
第一作者:黄志雄,李凯
通讯作者:郭晋芝*,耿洪波*,吴兴隆*
单位:东北师范大学,常熟理工学院
钠离子电池凭借丰富且廉价的钠资源,被证明在储能领域能够部分地取代锂离子电池。钠离子电池能量密度等关键性能的决定因素之一是正极材料。在诸多正极材料中,最有潜力的是P2型MnNi基氧化物,但是其高电压下的相变和不可逆的阴离子氧化还原导致容量衰退较快。因此,对于高电压下的特别是4V以上的平台区,虽然已经有很多文献进行了报导,但是对于如何设计具有可逆阴离子氧化还原氧化物正极没有较好的方案,所以需要一种有效的策略来设计具有可逆阴离子氧化还原的高性能钠离子电池正极层状氧化物。
近日,来自常熟理工学院的耿洪波教授与东北师范大学吴兴隆教授团队合作,在国际知名期刊Nano Letters上发表题为“New Insights into Anionic Redox in P2-Type Oxide Cathodes for Sodium-Ion Batteries”的研究文章。该文章为了研究经典氧化还原体系和电荷转移体系的阴离子氧化还原反应,设计了含有非键态氧的钠离子电池正极氧化物与经典氧化还原体系进行对比,研究证明了含有非键态氧的钠离子电池正极氧化物的循环稳定性更有优势。该研究提出了Ni三价到四价的氧化还原对与阴离子氧化还原反应存在竞争关系,通过dV/dQ、原位阻抗研究和理论计算研究澄清了两个反应的机制,同时证明了在高电压下四价镍和过氧离子同时出现。

图TOC. 经典氧化还原体系和电荷转移体系的阴离子氧化还原反应的对比。
一、材料结构表征与电化学性能
经典阴离子氧化还原体系,如钴酸锂,主要是由于Co的能带与成键态O的能带重叠,在充放电过程中导致了晶格氧的不可逆释放。而在过渡族金属层掺入Li后,能制造 O 2p非键态,利用O 2p非键态的氧化还原可以实现较稳定的阴离子氧化还原反应。同时加入Mg元素能够稳定晶格。Li/Mg双掺杂的P2型MnNi基氧化物对比其他材料有较好的性能。同时通过dV/dQ探究了其机理。

图 1. (a) Co3+/4+,Ni3+/4+和O 2p非键态相对于成键O 2p带顶端的位置、(b)四种材料的XRD、(c)精修XRD、(d) SEM图像、(e-f)TEM图像、(g)多面体结构示意图、(h-k)XPS光谱。

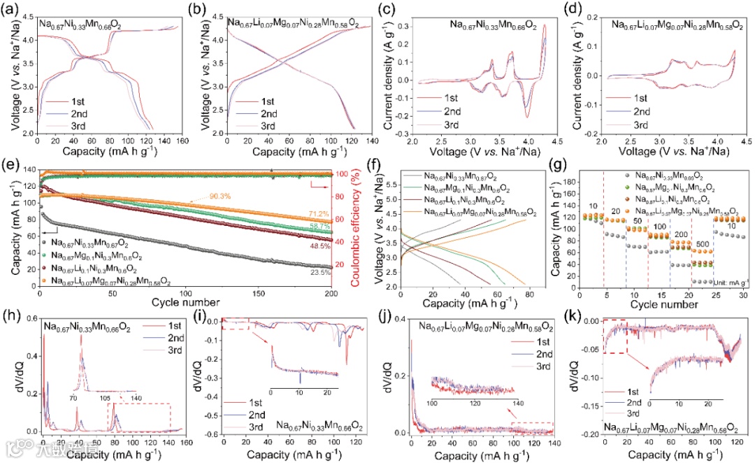
图 2. (a)Na0.67Ni0.33Mn0.66O2的GCD曲线、(b) Na0.67Li0.07Mg0.07Ni0.28Mn0.58O2的GCD曲线。(c) Na0.67Ni0.33Mn0.66O2的CV曲线、(d) Na0.67Li0.07Mg0.07Ni0.28Mn0.58O2的CV曲线。(e)四种样品在100 mA g−1下的循环性能。(f)四个样品在200次循环后的GCD曲线。(g) 四种样品的倍率性能。(h) Na0.67Ni0.33Mn0.66O2和(j) Na0.67Li0.07Mg0.07Ni0.28Mn0.58O2前三个循环中电荷过程的dV/dQ曲线。(i) Na0.67Ni0.33Mn0.66O2和(k) Na0.67Li0.07Mg0.07Ni0.28Mn0.58O2前三个循环放电过程的dV/dQ曲线。
二、DFT计算解析机理
通过DFT计算可以看到,在Na不断脱出的过程中,Na0.67Li0.07Mg0.07Ni0.28Mn0.58O2有O 2p非键态参与反应,而Na0.67Ni0.33Mn0.66O2没有。

图3. NaxNi0.33Mn0.66O2和 NaxLi0.07Mg0.07Ni0.28Mn0.58O2的PDOS。
三、原位阻抗揭示阴离子氧化还原反应
通过原位阻抗可以看到在4.0 V后阻抗增大,与阴离子氧化还原反应相对应;在4.1 V后相角又变小,这证明反应趋于稳定。这种现象在放电过程中也会发生。一般来说,阴极的电荷越多,电荷传递电阻和电容就越小。从Bode图可以看出,阴离子氧化还原反应是导致阻抗增大和减小的主要原因。

图4. (a)充电过程Na0.67Li0.07Mg0.07Ni0.28Mn0.58O2的Nyquist图。(b)放电过程Na0.67Li0.07Mg0.07Ni0.28Mn0.58O2的Nyquist图。(c)等效电路。(d)原位阻抗的Bode相位图。(e)Bode相位图放大图。(f)3D的Bode相位图。
四、原位XRD和非原位XPS
通过原位XRD可以看到在整个循环过程中,除了Be的衍射峰外,没有新的峰出现,表明P2−O2相变受到抑制。(002)和(004)衍射峰在充电过程中向低角度移动,在放电过程中向高角度移动。在充电过程中,(100)峰向低角度移动,这与过渡金属离子氧化导致ab平面收缩相对应。同时,通过非原位XPS揭示了Ni三价到四价的氧化还原对与阴离子氧化还原反应存在竞争关系。

图5. (a) Na0.67Li0.07Mg0.07Ni0.28Mn0.58O2的原位XRD图谱。(b) 002、(c) 004和(d) 100的原位XRD图中选定2θ区域的等高线图。(e) Ni 2p的非原位XPS光谱。(f) O 1s的非原位XPS光谱。
New Insights into Anionic Redox in P2-Type Oxide Cathodes for Sodium-Ion Batteries
https://doi.org/10.1021/acs.nanolett.4c03358
耿洪波教授简介:姑苏创新创业领军人才,江苏省双创博士,现任常熟理工学院团委书记。2017年博士毕业于苏州大学,新加坡南洋理工大学与苏州大学联合培养博士。目前主要从事纳米材料的可控制备和表界面特性调控及其在新能源等领域的应用基础研究,在Journal of the American Chemical Society、Advanced Materials、Energy & Environmental Science等期刊发表学术论文100余篇,所发表论文被引6000余次,获省科学技术奖自然科学奖二等奖。担任期刊Frontiers in Materials 副主编,Energy Lab、石油化工高等学校学报等期刊青年编委。主持国家自然科学基金面上项目和青年基金项目、广东省自然科学基金、江苏省高等学校自然科学研究重大项目、南开大学重点实验室开放课题等科研项目。
吴兴隆教授简介:东北师范大学教授,主要从事先进电池储能材料、废旧锂电回收与再利用等方面的研究工作。已发表通讯作者论文160多篇;通讯作者论文包括Adv. Mater. (10)、J. Am. Chem. Soc. (4)、Angew. Chem. Int. Ed. (7)、Energ. Environ. Sci. (3)、Prog. Mater. Sci. (1)、Mater. Today (2)、Adv. Energy/Funct. Mater. (16) 和Nano Lett. (2) 等;45篇通讯作者论文入选ESI高被引/热点论文;发表的论文被他人引用超过22000次,H指数为84;主持了国家重点研发计划战略性科技创新合作重点专项、国家自然科学基金重大研究计划培育项目、吉林省中青年科技创新卓越人才团队等科研项目;获得吉林省科学技术奖自然科学二等奖(第一完成人)、第十七届吉林省青年科技奖、中国化工学会第十四届侯德榜青年化工奖、中国颗粒学会第十二届青年颗粒学奖等科技奖励。培养的学生,3人入选“博士后创新人才支持计划”、1人入选宝钢奖学金全国特等奖、11人获得省级优秀博/硕士学位论文等。
欢迎关注我们,订阅更多最新消息
“邃瞳科学云”推出专业的自然科学直播服务啦!不仅直播团队专业,直播画面出色,而且传播渠道多,宣传效果佳。
“邃瞳科学云"平台正在收集、整理各类学术会议信息,欢迎学会、期刊、会议组织方择优在邃瞳平台上进行线上直播,希望藉此帮助广大科研人员跨越时空的限制,实现自由、畅通地交流互动。欢迎老师同学们提供会议信息(会有礼品赠送),学会、期刊、会议组织方商谈合作,均请联系18612651915(微信同)。
投稿、荐稿、爆料:Editor@scisight.cn