
第一作者:刘宇阳
通讯作者:王晓峰
通讯单位:大连海事大学
论文DOI:https://doi.org/10.1039/D4TA07643E
氧物种在甲烷(CH4)氧化反应中发挥着重要作用,但不同氧物种的作用机理和促进氧物种活性的策略仍有待进一步研究。本工作将MOF衍生法与化学刻蚀法相结合得到了Co3O4-X (X为硝酸钴的浓度,mol/L)催化剂。刻蚀策略大大提高了催化剂完全氧化CH4的活性。Co3O4-0.1的T90为345 ℃,与未刻蚀的Co3O4催化剂相比降低了90 ℃。通过一系列表征发现温和的刻蚀条件可在催化剂中引入大量缺陷位点,促进表面晶格氧和氧分子的双重活化,其中氧分子的活化是催化剂性能提高的关键因素。
CH4是天然气的主要成分,被广泛用于交通运输行业。由于CH4分子结构稳定,在发动机中难以完全充分燃烧,未燃烧的CH4会随尾气逃逸到空气中,加剧温室效应。催化氧化法因其高效、环保的特点,成为控制CH4逃逸的有效末端治理技术之一。然而,CH4分子中C-H键能量极高,在烟气温度去除残余CH4仍是一项巨大挑战。因此,开发更高效的催化材料以完全氧化CH4对于控制温室效应至关重要。MOF衍生的Co3O4尖晶石在催化领域表现出卓越的性能,其背后的催化机理值得深入探讨。在涉及过渡金属氧化物的催化氧化反应中,Mars-van Krevelen(MvK)机理被广泛接受。氧物种在这一过程中发挥了关键作用,但其具体作用机理仍充满不确定性,尤其是不同类型氧物种在不同反应步骤中的活化行为和迁移能力尚未完全揭示。同时,在低温条件下,氧物种的活化明显更加困难,这导致催化剂的整体性能受到限制。因此,如何精确调节氧物种尤其是促进晶格氧的活性和表面活性氧物种的活化已成为提高低温催化效率的核心挑战之一。
1. 本工作对传统的MOF衍生法进行了改进,成功构建了高活性的Co3O4-X催化剂,实现了CH4在低温下的完全氧化。
2. 一列的表征结果证明硝酸钴刻蚀策略有效促进了表面晶格氧和分子氧的双重活化,其中分子氧的活化是催化剂性能提升的关键因素。
3. 通过原位DRIFT对CH4在Co3O4-0.1催化剂上的反应机理进行了探究,发现CH4氧化反应途径符合典型的MvK机理。
1. 催化剂性能研究
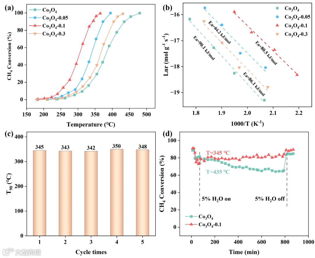
用含有1 vol% CH4的模拟烟气评估了所制备催化剂的催化性能。如图1所示, 催化剂的性能排序:Co3O4-0.1 > Co3O4-0.05 > Co3O4-0.3 > Co3O4。可以发现,刻蚀后的Co3O4催化剂,尤其是Co3O4-0.1催化剂,具有高活性、优异的循环稳定性和出色的耐水性。这种改性有效地提高了催化剂的性能,具有实际应用的潜力。与其他已报道的催化剂相比,Co3O4-0.1催化剂的活性具有竞争力。

图1. (a) 甲烷转化率随温度的变化曲线;(b) 阿伦尼乌斯曲线;(c) Co3O4-0.1催化剂连续5次循环测试的T90;(d) Co3O4和Co3O4-0.1催化剂的耐水测试。
2. 催化剂的结构特点
图2显示了用不同浓度的Co(NO3)2溶液刻蚀得到的Co3O4的微观形貌和晶格条纹的差异。未经处理的Co3O4催化剂呈现出典型的多面体形态,具有高度有序的结构。与未经处理的Co3O4相比,Co3O4-0.05和Co(NO3)2-0.1催化剂仍保留了部分原始结构,但表面变得更加粗糙,这表明刻蚀过程有效去除了部分表面层。组成Co3O4-0.3催化剂的颗粒出现了明显的聚集现象,失去了原有的多面体形态。通过HRTEM和FFT观察了催化剂的晶格条纹。从图2e-l中可以看出,所有的催化剂主要露出(111)、(220)和(311)晶面。值得注意的是,与Co3O4催化剂相比,其他样品的HRTEM图像都存在明显的晶格缺陷区域(用红色虚线标出)。图像中的晶格缺陷包括晶格无序、晶格模糊和无定形区域。

图2. (a~d) 催化剂的SEM图像;(e~h) 催化剂的HRTEM图像;(i~l) 催化剂的FFT图像。
通过XRD、Raman和N2吸附-脱附测试分析了催化剂的物理结构。如图3a所示,所制备样品的衍射峰与Co3O4尖晶石(PDF#43-1003)相对应。与Co3O4相比,刻蚀样品所有衍射峰的强度都减弱,宽度增加。这意味着刻蚀并没有完全破坏Co3O4的晶体结构,但造成了晶格无序结构,并形成了晶格缺陷。所有催化剂的拉曼光谱如图3b所示,刻蚀样品的A1g峰具有不同程度的拉曼红移,这种现象通常是由Co-O键的削弱引起的。在MvK机制中,较弱的Co-O键使表面晶格氧更容易脱离,从而有利于反应的进行。图3c和d显示了样品的氮气吸附-解吸等温线和孔径分布。所有样品都显示出典型的IV型吸附等温线,并带有明显的H3回滞环,这表明样品中存在介孔。高浓度刻蚀处理后,催化剂孔径明显增大,有利于反应物分子在孔内的传质。

图3. (a) 催化剂的XRD图谱;(b) 催化剂的拉曼图谱;(c)催化剂的氮气吸附脱附曲线;(d)催化剂的孔径分布。
3. 氧化物种的活化
用Ar-TPD分析了Co3O4-0.1催化剂中的氧物种组成。如图4a所示,N2预处理后的Co3O4-0.1 催化剂中主要存在两个解吸峰。位于300~400 ℃的低温解吸峰是催化剂中的表面晶格氧,而位于750~950 ℃的高温解吸峰与体相晶格氧有关。Co3O4-0.1催化剂在300 ℃下用CH4进行预处理后,体相晶格氧的强度基本相同,而表面晶格氧的量则急剧减少。这一结果表明,表面晶格是反应的直接参与者。图4b记录了Co3O4和Co3O4-0.1催化剂在CH4-TPR反应过程中的CO2信号。由于反应过程中没有氧气,因此CO2生成的温度可以反映表面晶格的活性,可以发现,刻蚀后CO2的峰值从522降至507 ℃,刻蚀策略有效地提高了表面晶格氧的活性。通过H2-TPR进一步分析了催化剂的氧化还原特性,如图4c所示,用适当浓度的Co(NO3)2溶液刻蚀后,它们具有更强的氧化还原性。结合催化剂评价结果可以发现,Co3O4-0.3催化剂中表面晶格氧的活性弱于Co3O4催化剂,但Co3O4-0.3催化剂的性能优于Co3O4催化剂。这表明表面晶格氧的活性并不是催化剂性能的决定因素。通过O2-TPD 研究了不同样品的分子氧空位活化效率。为了消除表面晶格氧,所有样品都在400 ℃下进行了Ar预处理。低于650 ℃的峰值是由于活性氧(化学吸附氧和表面晶格氧)的解吸引起的。从图4d可以明显看出,Co3O4催化剂的活性氧解吸量明显低于其他样品。氧空位的活化作用是将分子氧转化为表面晶格氧和化学吸附氧,因此活性氧的解吸量可以反映氧空位的活化效率。从O2-TPD结果来看,氧空位的活化效率为:Co3O4-0.1 > Co3O4-0.05 > Co3O4-0.3 > Co3O4。在图4e中,活性氧的解吸量与反应速率的变化趋势相同,这表明氧空位的活化效率可能是决定催化剂性能的重要因素。

图4. (a) Co3O4-0.1催化剂Ar-TPD图谱;(b) Co3O4和Co3O4-0.1催化剂CH4-TPR图谱;(c) 所有催化剂的H2-TPR图谱;(d) 所有催化剂的O2-TPD图谱;(e) 活性氧量(以O2-TPD测定)和反应速率与刻蚀液浓度的关系。
4. 机理探究
为了进一步探索CH4在Co3O4-0.1催化剂上的转化路线,采用原位DRIFTS对催化剂表面的化学物种进行了监测。图5a和b分别研究了有氧/无氧条件下CH4反应过程中形成的中间产物。CH4在Co3O4-0.1催化剂表面的反应路线可能是CH4→HCOO-→CO32-→CO2。如图5c所示,催化剂表面晶格氧将CH4分子氧化为甲酸盐和碳酸盐。由于表面晶格氧的消耗,催化剂表面产生了氧空位(VO)。然后,O2分子被VO活化,形成活性氧(O*),其中一部分用于填充VO,另一部分用于中间产物的深度氧化。

图5. (a) Co3O4-0.1催化剂50~400 ℃的原位DRIFTS图谱(气体氛围:1 vol% CH4 和99 vol%N2);Co3O4-0.1催化剂在400 ℃下从1~25 min内的原位DRIFT图谱(气体氛围:1 vol% CH4,20 vol% O2和79 vol%N2);(c) 反应机理示意图。
本工作通过原位热解硝酸钴刻蚀后的ZIF-67获得了Co3O4-X催化剂。Co3O4-0.1催化剂在甲烷催化氧化反应中表现出优异的催化活性。原位DRIFTS研究表明,Co3O4-0.1催化剂上的CH4氧化反应机理符合典型的MvK机理,即分为初步氧化和深度氧化两个阶段。这两个阶段分别依靠表面晶格氧和由分子氧活化形成的活性氧来完成。一系列程序升温的结果表明,刻蚀策略促进了催化剂表面分子氧的活化。刻蚀后的催化剂可迅速产生活性氧,用于中间产物的深度氧化,并填补因表面晶格氧消耗而形成的氧空位,这是催化剂性能提高的关键原因。这项工作对于理解氧物种在催化氧化反应中的作用以及设计更高效的催化剂提供了新思路。
刘宇阳,大连海事大学王晓峰副教授课题组硕士研究生,研究方向为船舶温室气体排放控制。
王晓峰,博士,副教授,博士生导师。入选第七届中国科协青年人才托举工程,曾获国家优秀自费留学生奖学金,承担国家自然科学基金、国家重点研发计划子课题等项目,共发表SCI论文50余篇,其中以第一/通讯作者在ACS Catalysis、Applied Catalysis B: Environment and Energy、Green Chemistry等期刊发表论文30余篇。
欢迎关注我们,订阅更多最新消息
“邃瞳科学云”推出专业的自然科学直播服务啦!不仅直播团队专业,直播画面出色,而且传播渠道多,宣传效果佳。
“邃瞳科学云"平台正在收集、整理各类学术会议信息,欢迎学会、期刊、会议组织方择优在邃瞳平台上进行线上直播,希望藉此帮助广大科研人员跨越时空的限制,实现自由、畅通地交流互动。欢迎老师同学们提供会议信息(会有礼品赠送),学会、期刊、会议组织方商谈合作,均请联系18612651915(微信同)。
投稿、荐稿、爆料:Editor@scisight.cn