

第一作者:百玉坤
通讯作者:王帅
通讯单位:厦门大学
论文DOI:10.1021/acscatal.4c06966
在传统金属催化剂上,氮气解离吸附通常被视为合成氨反应(N2+3H2→2NH3)的速控步骤。然而,该认识主要基于真空下的表面科学研究,尚远离实际的高压工业过程。结合反应动力学、同位素效应和原位谱学表征等手段,本工作系统考察了Ru/CeO2催化剂上的合成氨反应机理,并揭示在高压条件下金属Ru表面的高氢原子覆盖度迫使氮气解离主要经由N2H*中间体,即氢助解离路径(N2H*+*→N*+NH*),而非传统观点所认为的直接解离路径(N2+2*→2N*)。
氮气加氢合成氨是人工固氮最主要的方式,也是工业上规模最大的催化反应体系之一(即Haber-Bosch过程)。因为N2具有高键能、非极性等特征而难于活化,Haber-Bosch过程通常需要在高温高压条件下进行(400-600 ℃、15-35 MPa),每年导致大量的能源消耗与CO2排放。发展高效合成氨催化剂一直是多相催化研究领域的重要挑战。合成氨工业历经百年,已发展出第一代Fe基和第二代Ru基金属催化剂。相较于前者,Ru基催化剂能够在更温和的条件下驱动合成氨反应,是研发高效合成氨催化剂的重点方向。不过,由于在金属Ru表面的合成氨反应网络复杂(图1),目前对高压反应条件下的合成氨反应主要路径与速控步骤仍存在争议,严重限制了催化剂的理性设计与构筑。有鉴于此,本工作尝试利用反应动力学、同位素效应和原位谱学表征等手段,在高压反应条件下定量研究Ru基催化剂表面的主要吸附物种及动力学相关中间体,进而定量建立催化剂的结构-活性基本关系。
图1. 金属催化剂上氮气加氢合成氨反应的可能路径
(1) 选择易还原的CeO2为催化剂载体,一方面利用Ru与CeO2之间的相互作用获得粒径均一、稳定且可调的Ru纳米粒子,另一方面利用氢溢流效应减缓金属Ru在合成氨反应中的氢中毒现象。
(2) 在较宽的反应物分压范围内严格考察Ru/CeO2催化剂上合成氨反应速率的动力学规律,建立与机理相匹配的动力学模型,并结合同位素效应、原位红外光谱等辨析反应速控步骤和催化剂表面吸附物种。
(3) 将Ru/CeO2催化剂的基本结构参数与相应合成氨动力学拟合所得到的反应速率常数、吸附平衡常数等进行关联,建立定量的催化剂构-效关系,并利用Cs-Ru/MgO参比催化剂来验证所得结论的普适性。
图2. CeO2载体与Ru/CeO2催化剂的主要结构表征
如图2a-c所示,我们通过改变Ce(NO3)3前体的焙烧温度合成出具有不同粒径和缺陷位浓度的CeO2载体(标记为CeO2-x,x代表焙烧温度/⁰C)。图2d-e中氢气程序升温还原实验(H2-TPR)的对比表明,金属Ru负载后CeO2的晶格氧物种还原温度大幅降低,即证实存在金属-载体相互作用。在~1.5 wt% Ru负载量下,随该相互作用的增强(图2f),金属Ru粒径从9.7 nm(Ru/CeO₂-850)逐渐下降至1.4 nm(Ru/CeO₂-550),同时催化剂表面的Ru0/Ruδ+比例与Ce3+含量也随之发生相应变化。该结构可控的Ru/CeO2系列催化剂为严格建立合成氨催化性能的构-效关系提供了可行性。
图3. Ru/CeO2的合成氨催化性能和反应动力学规律
在400 ℃、N2/H2 = 1/3及1.0或0.1 MPa下考察合成氨催化性能。如图3a所示,无论在高压或常压下,基于Ru/CeO2催化剂中体相单位Ru质量的氨生成速率均随CeO2焙烧温度增加呈“火山型”变化;当将氨生成速率归一化到催化剂表面暴露的单位Ru原子(即Turnover Rate),其则呈单调上升趋势,暗示在1-10 nm范围内大粒径Ru粒子具有更高的本征活性。N2和H2分压的动力学影响(图3c、3d)表明,两反应物在催化剂表面呈共吸附状态,且H2具有更强的吸附能力。特别当催化剂为Ru/CeO2-800/850时,高氢压对氨生成速率产生一定程度的抑制作用(即氢中毒现象)。值得指出,Ru/CeO2较被广泛研究的Cs-Ru/MgO参比催化剂表现出更高的活性。这缘于后者具有更高的表观活化能和更显著的氢中毒现象(图3b、3e)。
图4. Ru/CeO2催化合成氨的同位素效应与原位红外光谱表征
如图4a所示,D2取代H2为反应物使氨生成速率增加近47%。该反H/D动力学同位素效应暗示N2在发生N-N键断裂前已被部分加氢(例如生成N2H*中间体)。在反应条件下的28N2-30N2同位素交换实验进一步证实,H2的存在能够促进N2解离(图4b)。此外,根据原位红外光谱表征,H2与N2共存显著增强了N2吸附(图4c),揭示在金属Ru表面H*与N2*之间可发生库伦吸引作用,为N2在解离前优先部分加氢提供了支持。基于以上机理信息,动力学拟合显示(图4d-e)N2H*是在高压反应条件下合成氨反应的关键动力学中间体,其解离生成N*与NH*物种为Ru/CeO2上的主要速控步骤。Cs-Ru/MgO催化剂的动力学规律及同位素效应同样与该速控步骤相符,暗示所推测机理具有普适性。
图5. Ru基催化剂构-效关系的定量分析
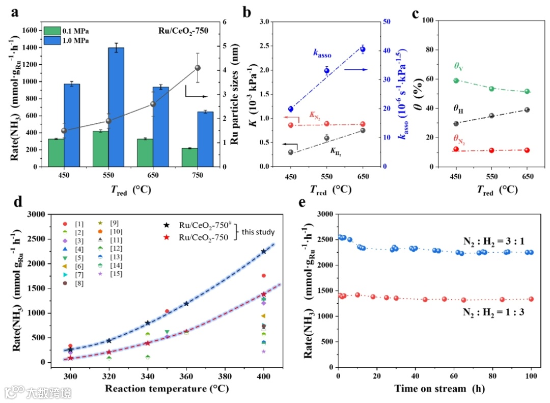
动力学拟合为定量建立Ru基催化剂的构-效关系提供了基础(图5a-b)。分析显示,Cs-Ru/MgO实际上较Ru/CeO2具有更高的本征活性(对应于速率常数kasso),但因前者具有更强的H原子吸附能力(对应于H2解离吸附平衡常数KH2),使得反应条件下金属Ru表面主要被H*所覆盖,可用于N2活性的催化位点少,导致更高的表观活化能。对Ru/CeO2-x系列催化剂的动力学拟合表明(图5c-e),金属Ru的本征N2活化能力与其粒径正相关,而反应时金属Ru的H*覆盖度则主要受Ru-CeO2接触界面影响,即金属-载体电子转移与氢溢流效应。
基于对Ru基催化剂构-效关系的新认识,我们通过改变Ru/CeO2还原温度来实现Ru-CeO2相互作用与Ru粒子粒径对催化性能的调控解耦(图6a-c),进一步使氨合成速率提升近45%。经过上述催化剂结构与合成氨反应的条件优化,Ru/CeO2催化剂所获得的氨生成速率在300-400 ℃反应温度范围内达到了目前文献报道的Ru基催化剂的前列(基于单位Ru质量),并在反应100 h中表现出优异的稳定性(图6d-e)。
在工业中广泛使用的高压反应条件下,催化剂表面所呈现的高覆盖度状态往往可能对催化反应路径与速控步骤带来显著影响。本研究发现在高压合成氨反应中,Ru基催化剂表面的高H*覆盖度使得N2的活化以氢助解离路径为主,并以N2H*中间体的N-N键断裂为速控步骤。这导致Ru基催化剂表面需要维持适度的H*覆盖度来兼顾N2活化与氢中毒问题,以期获得高氨生成速率,有别于传统N2直接解离路径中对氢中毒问题的单一关注。由此可见,对实际反应条件下催化剂表面吸附物种及反应机理的深入认识将驱动催化剂构-效关系的精准建立,有助于指导高效催化剂的理性设计与构筑。
Yukun Bai, Yuanbao Zhang, Jian Hu, Jiang Li, Shaolong Wan, Jingdong Lin, Yong Wang, and Shuai Wang*, Hydrogen-Assisted Dissociation of N2: Prevalence and Consequences for Ammonia Synthesis on Supported Ru Catalysts. ACS Catal. 2025, 15, 1455-1466.
欢迎关注我们,订阅更多最新消息
“邃瞳科学云”推出专业的自然科学直播服务啦!不仅直播团队专业,直播画面出色,而且传播渠道多,宣传效果佳。
“邃瞳科学云"平台正在收集、整理各类学术会议信息,欢迎学会、期刊、会议组织方择优在邃瞳平台上进行线上直播,希望藉此帮助广大科研人员跨越时空的限制,实现自由、畅通地交流互动。欢迎老师同学们提供会议信息(会有礼品赠送),学会、期刊、会议组织方商谈合作,均请联系18612651915(微信同)。
投稿、荐稿、爆料:Editor@scisight.cn