
第一作者:兰天伟 博士
通讯作者:张登松 教授,Prof. Emiliano Cortés
通讯单位:上海大学,慕尼黑大学
论文DOI:10.1002/anie.202415786
由于其高活性金属原子利用率和独特的几何、电子效应,单原子催化剂(SACs)在近些年来备受关注。当前,优化SACs在多相催化反应,尤其是与大气污染控制相关的环境催化反应中的活性和选择性是关键难题。本研究以经典的Pt1/CeO2 SACs为出发点,制备了由Keggin型磷钨酸(HPW)改性的CeO2载体负载Pt SAs的Pt1/CeO2-HPW催化剂。研究发现,该催化剂中独特的多酸介导的电子相互作用(PMEI)可同时实现对传统Pt1/CeO2催化剂中过氧化能力的抑制与酸性的提升,最终显著提升了其在NH3的选择性催化氧化、NOx的选择性催化还原、正丁胺的选择性催化氧化、NOx与含氯VOCs的协同催化净化中的催化活性和选择性。本研究为单原子催化剂在大气污染控制中活性和选择性的平衡提供了思路。
单原子催化是近年来催化领域中最热门的话题之一,以贵金属为活性组分的SACs在各种环境和能源相关的多相催化反应中扮演着无可比拟的角色。其中,Pt1/CeO2催化剂由于其上Pt的单分散倾向性和Pt SAs可调的几何结构而被广泛研究。为了优化Pt1/CeO2催化剂在不同催化过程中的性能,研究人员开发了各种调节Pt SAs在CeO2上几何结构的方法,如通过控制煅烧温度、热冲击、过渡金属掺杂、非金属修饰等策略可调节Pt SAs在CeO2上的位置或配位数,从而调变其在催化反应中的活性。然而,通过特定方法调控Pt SAs在CeO2上的电子结构,及其在催化反应中的选择性的相关报道仍较少。
(1) 通过几何结构表征技术结合密度泛函理论计算证实了Pt1/CeO2-HPW上存在非接触式Pt SAs与HPW团簇形成的“原子-团簇”对位点。
(2) 通过电子结构表征技术结合密度泛函理论计算证实了Pt1/CeO2-HPW上存在多酸介导的电子相互作用(PMEI),即HPW作为吸电子基团得到来自CeO2中的电子,进而导致Pt SAs向缺电子CeO2转移更多电子。相比于传统Pt1/CeO2上的Pt SAs,Pt1/CeO2-HPW上的Pt SAs处于更缺电子状态。
(3) PMEI缓解了Pt1/CeO2原本的过氧化能力并提升了酸性强度与酸位数量,使得Pt1/CeO2-HPW催化剂在NH3的选择性催化氧化、NOx的选择性催化还原、正丁胺的选择性催化氧化、NOx与含氯VOCs的协同催化净化中展现出高净化效率与N2/CO2选择性。
作者首先制备了0.5 wt% Pt负载量的Pt1/CeO2与Pt1/CeO2-HPW催化剂,并通过XRD精修、Raman光谱、CO-DRIFTS、AC-HAADF-STEM和XAFS数据证实两种催化剂上的Pt为单原子状态。更重要的是,结合上述实验数据与DFT计算结构,证实了在Pt1/CeO2-HPW催化剂上形成了非接触式Pt SAs与HPW团簇的“原子-团簇”对位点。

图1 催化剂的几何结构表征数据
作者进一步通过CO-DRIFTS、XPS、DFT计算等方法发现了由于HPW的吸电子特性导致的在CeO2上更缺电子的Pt SAs,证实了由上述独特的几何结构所引发的电子结构变化,并在此将其定义为多酸介导的电子相互作用,即PMEI。

图2 催化剂的电子结构表征数据
接下来作者对两种催化剂的氧化能力与酸性进行了表征。结合实验研究与理论计算结果可以发现,PMEI抑制了Pt1/CeO2-HPW催化剂对气相O2的活化能力以及晶格氧活性,即有效调节了传统Pt1/CeO2催化剂的过氧化能力。另一方面,HPW的引入大幅提升了催化剂的酸性强度和酸位数量,即提升了对NH3的吸附与活化能力。

图3 催化剂的氧化能力和酸性表征数据
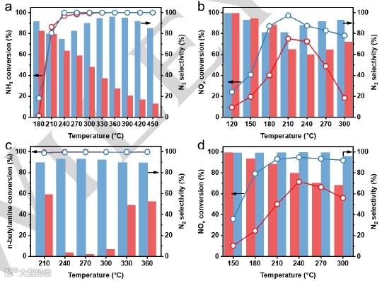
上述由PMEI所平衡的氧化能力与酸性,使得Pt1/CeO2-HPW催化剂在NH3的选择性催化氧化、NOx的选择性催化还原、正丁胺的选择性催化氧化、NOx与CVOCs的协同催化净化中展现出高净化效率与N2/CO2选择性,并在模拟真实工况中展现了良好稳定性。

图4 环境催化性能评价数据
本研究通过多酸改性的CeO2负载Pt SAs得到了Pt1/CeO2-HPW催化剂,实验数据与理论计算结构均证实了其上Pt SAs与HPW团簇“原子-团簇”对位点的存在。进一步通过实验数据与理论计算证实了该几何结构引发了独特的PMEI效应,并实现了对Pt1/CeO2-HPW催化剂上Pt SAs电子结构的调控。相比于传统Pt1/CeO2催化剂,Pt1/CeO2-HPW催化剂上的PMEI效应抑制了其原有的过氧化能力,并提升了其对NH3的吸附与活化,使之在NH3的选择性催化氧化、NOx的选择性催化还原、正丁胺的选择性催化氧化、NOx与含氯VOCs的协同催化净化中实现了高催化活性与选择性。这项工作为环境催化中的单原子催化剂设计与研究提供了有益见解。
Tianwei Lan, Rambabu Yalavarthi, Yongjie Shen, Min Gao, Fuli Wang, Qingmin Hu, Pengfei Hu, Mohsen Beladi-Mousavi, Xin Chen, Xiaonan Hu, Huiqian Yang, Emiliano Cortes*, Dengsong Zhang*, Angew. Chem. Int. Ed. 2024, e202415786.
https://onlinelibrary.wiley.com/doi/10.1002/anie.202415786
第一作者:兰天伟,博士,2024年毕业于上海大学,师从张登松教授。研究方向为大气污染控制中高效多相热催化剂的设计、构筑与研究。已在Angew. Chem. Int. Ed.、ACS Catal.、Environ. Sci. Technol.、Appl. Catal. B.、Catal. Sci. Technol.等期刊发表了SCI论文20余篇,申请并获授权国家发明专利2项。
通讯作者:张登松,二级教授(研究员),英国皇家化学会会士,全球高被引科学家(科睿唯安,2020至今),中国高被引学者(爱思唯尔,2018至今)。担任上海资源环境新材料及应用工程技术研究中心主任、科技部纳米复合功能材料国际科技合作基地负责人。担任中国化学会理事、中国化工学会化工新材料委员会委员、中国环境科学学会环境化学分会委员等。担任Chinese Chemical Letters副主编、Chemical Physics Impact高级编委等。长期从事能源环境催化的基础与应用研究,发展了多种减污降碳新技术。主持承担了国家杰出青年科学基金、国家优秀青年科学基金、国家自然科学基金重点项目、科技部973计划前期研究专项、国家重点研发计划政府间国际合作重点专项、国家重点研发计划稀土新材料重点专项课题、国家自然科学基金石油化工联合基金、国家自然科学基金面上项目等。已获授权国际发明专利与国家发明专利70余项,多项科研成果在企业中得到推广应用。以通讯作者在Chem. Rev.、Nat. Commun.、Angew. Chem. Int. Ed.、Environ. Sci. Technol.、Adv. Mater.、ACS Catal.、CCS Chem.等国内外期刊发表270余篇SCI论文,被引用2.5万余次,H指数为94。曾荣获上海市新长征突击手、上海市晨光学者、上海市青年科技启明星、上海市育才奖、王宽诚育才奖、上海市青年五四奖章集体(团队负责人)、上海市教委记功2次等,作为完成人之一获高等教育国家级教学成果二等奖,以第一完成人获上海市科技进步一等奖、上海市科技进步二等奖、华夏建设科学技术二等奖等。
欢迎关注我们,订阅更多最新消息
“邃瞳科学云”推出专业的自然科学直播服务啦!不仅直播团队专业,直播画面出色,而且传播渠道多,宣传效果佳。
“邃瞳科学云"平台正在收集、整理各类学术会议信息,欢迎学会、期刊、会议组织方择优在邃瞳平台上进行线上直播,希望藉此帮助广大科研人员跨越时空的限制,实现自由、畅通地交流互动。欢迎老师同学们提供会议信息(会有礼品赠送),学会、期刊、会议组织方商谈合作,均请联系18612651915(微信同)。
投稿、荐稿、爆料:Editor@scisight.cn