
第一作者: Hassina Tabassum, Shreya Mukherjee, Junjie Chen, Domoina Holiharimanana
通讯作者:武刚,Eleni A. Kyriakidou,葛庆峰,Sooyeon Hwang
通讯单位:美国纽约州立大学布法罗分校,美国南伊利诺伊大学,美国布鲁克海文国家实验室
论文DOI: https://doi.org/10.1039/D1EE03730G

全文速览
氢 (H2) 是一种有前景的、零碳的、高能量密度的清洁能源,可代替化石燃料。氨(NH3)是一种很有潜力的氢气(17.7%)载体,可以轻松克服与储存和运输相关的缺点。热催化氨分解反应(ADR)是获得清洁氢气的有效方法,但依赖于昂贵且稀少的钌(Ru)基催化剂,因此该过程不可持续且经济上不可行。本文报告了一种新的协同策略来设计一种异质结构的无钌催化剂。该催化剂由分散在 MgO-CeO2-SrO 混合氧化物载体上的 CoNi 合金纳米颗粒组成,并进一步提升了钾的含量。 K-CoNialloy-MgO-CeO2-SrO 催化剂在 450 ℃ 的 6000 mL h-1 gcat-1和 12000 mL h-1 gcat-1的 GHSV 中分别表现出 97.7% 和 87.50% 的 NH3 转化效率。在 500 ℃ 时,H2 产率 (57.75 mmol gcat-1min-1) 与大多数报道的 Ru 基催化剂相当。催化剂的稳定性已在高压下的固定床反应器(5.0 bar 下,120 小时)和 500 ℃ 下的膜反应器(1.5 bar 下,600 小时)中得到成功证明。该研究进行了高温原位 XPS 分析、程序升温解吸/还原和密度泛函理论计算,以阐明可能的活性位点和性能增强机制。这项工作强调了在活性金属纳米颗粒和氧化物载体之间构建最佳界面对于提高 NH3 到 H2 的转化效率和长期稳定性的重要性。

背景介绍
目前,人们致力于遏制日益加剧的气候变化。因此,可持续发展和可再生能源探索已吸引了全球范围内的广泛关注。由于氢(H2)的高重量能量密度,及其在零排放汽车、辅助动力装置和工业应用清洁能源中的领先地位,氢受到了相当大的关注。然而,能源密集型氢气储存和运输,是目前开发氢基技术(如燃料)的重大障碍。因此,高效、低成本和可持续的 H2 生产、储存和运输技术,是非常必须且紧迫的。由于氨的氢含量高(17.8%),而且在低压(8.6 bar)和低温度(20 ℃)下易于液化,热氨 (NH3) 分解反应 (ADR)(即氨裂解)制氢已在清洁能源中占有一席之地。高效和耐用的催化剂对于在低温下利用ADR实现输入 NH3 气体完全转化至关重要。众所周知,钌 (Ru) 是一种用于催化 ADR 的金属催化剂,但由于其稀缺性和高成本,阻碍了其商业规模的应用。研究人员通过将钌纳米粒子分散在各种载体上,包括碳纳米管和金属氧化物,来降低催化剂的成本。然而,由于在经济可行的温度(<450 ℃)下的转化效率不完全、稳定性不足以及成本过高,这些催化剂仍然不能满足工业需求。用高丰度的廉价催化剂来替代昂贵的 Ru 催化剂,将加速这种氨裂解技术在全球范围内的商业化,实现分布式清洁制氢。因此,从高丰度的金属中探索廉价、高活性和耐用的催化剂用于 ADR 非常重要。
最近,包含活性金属(例如,Co、Ni 或 Fe)、高比表面积载体(例如,CaNH、Al2O3 和 SiO2)和给电子促进剂(例如,Ce、La、Na 和 K)的异质结构催化剂,已被广泛研究用于提高 ADR 活性。在众多现有催化剂中,与单金属活性相相比,具有特定载体和促进剂的双金属(例如 NiFe 和 CoMo)合金已被视为 ADR 中有潜力的候选催化剂。通常,载体可以稳定金属纳米颗粒以增加活性位点密度、调节表面化学,并促进反应过程中的中间体扩散。特别是,异质结构催化剂的最佳碱度提高了在 ADR 过程中形成双原子氮键的催化活性和能力。此外,与未优化的催化剂相比,碱金属已被视为增强活性的促进剂。然而,选择合适的活性金属、载体、促进剂及其具有最佳化学计量的界面,仍然是实现 ADR 高活性和出色稳定性的巨大挑战。

图文解析
图 1. 不同催化剂的形貌分析。异质结构的 (a) TEM 和 (b-d) HRTEM图像。 (e-g)异质结构中重叠晶格平面的 HRTEM图像。(h) 各自混合的异质结构的 FFT图像。(i) K-CoNialloy-MgO-CeO2-SrO 的 HADF-STEM 及其元mapping图像。(j) CoNialloy-MgO-CeO2-SrO的模型示意图。 (k) K-CoNialloy-MgO-CeO2-SrO 和对比催化剂的 XRD 谱图。
图 2. K-CoNialloy-MgO-CeO2-SrO催化剂的ADR活性和稳定性。 (a) K-CoNialloy-MgO-CeO2-SrO在不同反应温度下的 ADR 活性。 (b) K-CoNialloy-MgO-CeO2-SrO 与不同混合氧化物载体的 NH3 分解效率(>99.99% NH3)比较。 (c) 在不同温度下、在 MgO-CeO2-SrO上负载不同化学计量 CoNi、Ni 和 Co 的催化剂的活性比较。 (d) K-CoNialloy-MgO-CeO2-SrO催化剂在不同温度下的产氢率。 (e) 不同类型的 ADR 催化剂的 NH3 反应速率比较。 (f) 在 500 °C 下,在 K-CoNialloy-MgO-CeO2-SrO上使用纯 NH3进行稳定性测试。GHSV 为 mL h-1 gcat-1,压力为 1.5 bar。插图是在膜反应器中稳定性测试前后XRD谱图比较。
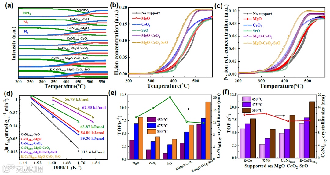
图 3. 不同条件对催化性能的影响。 (a) 对于在不同载体上的 CoNi 合金,出口气体 NH3、N2 和 H2(分别为绿色、红色和蓝色曲线)的 MS 信号。对于在不同载体上的 CoNi 合金,不同温度下的 (b) H2 和 (c) N2 的浓度。 (d) 不同金属纳米粒子在混合氧化物 MgO-CeO2-SrO上的活化能。 (e) CoNi 合金在不同载体上和 (f) 不同金属纳米粒子在 MgO-CeO2-SrO载体上的 TOF 和微晶尺寸比较。
图 4. 不同催化剂的结构比较。 (a-b) CoNi合金催化剂在不同载体上的去卷积H2-TPR曲线。 (c, d) 不同催化剂的 CO2-TPD曲线。 (e-i) K-CoNialloy-MgO-CeO2-SrO 在 500 ℃ 的 NH3下的原位 (e) Co 2p、(f) Ni 2p、(g) Ce 3d、(h) Mg 1s 和 (i) Sr 3d XPS 曲线。
图 5. CoNi合金、金属氧化物及其相互作用在氨分解中的关键作用的理论分析。 (a) 在 Co (111)、Co2Ni (111)、CoNi2 (111)、Ni (111) 和 CeO2/Co2Ni (111) 上, NH3 分解和 N2 形成的简化能量分布。 C-H 键断裂、H2 解吸和 N-N 重组解吸分别由蓝线、绿线和红色虚线表示。 (b) CeO2/Co2Ni (111) 表面晶胞的俯视图。显示了表面金属原子的 Badger 电荷值。 (c) 在合金(左侧)和合金-氧化物界面(右侧)上, NH3 解离和 N2 形成的能量分布。研究的氧化物包括 CeO2 和 MgO,显示出相同的趋势。

总结与展望
基于上述结果,本文报道了一种协同策略,用于构建基于活性金属、氧化物载体和促进剂的异质结构催化剂,可作为高性能无钌催化剂。该催化剂由分散在混合氧化物(包括镁 (Mg)、铯 (Ce) 和锶 (Sr))载体上的 CoNi 合金纳米颗粒组成,并使用 K 助剂改性,表示为 K-CoNialloy-MgOCeO2-SrO。它具有协同效应,明显提升了 ADR 的催化活性和稳定性。在经济可行的温度(即 450 ℃)下、气时空速 (GHSV) 值分别为 6000 和 12000 mL h-1 gcat-1时,性能最佳催化剂的 NH3 转化效率分别为 97.7% 和 87.5%。在 500 ℃ 完全转化下,实现了超高的 57.75 mmol gcat-1min-1 的 H2 产率,与大多数研究的 Ru 基催化剂相当。更重要的是,该无钌催化剂已成功应用到原型膜反应器中,在 500 ℃ 和 1.5 bar 下表现出长达 600 小时的出色稳定性。
声明
本文仅供科研分享,不做盈利使用,如有侵权,请联系后台小编删除
“邃瞳科学云”直播服务
“邃瞳科学云"平台正在收集、整理各类学术会议信息,欢迎学会、期刊、会议组织方择优在邃瞳平台上进行线上直播,希望藉此帮助广大科研人员跨越时空的限制,实现自由、畅通地交流互动。欢迎老师同学们提供会议信息(会有礼品赠送),学会、期刊、会议组织方商谈合作,均请联系翟女士:18612651915(微信同)。
投稿、荐稿、爆料:Editor@scisight.cn
扫描二维码下载
邃瞳科学云APP

