
第一作者:梁作中、周国军、谭煌
通讯作者:陕西师范大学郑浩铨教授、林海平教授、曹睿教授
通讯单位:陕西师范大学
论文DOI:https://doi.org/10.1002/adma.202408094
该研究报道了在以卟啉为基础的金属有机框架(MOFs)中构建了前所未有的Co4(SO4)4簇,并研究了Co4(SO4)4簇在析氧反应(OER)和氧还原反应(ORR)中的电催化应用。在溶剂热条件下,Co2+硫酸盐和四(4-吡啶基)卟啉的金属配合物反应生成了Co4-M-MOFs(M = Co、Cu和Zn)。单晶解析结果表明,这些Co4-M-MOFs具有相同的框架结构,其中Co4(SO4)4簇通过Co─Npyridyl键连接到金属卟啉单元上。在Co4(SO4)4簇中,四个Co2+离子的化学性质和对称性相同,每个Co2+离子都与四个硫酸根氧原子配位,形成一个扭曲的立方体结构。电催化研究显示,这些Co4-M-MOFs在电催化OER和ORR方面都表现出活性。重要的是,通过调节金属卟啉单元的活性,证实了Co4(SO4)4簇在氧电催化中具有活性。使用Co卟啉作为连接单元,Co4-Co-MOF在这系列MOFs中表现出最高的电催化活性,在10 mA cm−2的电流密度下OER过电位达到357 mV(1.0 M KOH),ORR半波电位为0.83 V(相对于可逆氢电极,vs RHE;0.1 M KOH)。理论研究揭示了Co4(SO4)4簇中两个相邻Co原子在OER中通过促进O─O键形成的协同效应。该研究在构建框架结构中Co4(SO4)4簇用于氧电催化方面具有重要意义,并展示了这些簇中相邻两个Co原子在O─O键形成过程中的协作作用。
多核金属簇广泛用于催化小分子活化反应,其中涉及多个电子的转移,例如光系统II中的Mn4CaOx簇用于析氧反应(OER),氮化酶中的MoFe7S9簇用于将N2转化为NH3。相比单金属位点,金属簇可以在多个金属位点存储氧化和/或还原等价物,从而避免高能量的高价和/或低价金属离子的参与。在键的形成和裂解过程中,近端金属离子之间的配合往往被认为是至关重要的。此外,多核金属团簇具有多个活性位点,可进行多分子反应。因此,金属簇被认为是活化小分子的理想催化剂。受自然界的启发,人们努力构建用于小分子活化的多核金属簇。特别是在开发金属簇作为四电子/四质子OER的催化剂方面,人们付出了巨大的努力。然而,尽管已经发现了几种分子金属簇,包括Mn4、Mn12、Fe5、Cu3、Co4和Cu4簇,可作为OER的均相催化剂,但开发新型金属簇作为高效OER催化剂仍然是一个巨大挑战。
该研究报道了Co4(SO4)4基金属有机框架(MOFs)的合成及其氧电催化性能。由于Co基团簇被认为是各种Co基电催化材料的基本活性位点,因此,它们作为OER电催化剂引起了人们的极大兴趣。尽管人们在开发新型Co基团簇方面做出了巨大努力,但文献中仅有少数例子具有电催化OER的活性。MOFs是一种结晶多孔材料,在分离、存储和催化方面具有广阔的应用前景。重要的是,对于那些难以稳定存在于离散分子环境中的金属团簇,许多实例表明,它们可以通过化学键连方式成功地结合到MOFs框架结构中。该研究合成了一系列基于Co4(SO4)4的MOFs,从结构上看,它们都具有相同的框架结构。Co4(SO4)4簇作为一种新结构,在Co基团簇中是独一无二的,其通过Co─Npyridyl键与金属吡啶卟啉连接,合成了Co4-M-MOFs(M = Co、Cu、Zn)。通过理论研究,发现Co4(SO4)4簇中的两个相邻钴原子协同作用,促进O─O键的形成,从而证明了其在氧气生成反应中的催化活性。该研究工作展示了一种前所未有的Co4(SO4)4簇,并证明了其在OER中的催化活性和两个相邻钴原子的协同作用。

图1. (a) 合成Co4-M-MOFs (M=Cu, Co, Zn) 的示意图及其晶体结构。(b) Co4(SO4)4簇的配位结构。(c) Co4(SO4)4簇中的键长和键角。
通过CoSO4和金属吡啶卟啉配合物(MTPyP, M = Co, Cu, Zn)在N,N-二甲基甲酰胺(DMF)中的溶剂热反应(130 °C, 12 h)合成了Co4-M-MOFs,并进行了详细的结构表征。研究结果显示,所合成的Co4(SO4)4簇在结构上前所未有。通过单晶X射线衍射,确认了Co4-Co-MOF的结构(图1a),具有化学式[Co4(SO4)4(CoTPyP)₂]。在Co4(SO4)4簇中,四个Co2+离子通过四个硫酸根阴离子相互连接,每个Co2+离子由三个硫酸根阴离子的四个氧原子和两个吡啶基的两个氮原子配位,形成六配位八面体几何结构(图1b)。Co─O键长为2.07至2.16 Å,Co─N键长为2.10至2.14 Å,两个Co离子之间的距离均为3.72 Å(图1c)。单晶结构显示,Co4-Cu-MOF和Co4-Zn-MOF与Co4-Co-MOF具有相同的框架结构。粉末X射线衍射(XRD)分析显示,这些Co4-M-MOFs的测得衍射图谱与计算图谱一致,证明其纯度(图2a, d, g)。X射线光电子能谱(XPS)分析确认了Co2+离子的存在,且Co4-Cu-MOF和Co4-Zn-MOF表现出与Co4-Co-MOF相似的Co 2p、O 1s、S 2p和N 1s XPS信号(图2b, e, h)。

图2. (a, d, g) Co4-M-MOFs (M = Co, Cu, Zn) 的XRD图谱,(b, e, h) Co4-M-MOFs的M 2p的XPS光谱,(c, f, i) Co4-M-MOFs的偏光显微镜照片。
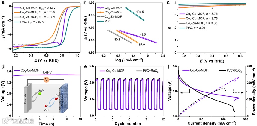
Co4-M-MOFs(M=Co, Cu, Zn)在电催化氧析出反应(OER)中表现出显著活性。将Co4-M-MOFs与碳纳米管(CNTs)混合以提高电导率,线性扫描伏安图(LSV)显示,Co4-Co-MOF在电流密度为10 mA cm−2时的过电位为357 mV(图3a,1.0 M KOH),与商业RuO2相近。X射线光电子能谱(XPS)分析进一步确认了这些MOFs中Co2+离子的存在。通过对差分脉冲伏安图(DPV)和循环伏安图(CV)的研究,确定了Co4(SO4)4簇在电催化过程中的氧化还原行为(图3b, c, d)。此外,生成的O2通过气相色谱分析,法拉第效率超过90%,且Co4-Zn-MOF在长期电解中表现出良好的稳定性。

图3. (a) Co4-M-MOFs (M = Co, Cu, Zn)、ZnTPyP、未改性CNT和商业RuO2的OER性能(1.0 M KOH)。(b) Co4-Cu-MOF和CuTPyP的DPV数据。(c) Co4-Cu-MOF在不同pH值KOH溶液中的CV数据。(d) Co4-Cu-MOF在不同pH值KOH溶液中的DPV数据。(e) 在j = 10 mA cm−2时电位与pH值的关系图。(f) Co4-Cu-MOF的Tafel图。
通过密度泛函理论计算了Co4(SO4)4簇在电催化析氧反应(OER)中的催化活性。基于晶体结构构建了计算模型,包括Co4(SO4)4簇、CoTPyP、CuTPyP和ZnTPyP单元。结果表明,Co4(SO4)4簇在OER反应路径中表现出最低的过电位(0.21 V),其中两个相邻Co离子的协同作用在O─O键形成中起重要作用。相比之下,MTPyP单元的过电位较高,分别为0.41 V(Co)、1.36 V(Cu)和1.30 V(Zn),这与实验结果一致,Co4-Co-MOF的OER活性最高,该结果也进一步验证了多核金属簇在多电子转移反应中的优势。

图4. OER(析氧反应)的自由能图:(a, b) Co4(SO4)4,(c) CoTPyP,(d) CuTPyP,(e) ZnTPyP位点。插图为计算模型和中间体结构的俯视图。
Co4-M-MOFs(M = Co, Cu, Zn)在电催化ORR中也表现出优异的催化活性。Co4-Co-MOF在O2饱和的0.1 M KOH溶液中,半波电位E1/2为0.83 V(vs RHE),优于许多已报道的电催化剂(图5a)。Tafel斜率表明,Co4-Co-MOF具有较高的ORR动力学性能(图5b)。电子转移数测试表明,Co4-M-MOFs中,多核金属簇Co4(SO4)4具有明显的4e- ORR选择性。此外,Co4-M-MOFs在长期ORR电解过程中表现出良好的稳定性。由于Co4-Co-MOF在OER和ORR中的高活性,其被用于组装可充电锌空气电池,其开路电压为1.49 V,充放电电压间隙为0.91 V,峰值功率密度为230 mW cm−2,显示出优异的金属-空气电池性能(图5d, 5e和5f)。

图5. (a) 在0.1 M KOH溶液中测量的Co4-M-MOFs和Pt/C的ORR(氧还原反应)LSV数据,(b) Tafel图和(c) 电子转移数n值。(d) Co4-Co-MOF电池的开路电压。(e) Co4-Co-MOF和Pt/C+RuO2在j = 2 mA cm−2时的充放电曲线,以及(f)放电极化数据和相应的功率密度。
总之,该研究报道了一系列同构的卟啉基MOFs的合成,这些MOFs都包裹了独特的Co4(SO4)4簇,以及这些Co4(SO4)4簇在析氧反应(OER)和氧还原反应(ORR)中的电催化性能。在溶剂热条件下,CoII硫酸盐与MTPyP(M=Co, Cu, Zn)的反应生成了相应的Co4-M-MOFs。研究结果显示,这些Co4-M-MOFs对OER具有活性,并且在四电子ORR中也表现出活性和选择性。通过调节金属卟啉单元,证明了Co4(SO4)4簇在氧电催化中具有活性,并显著提高了Co4-M-MOFs的活性。使用CoTPyP作为连接单元,得到的Co4-Co-MOF在这一系列MOFs中显示出最高的电催化活性,表现为OER η10 = 357 mV和ORR E1/2= 0.83 V。理论研究表明,在Co4(SO4)4簇的OER过程中,两个邻近的Co离子上的两个活性*OH (Co)单元能够耦合形成O─O键。这种协同机制可以避免高能中间体*O(Co)的参与。采用Co4-Co-MOF组装的锌空气电池显示出高性能,与Pt/C+RuO2相当。该研究工作展示了独特的Co4(SO4)4簇及其在OER和ORR中的双功能活性,并证明了在这些簇中两个邻近Co原子之间的协同效应,通过高能效耦合机制介导O─O键的形成。
曹睿,陕西师范大学教授,博士生导师,国家杰出青年科学基金获得者,应用表面与胶体化学教育部重点实验室副主任。北京大学学士(2003),美国埃默里大学博士(2008),埃默里大学(2008-2009)和麻省理工学院(2009-2011)博士后。2011年加入中国人民大学,2014年调入陕西师范大学。曹睿教授的研究领域是分子电催化,通过发展新型金属卟啉/咔咯配合物分子催化体系,开展水氧化析氧、水还原析氢、和氧气还原等能源分子催化转化基础研究。主要研究方向包括:(1)分子催化反应机理研究;(2)分子催化剂构效关系研究;(3)分子催化剂多相化研究。以通讯作者在Angew. Chem. Int. Ed.(22篇)、J. Am. Chem. Soc.(2篇)、Chem. Sci.(5篇)、ACS Catal.(6篇)等期刊发表论文160余篇;受邀撰写Acc. Chem. Res.评述文章,撰写Chem. Rev.(2篇)和Chem. Soc. Rev.(3篇)等综述文章;2011年入选国家海外高层次人才引进计划,2018年获得霍英东青年教师基金,2020年获得国际卟啉与酞菁协会“青年科学家奖”等荣誉;担任Chemistry Europe Award 评奖委员会委员;担任ChemSusChem编委会主席,Chem. Soc. Rev.编委和客座编辑,Chinese J. Catal.青年编委和客座编辑,Chinese Chem. Lett., J. Electrochem.和ChemPhysChem等期刊编委。
郑浩铨,陕西师范大学教授,博士生导师,陕西省杰出青年基金获得者。2006年获得上海交通大学应用化学专业学士学位,并继续于在同一学校同一专业直接攻读博士学位,师从车顺爱教授。2011获得上海交通大学应用化学专业博士学位,2012年赴瑞典斯德哥尔摩大学邹晓冬教授课题组从事博士后研究工作。2016年8月回国参加工作。已在J. Am. Chem. Soc.、Angew. Chem. Int. Ed.、Coord. Chem. Rev.、Chem. Mater.等国际知名学术期刊上发表研究论文80余篇,H-index为37。研究内容:多级孔材料的可控合成、结构设计、稳定化及其在新能源、催化及药物释放等领域的应用。
林海平,陕西师范大学教授,博士生导师。2003年获得青岛大学学士学位、2004年获得英国利物浦大学(The University of Liverpool)硕士学位(优秀毕业生)、2008年获得英国利物浦大学博士学位。硕、博导师为英国皇家科学会成员Werner Hofer教授。博士学习期间在德国马普学会Fritz-Haber研究所Matthias Scheffler教授和Karsten Reuter教授团队(2005-2006)进行了为期1年的合作培养。博士后工作期间在丹麦工业大学(Technical University of Denmark)Jens Nørskov教授课题组(2008-2009)进行了为期1年的学术访问,并共同为GPAW计算软件包开发了基于格林函数方法的STM模拟计算模块。回国后联合使用第一性原理计算、机器学习数据分析方法和实验室合成与测试等研究方法,对当前关键的物理、化学、材料和信息工程问题进行多维度的科学研究并提出解决方案。目前已在包括Nat. Chem.、Nat. Commun.、J. Am. Chem. Soc.、Angew. Chem. Int. Ed.等国际权威学术期刊发表SCI论文100余篇,高被引论文8篇,H index = 37。
梁作中,陕西师范大学副研究员,2016年6月毕业于北京化工大学化学工程学院,获工学博士学位,导师陈建峰院士。2014年9月-2015年9月,在美国纽约大学化学系进行联合培养,合作导师Bart Kahr教授。2016年7月加入陕西师范大学化学化工学院曹睿教授团队,2019年晋升为陕西师范大学副研究员,2020年入选“陕西省科协青年人才托举计划”,2022年入选“2023年度陕西省青年科技新星”。近年来,主要从事新能源领域电催化析氧和氧还原反应等催化剂的设计、制备及其在电解水、氢燃料电池和金属-空气电池等器件的应用研究。主持国家自然科学基金面上项目、青年项目、陕西省重点研发计划和陕西省自然科学基金基础研究计划等多项。以第一作者或通讯作者在Angew. Chem. Int. Ed.(4篇)、Adv. Mater.(1篇)和J. Am. Chem. Soc.(1篇)等国内外知名学术期刊上发表论文30余篇,其中,高被引论文5篇,热点论文1篇。
周国军,中石化(上海)石油化工研究院有限公司院专家。西安交通大学学士(2012年);西安交通大学博士(2017年),导师郑彦臻教授。2018-2021年,在陕西师范大学化学化工学院曹睿教授课题组,作为博士后从事金属卟啉框架材料的合成和催化性能的研究,2021-2024年,在瑞典斯德哥尔摩大学黄哲昊研究员课题组,先后作为博士后、研究员从事三维电子衍射方面的研究。2024年加入中石化(上海)石油化工研究院有限公司。主持中石化“双百”人才项目,博士后创新人才支持计划,博士后面上项目。以第一作者在J. Am. Chem. Soc.(1篇)、Angew. Chem. Int. Ed.(1篇)、Adv. Mater.(1篇)等国内外知名学术期刊上发表论文20余篇。
谭煌,广东工业大学材料与能源学院博士研究生,硕士就读于陕西师范大学(2020-2023)。2023年9月加入广东工业大学材料与能源学院熊世云教授课题组,主要从事OER、ORR、CO2RR、PDH等的催化机理研究。目前已发表Adv. Mater.和Angew. Chem. Int. Ed.论文各一篇。
课题组网站链接:http://glx.sy.snnu.edu.cn/thecaogroup/index.htm
欢迎关注我们,订阅更多最新消息
“邃瞳科学云”推出专业的自然科学直播服务啦!不仅直播团队专业,直播画面出色,而且传播渠道多,宣传效果佳。
“邃瞳科学云"平台正在收集、整理各类学术会议信息,欢迎学会、期刊、会议组织方择优在邃瞳平台上进行线上直播,希望藉此帮助广大科研人员跨越时空的限制,实现自由、畅通地交流互动。欢迎老师同学们提供会议信息(会有礼品赠送),学会、期刊、会议组织方商谈合作,均请联系潘经理:18612651915(微信同)。
投稿、荐稿、爆料:Editor@scisight.cn