第一作者:邹海、祁育
通讯作者:章福祥研究员
通讯单位:中国科学院大连化学物理研究所
论文DOI:10.1021/jacs.4c08001
太阳能光催化全分解水制氢因其环境友好性而成为研究热点。该技术涉及能带结构、吸光系数、载流子特性等物理化学参数,是一个多时空尺度的复杂过程。尽管众多研究致力于分析各因素对光催化效率的影响,但对全分解水过程中的关键速率步骤仍缺乏深入理解。最近,大连化学物理研究所章福祥研究团队,基于稀土元素的物理化学特性,通过A位稀土原子替代策略,合成了钙钛矿型RTaON2(R = Pr、Nd、Sm、Gd)并用作模型光催化剂进行研究,实验结果表明氧化反应速率是光催化全分解水过程中的关键决定因素。
利用太阳能驱动的水分解制氢技术因其绿色、可持续和应用前景广阔而成为研究的热点。光催化全分解水制氢技术涉及复杂的物理化学过程,包括光吸收、电荷分离与转移、表面催化反应等多个阶段。这一过程不仅与半导体的能带结构紧密相关,还受到吸光系数、载流子浓度、载流子寿命、表面过电势等多种因素的影响。虽然众多研究已经致力于分析和优化这些影响因素,但对于光催化全分解水过程中的关键速率决定步骤的理解仍然有限。其中一个主要障碍是缺少合适的模型来系统分析各个因素如何影响光催化性能。
ABX3型钙钛矿结构半导体材料,因其卓越的物理化学特性,在光催化领域展现出巨大的应用潜力。通过精细调控钙钛矿结构中原子的组成,可以有效调节材料的电子结构和光催化性能。过往研究多集中于通过过渡金属阳离子调控B位,以直接影响导带的构成。然而,越来越多的证据表明,钙钛矿结构中的A位原子同样在能带结构特性中扮演着重要角色。利用物理化学性质相似的稀土元素替代钙钛矿结构中的A位阳离子,有望开发出结构相似但光催化特性各异的模型材料,为深入探究光催化全分解水过程中的速率控制步骤提供新的研究平台。
本研究的创新之处在于巧妙地利用了稀土元素独特的物理化学属性,通过A位稀土原子替代法,合成了钙钛矿型RTaON2(R = Pr、Nd、Sm、Gd)光催化剂。这一策略不仅开拓了调控光催化性能的新途径,而且通过深入分析A位原子如何影响材料的光吸收、电荷分离效率以及光催化水分解性能,本研究进一步阐明了表面氧化反应是影响光催化效率的关键因素。

图1展示了合成样品RTaON2(R = Pr, Nd, Sm, Gd)材料的结构与形貌特征。如图1a所示的粉末X射线衍射(XRD)图谱揭示了随着稀土元素从Pr至Gd的替换,RTaON2系列化合物的XRD峰位置逐渐向更小角度偏移,这一现象归因于稀土元素离子半径的递减。离子半径的缩小导致了晶格参数的调整,并对钙钛矿结构的容差因子产生了影响,使得结构逐步偏离了理想的钙钛矿构型。通过XRD数据的精确细化,我们得到了RTaON2晶体结构的示意图,其中GdTaON2的结构在图1b中作为示例被展示,表现出其典型的钙钛矿结构特征。此外,借助高分辨率扫描电子显微镜图像,我们观察到RTaON2光催化剂呈现出微粒状结构,并具有多孔形态(参见图1c-f)。这种多孔结构的形成很可能是在氮化过程中由于氧离子被氮离子替代导致单元体积减小所致。同时,氮气吸附-脱附实验的结果揭示了这些光催化剂具有不同的比表面积,这一特性可能与其在光催化反应中的活性有着直接的联系。图1的分析结果表明RTaON2具有类似的晶体结构和形貌特征。

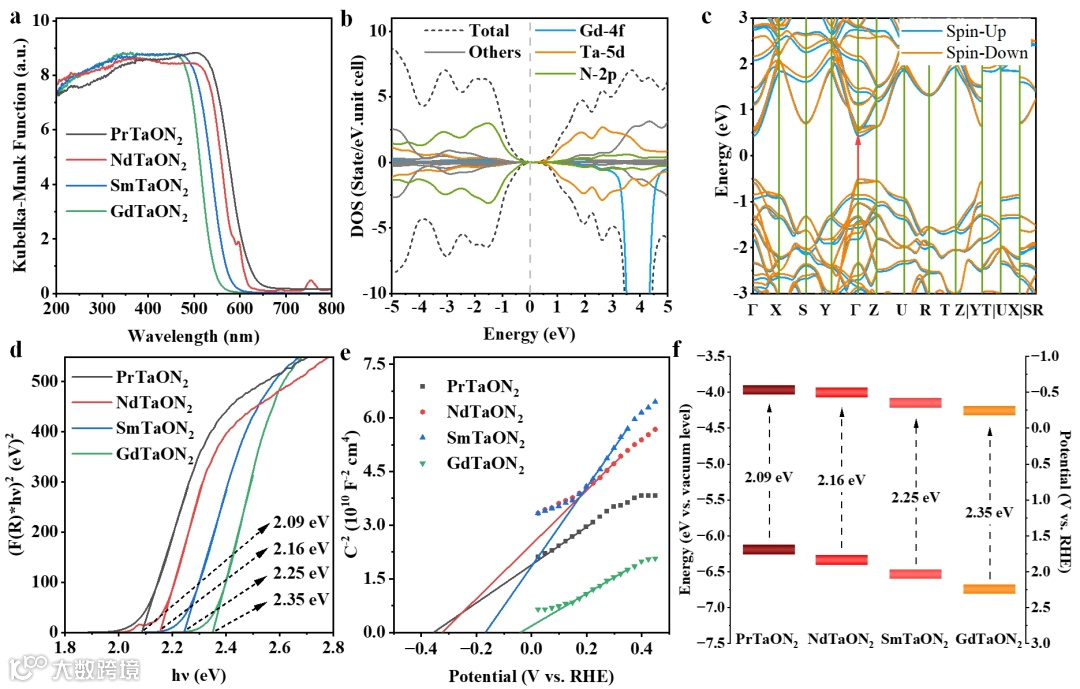
图2 能带结构表征
图2展示了钙钛矿型RTaON2(R = Pr, Nd, Sm, Gd)光催化剂的能带结构分析。紫外-可见漫反射光谱(UV-Vis DRS)(图2a)揭示,随着稀土元素原子序数的增加,RTaON2系列光催化剂的光吸收带边逐渐蓝移,表明其对太阳能光谱的利用范围逐渐变窄。电子态密度分析(图2b,c)显示,GdTaON2的价带主要来源于N 2p轨道,而导带则由Ta 5d轨道主导。Tauc图(图2d)计算的带隙宽度从PrTaON2的2.09 eV递增至GdTaON2的2.35 eV,体现了稀土元素替换对带隙的调控效应。Mott-Schottky曲线测试(图2e)确认了RTaON2系列的n型半导体特性,并观察到导带和价带边缘随稀土元素变化而正移(图2f),暗示着材料的氧化还原电位提高,有助于推动氧化反应。

图3 电荷分离特性与结构解析
图3通过时间分辨光致发光(TRPL)和瞬态吸收光谱(TAS)技术细致探究了钙钛矿型RTaON2(R = Pr, Nd, Sm, Gd)光催化剂的电荷分离与转移特性。TRPL结果(图3a)显示,RTaON2中载流子寿命按照PrTaON2、NdTaON2、SmTaON2和GdTaON2的顺序逐渐降低。TAS技术进一步揭示了光生空穴和电子的快速衰减过程(图3b),拟合结果揭示PrTaON2具有最长的载流子寿命而GdTaON2最短,反映出电荷分离和转移效率的逐渐降低。能带结构和电荷分离特性的变化归因于不同稀土元素原子的引入。由DOS计算知道导价带主要与Ta与N元素相关,因此主要考虑Ta-N键角和键长的变化。扩展X射线吸收精细结构(EXAFS)分析表明,Ta-O/N键长在NdTaON2、SmTaON2和GdTaON2中保持一致(图3c),暗示能带结构的变化并非源自键长的改变。相反,Ta-O/N八面体间键角的减小,降低了材料对称性,减少了Ta与O/N轨道间的重叠,从而可能导致带隙增大和载流子寿命缩短,影响光催化性能。

图4详尽地展现了钙钛矿型RTaON2(R = Pr, Nd, Sm, Gd)光催化剂在可见光照射下的光(电)催化性能。图4a实验数据显示,随着稀土元素从Pr向Gd的过渡,光催化剂的产氢效率逐渐提高,这一现象与价带的正向移动及氧化反应动力学的增强有着直接的联系。进一步的,我们构建了Z型光催化全分解水体系(图4c),通过Pt/RTaON2作为产氢催化剂,PtOx/WO3作为产氧催化剂,以及IO3-/I-作为电子介质的协同作用,成功实现了高效的水分解反应,并且气体的生成速率与氧化动力学的增强趋势相吻合。进一步的光电化学测试结果(图4b、d))支持了光催化剂的气体生成速率的提高与氧化光电流的增加相一致,这进一步证实了表面氧化反应动力学在光催化分解水过程中可能作为速率决定步骤。
因此,本工作设计合成了RTaON2(R = Pr、Nd、Sm和Gd)用作模型光催化剂,探究证明了氧化动力学是直接影响光催化分解水性能的速控步骤。这项研究不仅提供了一个阐释光催化分解水活性关键要素的模型,而且对于设计新型高效的光催化系统具有重要的指导意义。
章福祥,中国科学院大连化学物理研究所研究员、博导,“太阳能制储氢材料与催化研究组”组长,曾获得国家自然科学基金杰出青年基金,英国皇家化学会会士,“百千万人才工程”国家级人选,获得“具有突出贡献中青年专家”称号,享受国务院特殊津贴。长期从事太阳能光化学转化研究,在光催化、电催化、材料精准合成、原位表征与催化反应机理研究等方向取得了系列创新性研究成果:设计合成了系列具有宽范围可见光捕光、高效催化水氧化、选择性催化二氧化碳还原、合成氨等功能的新材料,报道了首例多相催化水氧化TOF值可媲美自然光合PSII系统的人工水氧化催化剂;发展了系列材料精准合成和界面调控的新方法和新策略,取得了高效多相水氧化、催化二氧化碳选择性还原、合成氨等反应机理新认识;组装了系列可见光催化全分解水制氢的粉末悬浮体系,不仅大幅拓宽了可见光的利用范围,而且多次刷新并保持了粉末悬浮体系可见光催化全分解水制氢的表观量子效率国际记录。已在Nat. Catal., Nat. Commun., Joule, J. Am. Chem. Soc., Angew. Chem. Int. Ed. 和 Adv. Mater. 等期刊发表系列高水平学术论文。
课题组长期招聘海内外优秀青年职工和博士后,欢迎推荐并与章老师联系:fxzhang@dicp.ac.cn
课题组主页:zhanglab.dicp.ac.cn
欢迎关注我们,订阅更多最新消息
“邃瞳科学云”推出专业的自然科学直播服务啦!不仅直播团队专业,直播画面出色,而且传播渠道多,宣传效果佳。
“邃瞳科学云"平台正在收集、整理各类学术会议信息,欢迎学会、期刊、会议组织方择优在邃瞳平台上进行线上直播,希望藉此帮助广大科研人员跨越时空的限制,实现自由、畅通地交流互动。欢迎老师同学们提供会议信息(会有礼品赠送),学会、期刊、会议组织方商谈合作,均请联系18612651915(微信同)。
投稿、荐稿、爆料:Editor@scisight.cn