
第一作者:钟雨晴,张云正,王佳剑
通讯作者:陈亦皇,王舜,潘霜
通讯单位:温州大学(文末附团队招聘信息)
制备具有成本效益、高性能的双功能氧催化剂对锌空气电池(ZABs)的商业化具有重大意义。本研究中,制备了由氧化石墨烯负载的NiCo2S4@NiFe层状双氢氧化物组成的光热电催化剂(NiCo2S4@NiFe LDH/N-rGO)。该电催化剂表现出显著的双功能活性,在光热效应的作用下,ΔE 值为 0.636 V,显著优于大多数先进催化剂。在 25 mA cm-2的高电流密度下, ZAB 展现了出色的循环性能,达到了 3410 次循环,并在光热条件下进一步提升至 8285 次循环。此外,在柔性全固态 ZAB 的组装中,该光热辅助电池在从高温(60℃)到低温(-40℃)的极端环境下表现出优异的性能,包括在 25℃ 时的峰值功率密度达151.7 mW cm-2、在-40℃下超过3480次的循环稳定性及卓越的柔韧性。最后,通过原位拉曼光谱分析和理论计算,揭示了光热效应在表面重构中的关键作用,进一步强调了光热效应对电催化性能的显著提升作用。
ZAB因其高理论能量密度(1086 Wh kg-1)、优异的安全性和经济性,有望成为下一代能源转换与存储体系。然而,ZAB 中与氧还原反应(ORR)和析氧反应(OER)相关的缓慢动力学严重限制了其实际应用,尤其是在柔性器件和极端温度条件下。鉴于此,本篇文章通过水热法制备了一种外场响应型光热电催化剂NiCo2S4@NiFe LDH/N-rGO,可显著提高实用ZAB的综合性能。在外部光的辅助下,该催化剂的电催化性能得到了显著提升。这项研究为利用外场响应型电催化剂实现先进可再生能源转换和存储体系展示了创新的前景。
1. 本工作通过水热法制备了 NiCo2S4@NiFe LDH /N-rGO异质结构纳米复合材料。该材料的中空结构与分层设计相结合,为催化反应提供了丰富的活性位点和较高的比表面积。同时,其异质结构显著增强了催化剂与电解质之间的界面相互作用,促进了离子与电子的快速转移,从而进一步提升了催化性能。
2. 本工作所制备的光热电催化剂NiCo2S4@NiFe LDH /N-rGO,在光热效应下,电催化活性(ΔE)提高到0.636 V,超过了之前报道的大多数非贵金属基催化剂。显著的光热效应使工作电极能够立即和局部加热。
3. 本工作通过原位拉曼光谱和DFT模拟计算研究,揭示了光热效应在促进羟基氧化物生成中的关键作用,突出了光热效应对电催化性能的显著提升作用。
图 1b中的TEM图像显示了空心球体,其表面由许多互连的纳米线和纳米片组成。图 1c 中(311) 晶面和(101) 晶面分别对应于NiCo2S4和FeNi LDH,这跟XRD中的衍射峰位置也相互对应(图1d)。图1e显示了拉曼光谱中的振动信号,其中 Ni-O 振动信号为 476 cm-1,Co-O 振动信号为 550 cm-1,Fe-O 信号峰值为 671 cm-1。图1(f-j)的XPS数据表明成功制备了NiCo2S4@NiFe LDH/N-rGO。
图1 NiCo2S4@NiFe LDH/N-rGO的合成和物理化学表征。
为研究外场对光热效应的影响,我们系统分析NiCo2S4@NiFe LDH/N-rGO 材料的光热性能。图2a紫外-可见光 (UV-Vis) 光谱结果显示,NiCo2S4@NiFe LDH/N-rGO 溶液的显示吸收峰在 800-850 nm 范围内,表明其暴露于近红外 (NIR) 下具有将光转化为热的能力。图2(b-c)表明该材料NIR照射下表现出优异的光热转换能力,温度可迅速升至 83.2 °C 并趋于稳定,远超其他对比材料。通过图2(d-f)的拟合计算,NiCo2S4@NiFe LDH/N-rGO 的光热转换效率达到 82%,这一优异性能归因于其独特的结构设计。

图2 NiCo2S4@NiFe LDH/N-rGO 的光热效应。
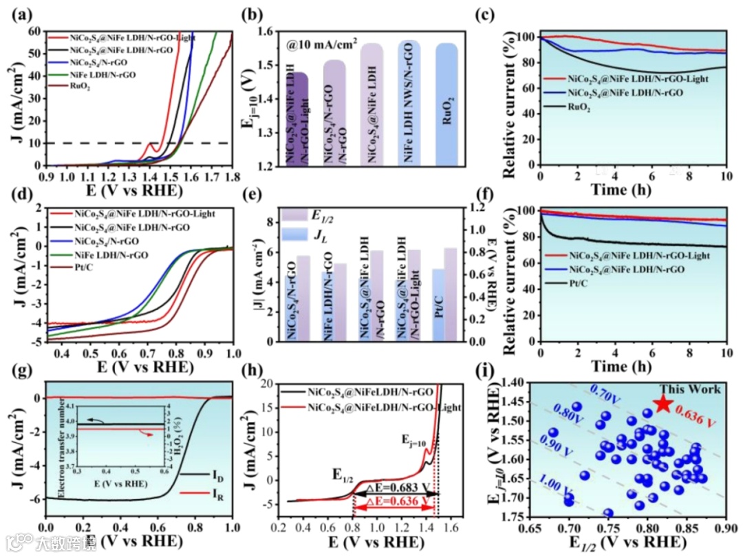
为评估光热效应对催化活性的提升,我们研究了 NiCo2S4@NiFe LDH/N-rGO 的双功能催化性能。图(3a-c)结果表明,该催化剂的 OER 活性在NIR照射下,其催化性能进一步增强,Tafel 斜率显著降低,电流密度快速响应并表现出优异的光热稳定性。这种性能提升主要归因于光热效应以及异质结构优化的电子界面。在 ORR 性能测试中(图3d-f),该催化剂在光照下也表现出优异的活性和稳定性,半波电位(E1/2)达 0.82 V,接近商用 Pt/C催化剂。

图3 NiCo2S4@NiFe LDH/N-rGO 的电催化ORR/OER性能。
为评估 NiCo2S4@NiFe LDH/N-rGO 在实际应用中的可行性,组装了ZAB(图4a)。图4(b-d)中基于NiCo2S4@NiFe LDH/N-rGO的光辅助ZAB 展现出更高的开路电压、更低的充电电压、更窄的充放电电压间隙,以及 206 mWcm-2的最大功率密度。此外,在高电流密度(25 mA cm-2和 50 mA cm-2)下,其稳定性依然突出,展现出卓越的耐久性和抗电解质劣化能力(图4f-g)。

图4 NiCo2S4@NiFe LDH/N-rGO 作为空气阴极的 ZAB 性能。
为了满足柔性电子设备的需求,成功制备了基于 NiCo2S4@NiFe LDH/N-rGO 的柔性锌空气电池(FZAB)。图5(c-d)显示了FZAB性能在光照下进一步增强,在不同温度下展现了优异的功率密度(最高达 151.7 mW cm-2)和比容量(780.95 mAh g-1),表明光热效应有效提高了催化活性,尤其在低温环境下显著改善了电化学性能。此外,FZAB 具有卓越的倍率性能和循环稳定性(图5e-g),在-40°C 的环境下,FZAB循环次数最高可达 3480 次循环。

图5 NiCo2S4@NiFe LDH/N-rGO 作为空气阴极的 FZAB 性能。
为了探索光热辅助催化行为的内在机制,研究NiCo2S4@NiFe LDH/N-rGO 在 OER 过程中的动态结构演变。通过原位拉曼测试发现(图6b-c),在光照条件下,反应中间体NiOOH 的生成电位显著降低(从 1.5 V 降至 1.45 V),表明光热效应加速了 OER 反应。此外,图6(d-e)的DFT模拟表明,异质界面结构显著降低了 ORR 和 OER 的反应能垒,尤其在速率决定步骤(RDS)中表现出优越性。图6(g-h)中的态密度(DOS)分析显示,Co 的轨道与 Fe 的轨道发生杂化,在界面处形成了强耦合,从而生成了(CoNi)OOH@(NiFe)OOH 或 NiCo2S4@NiFe LDH,这种强耦合作用有效促进了催化过程中的电子转移。

图6 NiCo2S4@NiFe LDH/N-rGO的原位表征与DFT模拟。
在本研究中,我们成功合成了NiCo2S4@NiFe LDH/N-rGO,并将其应用于ZABs和FZABs中,表现出优异的性能。显著的光热效应使工作电极能够立即和局部加热,改变了传统的加热策略。在光热效应下,电催化活性(ΔE)提高到0.636 V,超过了之前报道的大多数非贵金属基催化剂。由此得到的光热辅助ZABs在液相器件(206 mW cm-2,8285个循环)和固态器件(151 mW cm- 2,1300个循环)中具有优异的功率密度和长期循环稳定性。此外,FZABs在极低温下表现出优异的功率密度(-40℃时为49.95 mW cm-2)、优异的充放电循环(-40℃时为3480次)和优异的机械柔韧性。我们的研究为进一步提升 ZAB 的性能与灵活性提供了新思路。
陈亦皇,材料学博士,教授,温州大学新材料与产业技术研究院副院长。入选中国科技智库青年人才(2024)、浙江省青年托举人才(2023)、温州市“瓯越英才”高层次人才计划(2022)、温州市级领军人才(2022)、英国皇家学会RSC新锐科学家(2021)。发展了精准合成拓扑聚合物/无机纳米晶功能复合材料的普适策略,系统研究了基于聚合物、无机纳米晶及其表界面的构效关系,并探索在能量转换与存储、柔性电子器件等领域的应用前景,阐明表界面结构、外场作用及运行工况对电极催化及电池器件的协同增效机制。近五年在J. Am. Chem. Soc.、Angew. Chem. Int. Ed.、Proc. Natl. Acad. Sci. U. S. A.、Adv. Mater.、Energy Environ. Sci.、Nat. Commun.等国际期刊发表论文50余篇,合著英文书籍(CRC press)一部,授权/申请专利24项,主持国家、省、市科研项目及国家重点实验室开放课题等10余项,并作为核心成员参与国家自然科学基金重点项目(排名2)、专项项目及美国国家科学基金项目(2项)。担任塞尔维亚基金委特邀基金评审专家、浙江省/山东省科技评审专家、美国化学会(ACS)会议“表面化学”座谈会分会主席、温州市化学与材料学会副理事长兼秘书长、氟材料应用技术分会常务副会长兼秘书长。
Energy & Environmental Science, 2024, DOI: 10.1039/D4EE03240C
诚聘博士后@温州大学
50-60万/年(特别优秀者上不封顶;出站后留温工作,可享受六折购房等政策(见https://reward.wenzhou.gov.cn/wzrc/pc/2022/policy_full),表现突出者优先推荐留校任教)
✦研究方向
1. Zn/Al/Li-Air/O2/CO2等(柔性)金属空气电池
2. 基于柔性多功能可穿戴电子材料(水凝胶、离子凝胶)/器件(能源、传感器、纳米发电机等)的基础与应用研究
3. 高熵合金材料在新能源领域的应用研究
✦碳+能源团队简介:
碳+能源团队具有国际视野和国际化平台,核心成员由世界顶尖院校的教授与博士组成,包括国家级青年人才、浙江省万人计划等,是一支年富力强、充满活力的研究团队。本团队长期从事光电材料设计合成、电池储能器件开发、化学与能源催化交叉领域的理论与实验研究等相关课题,团队核心成员在Chem. Soc. Rev.、Nat. Chem.、Nat. Energy、Energ. Environ. Sci.、JACS、Nat. Commun.、PNAS、Adv. Mater.、Angew. Chem. Int. Ed.等国际著名期刊上发表论文200多篇。团队具备完善的材料合成、器件组装、性能测试以及多种原位(TEM/XRD)表征的材料分析平台,诚待有志之士加盟。
团队网页:http://carbonenergygroup.wzu.edu.cn/index.htm
✦合作课题组:
国外合作者:
1. 加拿大滑铁卢大学/大连物化所陈忠伟院士课题组;
2. 美国宾夕法尼亚州立大学王朝阳院士课题组;
3. 德国伊尔梅瑙工业大学雷勇教授课题组;
4. 韩国延世大学Jong Hyeok Park教授课题组;
5. 香港城市大学王昕教授课题组;
6. 澳大利亚新南威尔大学戴黎明课题组;
7. 澳大利亚科廷大学邵宗平教授课题组;
国内合作者:
1. 清华大学李亚栋院士课题组;
2. 北京师范大学方维海院士课题组;
3. 华东理工大学田禾院士课题组;
4. 浙江大学陆俊教授课题组。
✦岗位待遇:博士后聘期两年(可续聘):
1. 博士后年薪50-60万元(含绩效工资;特别优秀的上不封顶),包含五险一金,另外享受租房补贴、餐补、免费体检等温大教职工同等福利待遇;
2. 课题组提供优良的工作环境和境内外合作交流机会;
3. 提供充足的科研经费支持,并协助博士后申请中国博士后科学基金、国家自然科学基金及浙江省、温州市各级科研项目;
4. 单位提供平台与人力支持,协助申报市、省、国家级人才项目;
5. 工作特别优秀者直接推荐留校;
6. 博士后出站后留温工作,可享受六折购房等政策。
✦岗位要求:
1. 拥有化学、材料、化工、物理(高分子物理)或相关背景博士学位,具有扎实的材料设计合成和电镜测试(操作和数据分析)基础,接受过严格的专业训练,有一定的实验操作能力和严谨思维、独立解决问题的能力;拥有金属空气电池与柔性器件设计和研究、或者拥有高熵新能源材料体系研究经验者优先。
2. 具有良好的英语听说读写能力,在英文期刊上发表过高水平文章,能独立撰写学术论文,独立开展科研工作,合作意识强;
3. 热爱科学研究,有志于做出一流的科研成果;勤奋努力、服从安排、踏实好学;
4. 能尽快到岗者优先;
5. 全职从事博士后研究工作,出站基本要求:发表一区SCI期刊论文1篇,申请国家级基金项目1项及浙江省基金项目(只申请不需要中)。
✦联系方式:
有意向者请将PDF格式详细简历、最早到岗时间,邮件发送给陈老师:yhchen@wzu.edu.cn,请注明:应聘博士后-姓名。
欢迎关注我们,订阅更多最新消息
“邃瞳科学云”推出专业的自然科学直播服务啦!不仅直播团队专业,直播画面出色,而且传播渠道多,宣传效果佳。
“邃瞳科学云"平台正在收集、整理各类学术会议信息,欢迎学会、期刊、会议组织方择优在邃瞳平台上进行线上直播,希望藉此帮助广大科研人员跨越时空的限制,实现自由、畅通地交流互动。欢迎老师同学们提供会议信息(会有礼品赠送),学会、期刊、会议组织方商谈合作,均请联系18612651915(微信同)。
投稿、荐稿、爆料:Editor@scisight.cn