int. Ed., 2024, e202411264.
https://doi.org/10.1002/anie.202411264
曾杰,安徽工业大学党委常委、副校长,中国科学技术大学讲席教授。1998年进入中国科学技术大学学习,2002年获应用化学学士学位,2008年获凝聚态物理博士学位,师从侯建国院士。2008年赴美,在美国圣路易斯华盛顿大学夏幼南教授研究团队工作。2012年,回到中国科学技术大学合肥微尺度物质科学国家研究中心任教授。2022年9月,受聘中国科学技术大学讲席教授,同年11月起任安徽工业大学党委常委、副校长。入选国家杰出青年科学基金、国家“万人计划”科技创新领军人才、英国皇家化学会会士(FRSC),担任国家重点研发计划首席科学家。研究领域为二氧化碳催化转化技术。迄今为止,已在Nature、Nature Nanotechnology、Nature Catalysis、Nature Energy等高影响力学术期刊发表了233篇论文,SCI总被引用22000余次,H因子为81,入选2019至2022年的全球高被引科学家名录。申请中美专利共75项,出版书籍5部。荣获中国青年科技奖“特别奖”、Falling Walls 科学突破奖、英国国际发明展年度国际发明“钻石奖”、中国科技产业化促进会科学技术一等奖、中国化学会-赢创化学创新奖、侯德榜化工科学技术青年奖、中国新锐科技人物、安徽省自然科学奖一等奖、安徽青年五四奖章等奖项。研究成果入选国家“十三五”科技创新成就展、2022年中国十大科技进展新闻。
课题组拥有一流的工作平台,开放活跃的学术氛围和丰富的国内外交流合作机会。现有平台和仪器包括原位DRIFTS、TPD-MS、BET、电化学测试一体化测试平台、各类固定床和浆态床反应器、UV、Plasma等多种催化剂表征和测试仪器。此外课题组和上海光源、合肥光源具有高度密切的合作关系,并以此搭建了各类原位测试平台。
课题组主页:http://catalysis.ustc.edu.cn/
招聘博士后/特任副研究员,开展电驱动、热驱动以及热电驱动多相催化反应,包括实验和理论计算,反应包括CO2/CO还原、甲烷部分氧化、丙烷脱氢、小分子电合成等研究。
申请条件:
(1)已获得博士学位或应届博士毕业生,在电催化、热催化、理论计算等领域有扎实的研究基础。
(2)应聘特任副研究员原则上应具有两年或以上的博士后经历,国外著名高校优秀博士毕业生且科研业绩突出者可破格申请。
岗位待遇:
(1)聘期 2-3 年。
(2)工资待遇(博士后年薪21万元以上,特任副研究员年薪24万元以上,特别优秀的将视个人情况面谈):
此外,课题组会推荐优秀申请人申报中科大“墨子杰出青年特殊津贴”,入选后年薪可在基础数额之上增加 15 万元(一等资助)/5 万元(二等资助)。
(3)学校为博士后/特任副研究员办理社会保险(基本养老保险、失业保险、基本医疗保险及医疗救助保险、工伤保险、生育保险)和住房公积金。
(4)学校为博士后/特任副研究员提供两室带全套家具的周转房。对不要求安排人才公寓住房者发放租房补贴,补贴标准由学校统一制定。
(5)博士后/特任副研究员子女可在科大附属幼儿园、附小、附中就学,免交赞助费。幼儿园为孩子每日提供“三餐一点”(早、中、晚三餐和下午一次点心),免除家庭的后顾之忧。
(6)特任副研究员期满考核优秀者,可申请学校的“副研究员”或“副教授”岗位;博士后期满考核优秀者,可申请学校的“特任副研究员”岗位。课题组将会积极帮助出站博士后联系申请高等院校及研究所的工作,或推荐国际一流著名院校进一步深造。
申请方式:
请申请者将申请材料发送到以下邮箱:zengj@ustc.edu.cn,邮件以“博士后/特任副研究员申请+姓名”命名。本课题组承诺对所有应聘者材料给予保密。
欢迎有志于从事相关研究的博士进入本课题组,共同开展研究工作!
联系方式:
地址:安徽省合肥市金寨路96号中国科学技术大学东区微尺度理化大楼16-005室
欢迎关注我们,订阅更多最新消息
“邃瞳科学云”推出专业的自然科学直播服务啦!不仅直播团队专业,直播画面出色,而且传播渠道多,宣传效果佳。
“邃瞳科学云"平台正在收集、整理各类学术会议信息,欢迎学会、期刊、会议组织方择优在邃瞳平台上进行线上直播,希望藉此帮助广大科研人员跨越时空的限制,实现自由、畅通地交流互动。欢迎老师同学们提供会议信息(会有礼品赠送),学会、期刊、会议组织方商谈合作,均请联系潘经理:18612651915(微信同)。
投稿、荐稿、爆料:Editor@scisight.cn