
第一作者:石先进
通讯作者:黄宇;曹军骥;熊宇杰
通讯单位:中国科学院地球环境研究所、中国科学院大气物理研究所、中国科学技术大学和安徽师范大学
论文DOI:10.1038/s41467-024-54587-2
由于太阳光能量密度低且供给不稳定,难以实现可控的太阳光驱动CO2资源化转化。工业排放产生的丰富余热可为CO2资源化转化提供稳定能源,但该能源驱动CO2转化过程依赖于使用H2,并且低温工况时无法工作。为此,本文提出一种利用间歇性太阳能从H2O中获取电子和H原子并储存到催化剂中,结合工业余热实现按需CO2转化的方案。作为概念验证,将Cu负载WO3得到Cu/WO3模型催化剂。在光照下,H原子可以通过光催化H2O分解产生,并与光生电子一起储存在Cu/WO3中,形成亚稳态中间体Cu/HxWO3。随后,通过余热低温加热(150–300°C)激活Cu/HxWO3,即可释放储存的电子和H原子,将CO2转化为有价值的产物(CO、CH4和C2H4等)。此外,外场实验证明利用间歇太阳光收集和储存H原子和电子实现按需CO2转化的方案具有可行性。
将CO2转化为有价值的化学品是实现碳中和的有效手段。考虑到转化效率,热催化是CO2转化的最高效方法之一,但其受到能量输入和H2消耗的限制。工业排放的余热可作为热驱动CO2转化的潜在能量来源。该方法的局限在于,当工业余热处于低温范围(如<300°C)时,CO2加氢反应可能难以顺利进行。利用可再生能源进行H2O裂解可得到绿色的H2。然而,太阳能的间歇性特点导致难以实现连续稳定的转化反应,迫使CO2转化设备必须与能量存储设备耦合,从而不可避免地导致成本增加。因此,开发一种稳定收集间歇性太阳能生产氢源的方法,以便与低温热驱动的热催化系统兼容,是至关重要的。
自然光合作用能够解耦光吸收和CO2还原过程,为利用间歇性太阳能提供了思路。自然光合作用在叶绿体中发生光依赖反应,生产NADPH。NADPH可作为还原剂,参与后续的CO2转化反应。通过NADPH参与的能量存储过程,太阳能被高效地捕获并转化为化学能,可用于将CO2转化为维持生命过程所必需的有机分子。为模拟自然光合作用,研究者提出了一种通过H2作为能量存储介质的多步CO2还原途径,其中包括通过光催化产生H2,然后利用H2进行CO2转化。然而,光催化产生的H2会与O2混合,需要进一步分离和纯化,才能转移到传统的CO2加氢反应系统中使用,显著增加了成本。此外,在CO2加氢过程中,H2解离也需要额外的能量输入,其大小取决于所使用的催化剂类型。综上可见,开发一种简单、高效的以H2O为质子源的CO2转化新技术是很有应用前景的。
(1) 设计了一套全新的利用太阳能收集H原子和电子实现CO2资源化转化的方案,成功克服了太阳能供给问题对CO2资源化转化的限制,结合工业余热在相对低温(150–300°C)下实现了按需CO2转化;
(2) 合成了Cu/WO3模型催化剂,证实H原子可以与光生电子一起储存在Cu/WO3中形成Cu/HxWO3,通过余热低温加热(150–300°C)激活Cu/HxWO3即可释放储存的电子和H原子,将CO2转化为有价值的产物(CO、CH4和C2H4等);
(3) 明确了H原子在Cu/WO3催化剂中的转移机制,揭示聚集的电子通过与H 1s轨道中不饱和电子相互作用,导致H原子更倾向于转移到催化剂表面参与CO2还原反应。
文章报道了一种通过催化剂串联太阳能收集和CO2转化的方法,如图1所示。在太阳光照射下,通过光催化分解H2O生成H原子,并将其与电子一起储存在催化剂中。在需要进行CO2还原时,通过低温加热释放储存的电子和H原子,将CO2还原为具有附加值的产物。该方法的可行性通过使用Cu负载的三氧化钨(Cu/WO3)作为模型催化剂得到了验证。Cu/WO3材料可发挥“储库”作用,能够有效地储存太阳光照射下光催化分解H2O生成的H原子和电子,形成Cu/HxWO3中间体。当需要进行CO2还原时,加热Cu/HxWO3中间体可以释放H原子和电子到催化剂表面,参与CO2还原反应。

通过一步软化学方法合成了六方相WO3,然后使用低价态钨在催化剂表面引入Cu位点。XRD结果显示Cu/WO3中只有六方相WO3的衍射峰,没有Cu纳米颗粒的衍射峰(图2a)。XPS证实了Cu元素存在于在Cu/WO3表面(图2b)。HAADF-STEM显示形成了沿c轴堆叠的孔道结构,为H原子的存储提供了位点(图2d, e)。XAFS谱表明Cu价态接近+2,并未形成Cu团簇或颗粒(图2g, h)。H2-TPR谱显示Cu位点会使载体材料还原峰温度降低(图2i),说明存在氢溢流现象,可促进H原子的储存。上述结果表明Cu/WO3催化剂具有存储电子和H原子的潜力。

Cu/WO3催化剂在模拟太阳光照射后颜色从灰色变为深蓝色,产物记作Cu/HxWO3(图3a)。相较于Cu/WO3,Cu/HxWO3在可见光范围内的光吸收性能显著增强。EPR结果显示(图3b),在光照下,催化剂中W(5+)的含量增加,说明成功在催化剂中存入电子。此外,1H NMR谱和FTIR谱结果证实了H原子已成功储存在催化剂中(图3c, d)。催化剂在320 nm 波长下的表观量子效率为 0.66%(图3e)。XAFS结果显示(图3f, g),储存电子和H原子不会导致催化剂晶体结构破坏,有利于催化剂的循环使用。

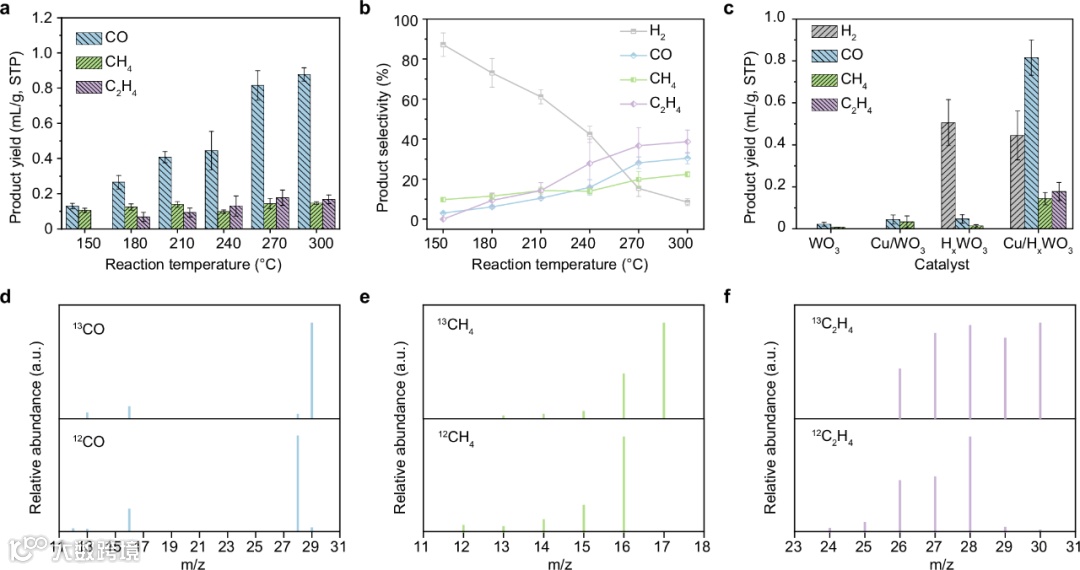
在自制反应器中,不同温度下测试Cu/HxWO3中储存的H原子和电子催化转化CO2的性能。当CO2与Cu/HxWO3在150℃下反应时,仅产生少量CO(0.13 mL/g)和CH4(0.11 mL/g)(图4a)。当反应温度升至180℃时,产物中可检测到少量C2H4(0.07 mL/g)。随着反应温度的升高,储存的H原子用于形成含碳产物的比例逐渐上升(图4b)。此外,当反应温度达到270℃时,储存的电子和H原子主要用于C2H4的形成。直接使用未进行光照处理的WO3和Cu/WO3催化剂进行CO2转化测试,除少量的CO外,未检测到其他含碳产物(图4c),这些产物可能来源于表面残留的碳杂质。随后,在相同条件下测试HxWO3催化剂,检测到少量的H2、CO和CH4,但未见C2H4产物。这可能是由于HxWO3中缺少合适的CO2活化位点。通过同位素标记实验,证实含碳产物确实来源于CO2还原(图4d-f)。

在电子和H原子收集过程中,使用D2O代替H2O,得到Cu/DxWO3催化剂。基于产物生成中H(D)原子和电子的消耗速率,计算得到KIE(H/D)为5.24(图5a)。该结果表明储存的H原子在载体材料中的转移对整个反应至关重要。通过计算H原子从WO3内部到表面位点的吉布斯自由能,发现Cu/WO3中存储的H原子更容易转移到催化剂表面参与CO2还原反应(图5b)。差分电荷密度计算结果显示(图5c),Cu/WO3表面上存在明显的电子积聚区域。聚集的电子通过与H 1s轨道中的不饱和电子相互作用,导致H原子更倾向于转移到催化剂表面参与CO2还原反应。

在多云天气下进行演示实验,研究波动太阳能对收集电子和H原子的影响(图6a)。结果显示,自然光和模拟太阳光下,催化剂内储存的H原子和电子数量相当(图6b)。将催化剂在黑暗条件下分别存储15天和90天后进行CO2还原测试,发现单位质量催化剂生成产物的性能仍保持在80%以上(图6c)。此外,将用于CO2转化的催化剂用量扩大了两个数量级,产物产量也成比例增加(图6d)。上述结果表明,直接收集和储存H原子和电子用于按需CO2转化具有可行性,这极大地增加了催化CO2还原应用的灵活性。

本文提出了一种受自然光合作用启发的新方法,通过电子-氢储存库实现按需CO2转化,并且基于Cu负载的WO3催化剂验证了这一方法的可行性。该催化剂在模拟太阳光下有效地收集电子和H原子,形成Cu/HxWO3中间体。该中间体可以在180°C以上的温度下将CO2转化为高价值产品。在多云天进行的实验表明,间歇性供给的太阳能不影响电子和H原子的收集。这项研究通过利用不稳定的太阳光结合稳定的工业余热实现按需CO2转化,为可控的太阳能利用开辟了新的途径。
Xianjin Shi; Wei Peng; Yu Huang*; Chao Gao; Yiman Fu; Zhenyu Wang; Leting Yang; Zixuan Zhu; Junji Cao*; Fei Rao; Gangqiang Zhu; Shuncheng Lee; Yujie Xiong*; Integrable utilization of intermittent sunlight and residual heat for on-demand CO2 conversion with water. Nature Communications 2024, 15, 10135.
黄宇,博士,研究员,博士生导师。现任中国科学院地球环境研究所粉尘与环境研究室主任、中国科学院气溶胶化学与物理重点实验室副主任。2012年毕业于香港理工大学,获博士学位。主要研究聚焦大气中氮氧化物、挥发性有机物和二氧化碳的迁移转化机制及其环境效应,开展室内空气净化、环境大气污染控制等应用基础研究。在Nat. Commun.、Natl. Sci. Rev.、Environ. Sci. Technol.、J. Geophys. Res-Atmos.、Atmos. Chem. Phys.等期刊发表SCI论文220余篇,他引10000余次,H指数63,13篇入选ESI高被引论文,授权国家发明专利17项。主持国家重点研发计划纳米科技重点专项课题、国家自然科学基金(3项)、中国科学院青年交叉团队和陕西省重点研发计划(产业创新链(群))等10余项。多项研究成果在环境空气净化领域形成技术优势和产业化应用。其中,与珠海格力电器股份有限公司合作开发除醛净化器产品成功占领市场,获央视“品牌强国工程”报道及2023年度中国轻工业联合会“科技进步二等奖”,引领纳米常温催化技术的空气净化市场应用。任国际期刊Aerosol Science &Engineering副主编、Chinese Chemical Letters编委(2022-2025)、中国颗粒学会理事会理事(第七、八届)、气溶胶专业委员会副主任,及陕西省第十四届人民代表大会常务委员会环境与资源保护咨询专家等。2015年入选中国科学院人才计划,2019年入选第四批国家高层次人才特支计划,2020年获中国颗粒学会“自然科学奖”二等奖(排名第一),2023年获“中国科学院优秀导师”称号。。
曹军骥,现任中国科学院大气物理研究所所长、研究员,基金委杰青获得者(2009),兼任国际气溶胶学会副主席(唯一一位),曾任中国科学院地球环境研究所所长/党委书记、亚洲气溶胶学会主席、中国颗粒学会副理事长等。国际气溶胶学会会士(IARA Fellow)、美国科学促进会会士(AAAS Fellow)、《Aerosol Science & Engineering》主编和《Advances in Atmospheric Sciences》共同主编。长期从事大气气溶胶与大气环境研究,揭示我国气溶胶特征、形成与气候环境效应,深入查明我国PM2.5来源、分布与成因,开展大气污染治理与控制工作等。发表SCI论文800余篇,包括Nature、Science、PNAS等顶级刊物论文20余篇。全部论文被Google Scholar总引6.8万余次,高被引指数H-index为122,被SCI引用5万余次。2015年起连续入选中国环境领域高被引学者名录,2018年起连续6年入选全球高被引科学家名录(Highly Cited Researchers);2022-2023年位居“World’s Top Environmental Sciences Scientists”中国内地第一名;2022年位居“全球顶尖科学家”地学领域中国内地前十名。
熊宇杰,中国科学技术大学讲席教授、博士生导师,安徽师范大学党委副书记、常务副校长 (正厅级)。1996年进入中国科学技术大学少年班系学习,2000年获化学物理学士学位,2004年获无机化学博士学位,师从谢毅院士。2004至2011年先后在美国华盛顿大学(西雅图)、伊利诺伊大学香槟分校、华盛顿大学圣路易斯分校工作。2011年辞去美国国家纳米技术基础设施组织的首席研究员职位 (NSF-NNIN,Principal Scientist),回到中国科学技术大学任教授,建立独立研究团队。曾入选教育部长江学者特聘教授 (2018)、国家杰出青年科学基金获得者 (2017)、国家高层次人才计划科技创新领军人才 (2018),当选欧洲科学院外籍院士 (EurASc, 2024)、东盟工程与技术科学院外籍院士 (AAET, 2022)、新加坡国家化学会会士 (SNIC, 2022)、英国皇家化学会会士 (RSC, 2017)。现任ACS Materials Letters副主编。主要从事“多场多相催化化学”研究,探索多场耦合和多相流动条件下的催化机制及应用。已发表260余篇通讯作者论文,其中80余篇发表在综合性期刊Sci. Adv.、Nat. Commun.、PNAS、Natl. Sci. Rev.和化学及材料科学三大期刊JACS、Angew. Chem. Int. Ed.、Adv. Mater.。论文总引用45,000余次 (H指数106),入选科睿唯安全球高被引科学家榜单。曾获国家自然科学二等奖 (第三完成人, 2012)、安徽省自然科学一等奖 (第一完成人, 2021)、中国科学院优秀导师奖 (2014, 2015, 2016, 2018)、英国皇家化学会Chem Soc Rev开拓研究者讲座奖 (2019)、中美化学与化学生物学教授协会杰出教授奖 (2015)。
欢迎关注我们,订阅更多最新消息
“邃瞳科学云”推出专业的自然科学直播服务啦!不仅直播团队专业,直播画面出色,而且传播渠道多,宣传效果佳。
“邃瞳科学云"平台正在收集、整理各类学术会议信息,欢迎学会、期刊、会议组织方择优在邃瞳平台上进行线上直播,希望藉此帮助广大科研人员跨越时空的限制,实现自由、畅通地交流互动。欢迎老师同学们提供会议信息(会有礼品赠送),学会、期刊、会议组织方商谈合作,均请联系18612651915(微信同)。
投稿、荐稿、爆料:Editor@scisight.cn