
第一作者:黄宁宇、初秉宪
通讯作者:肖欣、徐强
通讯单位:南方科技大学
论文DOI:10.1021/jacs.5c00294(文末附课题组招聘信息)
电催化氧化5-羟甲基糠醛(HMF)生成2,5-呋喃二甲酸(FDCA)是一种极具前景的生物质高值化策略,然而这一反应需要设计具有高效率和选择性的催化剂来实现HMF的高效转化。通过对金属有机框架(MOF)进行部分分解所得到的“准MOF”(quasi-MOF)结构,由于继承了MOF多孔性的优点,且在结构中具有开放金属位点,是一类潜在的高效催化剂,但较差的设计性和不可预测且不明确的结构制约了准MOF的进一步发展。在本工作中,通过调控配体工程,作者合理设计并合成了一例Ni基的准MOF。与原始MOF中完全配位饱和的金属簇相比,准MOF中裸露的Ni金属位点能够高效地将HMF转化为FDCA,表现出优异的法拉第效率(99.2%)和FDCA选择性(98.3%)。原位表征和机理分析揭示了准MOF中部分配体解离形成的Ni位点对于形成高价态活性位点和HMF的氧化至关重要。此外,将这种准MOF作为双电极水分解体系中的阳极,不仅可以显著降低制氢电位,还能持续生产高纯度FDCA,为高附加值化学品和可持续氢气的同时生产提供了新的思路。
化石燃料的过度使用导致了严重的环境问题,如温室效应和大气污染,促使人们寻求更可持续的能源来源以支持工业发展。生物质作为一种可再生资源,因其在清洁化学品和燃料生产中的潜力而备受关注。其中,5-羟甲基糠醛(HMF)作为一种重要的平台化合物,可以转化为多种高附加值化学品,如2,5-呋喃二甲酸(FDCA)。FDCA可用于生产可降解生物塑料,有望替代传统石油基塑料。然而,目前HMF转化为FDCA的工艺大多依赖于化学氧化或热催化,这些方法存在使用额外氧化剂、贵金属催化剂和需要高温条件等问题。相比之下,电化学转化被认为是一种绿色高效且更有前景的方法。然而,HMF氧化反应(HMFOR)的研究目前仍处于初级阶段,开发高效、高选择性且兼具稳定性的电催化剂是实现工业化应用的关键。
金属有机框架(MOF)因其结晶性、多孔性和结构可设计等优点,在催化领域展现出巨大潜力。通过移除部分配体,MOF可以形成开放金属位点(OMS),这些位点在催化中表现出优异性能。然而,具有OMS的MOF通常需要精心设计,且结构难以预测,限制了其在不同MOF结构中的应用。此外,原始MOFs在电催化中存在稳定性问题,阻碍了其工业化应用。准MOF(介于MOF和金属氧化物之间的过渡态)通过部分移除配体,不仅可以提供可接近的OMS作为催化位点,还能保持部分框架的多孔性以促进传质。然而,传统的准MOF制备方法(如热处理)存在高能耗和结构难以控制的问题。
基于软硬酸碱理论(HSAB),低价金属离子(如Ni(II))可以与多氮唑类配体(如吡唑)形成强配位键,从而生成具有强碱稳定性的MOF。受此启发,通过选择同时具有羧酸和多氮唑官能团的配体,可以在MOF结构中引入不同强度的配位键。随后,通过电化学处理,部分配体可以从金属节点解离,形成具有特定结构的准MOF。这种策略不仅简化了合成过程,还提高了结构的可控性。
(1) 基于软硬酸碱理论,通过配体工程定制了同时含有吡唑和羧酸基团的MOF前驱体,并通过电解的方法将其转化为镍基的准MOF。
(2) 得益于开放的金属位点,准MOF能够将HMF完全转化为FDCA,其法拉第效率高达99.2%,产物选择性达到98.3%,这些性能超过了现有的镍基催化剂,甚至优于某些含有贵金属掺杂的催化剂。
(3) 通过构建HMFOR || HER电解体系,与传统的全解水电解体系相比,可以降低约250 mV的反应电位。此外,由于催化剂对HMF的高转化率和高选择性,对电催化后的电解液进行简单的酸化处理,可以获得高产率(91%)和高纯度(>99%)的FDCA固体产物,同时实现析氢和高附加值产物的生产。
作者选择了1,4-二(1H-吡唑-4-基)苯(H2BDP)和4-(1H-吡唑-4-基)苯甲酸(H2PBA)两种配体作为研究对照,前者仅含吡唑基团,后者则同时含有吡唑和羧酸基团。通过溶剂热反应,可以得到两例同构的具有八核镍簇的MOF材料(Ni8PBA和Ni8BDP)。由于羧酸和吡唑配体对Ni离子配位作用的差异,Ni8BDP可以在1 M KOH中保持稳定至少24小时,而Ni8PBA在24小时后结晶性减弱,说明了两例MOF中配位键强度的差异。
图1 quasi-Ni8PBA和Ni8BDP的合成路线
利用不同配体与金属节点之间不同的配位强度,通过电化学处理MOF前驱体可以快速形成具有开放金属位点的准MOF。LSV曲线表明,Ni8PBA在1.65 V vs. RHE时的电流密度为52.8 mA cm-2,约为Ni8BDP的12倍。此外,Ni8PBA在1.39 V处出现明显的Ni2+/Ni3+氧化峰,表明其Ni位点更容易暴露并氧化为高价态物种,有利于氧化反应的进行。PXRD和IR光谱表明,电化学处理后Ni8PBA的结晶性显著降低,而Ni8BDP仍然保持稳定。氮气吸脱附等温线显示,Ni8BDP的多孔性在电化学处理后几乎不变,而quasi-Ni8PBA的比表面积显著降低,仍保留一定的多孔性。XANES光谱表明,两种催化剂在电化学处理过程中Ni的价态均保持在+2。而从EXAFS谱图可以看出,Ni8PBA的Ni–O/N配位键的信号在电化学处理后往较高处偏移,说明Ni–O键断开,而Ni–N保持不变,Ni–N键比例升高。通过DFT计算证明,Ni8PBA中Ni–O键的结合强度弱于Ni–N键,导致羧酸基团更容易解离。综合以上表征以及DFT计算结果可以看出,Ni8BDP在电化学处理后仍能保持稳定,而Ni8PBA中部分配体断开形成准MOF,暴露出有利于催化反应的Ni金属位点。
图2 (a)Ni8PBA和Ni8BDP用于OER反应的LSV曲线。电解前后Ni8PBA和Ni8BDP的(b)PXRD图谱和(c)XANES光谱。电解前后(d)Ni8PBA和(e)Ni8BDP的EXAFS谱图。(f)Ni8PBA中Ni–O和Ni–N相互作用强度。
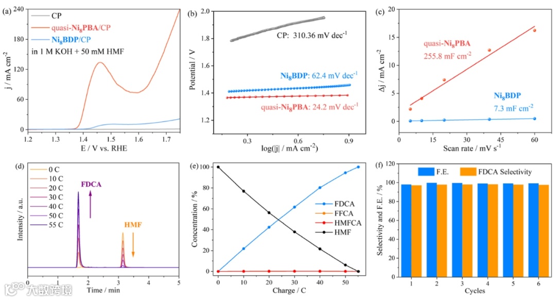
HMFOR实验结果显示,在HMF存在时,quasi-Ni8PBA和Ni8BDP两种催化剂的起始电位均比OER中的更正,表明HMF氧化的动力学更为有利。LSV曲线表明,Ni8BDP的起始电位为1.419 V,而quasi-Ni8PBA由于在活化过程中形成了开放的Ni位点,其起始电位显著降低至1.370 V。quasi-Ni8PBA的塔菲尔斜率为24.2 mV dec-1,远低于Ni8BDP的62.4 mV dec-1。此外,quasi-Ni8PBA的电化学活性表面积(ECSA)为255.8 mF cm-2,远高于Ni8BDP的7.3 mF cm-2,进一步证实了具有更多裸露的活性位点。HPLC分析表明,FDCA是quasi-Ni8PBA催化体系中的主要产物,伴随少量HMFCA和FFCA生成,FDCA的法拉第效率(FE)可达到99.2%,选择性超过98.3%,显示出HMF向高附加值FDCA的高效转化。在连续6次催化循环中,准Ni8PBA的性能几乎无衰减。这些结果表明,quasi-Ni8PBA在HMFOR中表现出卓越的活性和稳定性,甚至优于部分含有贵金属的催化剂。
图3 (a)quasi-Ni8PBA和Ni8BDP用于HMFOR的LSV曲线。(b)quasi-Ni8PBA和Ni8BDP在HMFOR中Tafel斜率。(c)quasi-Ni8PBA和Ni8BDP在HMFOR中的电化学双电层电容。(d)quasi-Ni8PBA的HMFOR产物表征HPLC色谱图。(e)quasi-Ni8PBA在HMFOR中的HMF转化率以及不同产物产率。(f)quasi-Ni8PBA在循环实验的FE和FDCA选择性。
原位EIS测试表明,在1 M KOH中,低频区(10–1– 101Hz)的信号对应于电极表面OER过程中引起的非均匀电荷分布,而高频区(101 – 105 Hz)的信号则与催化剂本身的氧化反应相关。当HMF存在时,低频区从约1.35 V开始出现新的峰,证明了HMFOR的发生。通过拟合,quasi-Ni8PBA在所有施加电位下的电荷传输电阻(Rct)和界面氧化电阻(Rp)均显著低于Ni8BDP,进一步验证了其优异的电化学性能。原位拉曼光谱表明,在1 M KOH中,当施加电位高于1.42 V时,quasi-Ni8PBA会出现478 cm–1和536 cm–1的特征峰,分别对应Ni3+–O的弯曲和伸缩振动峰。而当HMF存在时,这些特征峰的强度则会显著降低,表明HMF消耗了生成的Ni3+。此外,DFT计算表明,quasi-Ni8PBA通过Ni位点与HMF的醛基配位,并通过氢键与呋喃环和羟基相互作用,对HMF具有很强的吸附能力。自由能台阶图表明,HMF→HMFCA→FFCA→FDCA的反应路径更为有利,与HPLC分析结果一致。
图4在(a)OER或(b)HMFOR中quasi-Ni8PBA的原位EIS的Bode相位图。quasi-Ni8PBA和Ni8BDP在HMFOR过程中的(c)电极内氧化电阻和(d)界面反应电阻。在(e)OER或(f)HMFOR中quasi-Ni8PBA的原位Raman光谱。(g)quasi-Ni8PBA与HMF结合时的差分电荷图。(h)quasi-Ni8PBA的HMFOR自由能台阶图。
考虑到quasi-Ni8PBA在HMF氧化反应中的优异表现,作者进一步构建了两电极电解槽,使用quasi-Ni8PBA作为阳极,Pt作为阴极。与传统的OER||HER系统相比,HMFOR||HER系统展现出更低的驱动电压,这是因为HMFOR的反应电位更低。此外,在HMFOR反应后,通过利用1 M HCl溶液将电解液调至中性,FDCA产物立即以淡黄色粉末形式析出,产率超过91%。根据1H NMR结果,从电解液中收集的FDCA纯度高于99%,满足工业应用的纯度要求。总的来说,quasi-Ni8PBA在集成电解槽中展现出同时实现制氢和生物质高值化加工的潜力,能够直接获得高纯度FDCA。
图5 (a)使用quasi-Ni8PBA作为阳极进行HMFOR和Pt作为阴极进行HER的电解槽示意图。(b)在1.0 M KOH中,有无50 mM HMF时的LSV曲线。(c)比较HMFOR||HER和OER||HER所需的电压。(d)使用quasi-Ni8PBA作为催化剂进行HMFOR时,所得FDCA的1H NMR谱图。
受软硬酸碱理论的启发,作者利用吡唑羧酸配体对金属簇具有不同配位强度的特点,通过简单的电化学氧化方法实现了可控的配体解离,成功合成了一例新型准MOF。由于结构中的开放金属位点和多孔性,所得的quasi-Ni8PBA在HMF氧化反应中表现出卓越的性能,法拉第效率高达99.2%,FDCA选择性达到98.3%。在将OER替换为HMF氧化反应后,quasi-Ni8PBA能够显著降低制氢反应的驱动电压(>250毫伏),同时生成高纯度FDCA(产率>91%,纯度>99%)。这一发现为使用非对称配体构建具有潜在开放金属位点的准MOF结构提供了一种新的策略。
黄宁宇,本文共同第一作者,南方科技大学高级研究学者,本科和博士毕业于中山大学(导师:陈小明教授),2021-2023在南方科技大学从事博士后研究工作(合作导师:徐强教授),主要从事功能化金属有机框架(MOF)材料的设计合成及其光/电催化性能研究。目前,已在化学领域国际权威期刊发表学术论文31篇,共计引用2200余次,其中,以第一作者(含共同一作)和通讯作者在Chem. Soc. Rev.、J. Am. Chem. Soc. (3)、Angew. Chem. Int. Ed. (3)、Chem. Sci. (2)、Coordin. Chem. Rev.、CCS Chem.、Nano Res.等期刊发表论文18篇。主持或参与国家及省部级科研项目3项,包括博士后科学基金面上项目、国家自然科学基金青年科学基金项目等。
初秉宪,本文共同第一作者,南方科技大学博士后(合作导师:徐强教授),本科和博士毕业于广西大学(导师:李斌教授),主要从事金属氧化物催化剂和单原子催化剂的设计、合成、应用及其理论模拟。目前,已在化学领域国际权威期刊发表学术论文54篇,总被引约1600次,其中以第一作者(含共同一作)在J. Am. Chem. Soc., Adv. Mater., Adv. Funct. Mater., Appl. Catal. B Environ. Energy, Chin. J. Catal.等期刊发表论文11篇。参与科研项目3项,包括国家自然科学基金项目和中华人民共和国科学技术部重点专项基金项目。
肖欣,本文通讯作者,南方科技大学研究副教授,主要从事高效非Pt基电催化剂的制备以及对催化剂构效关系的探究,至今在国际高水平期刊上发表SCI论文50余篇,其中,以第一作者及共同通讯作者身份在Chem. Soc. Rev.、J. Am. Chem. Soc.、Angew. Chem.、Adv. Mater.、Chem、ACS Nano、Chem. Sci.、Appl. Catal. B: Environ.、Coord. Chem. Rev.、Adv. Funct. Mater.等高水平期刊上发表学术论文19篇,高被引论文4篇,H因子24。
徐强,本文通讯作者,南方科技大学讲席教授,日本工程院院士,印度国家科学院院士,欧洲科学院院士。曾先后任日本国立产业技术综合研究所(AIST)首席研究员,AIST-京都大学能源化学材料开放创新实验室主任,神户大学、京都大学教授(兼)。2014-2023年连续入选汤森路透-科睿唯安全球高被引学者,曾获汤森路透研究前沿奖、洪堡研究奖、市村地球环境学术奖及日本配位化学会奖等。担任《EnergyChem》主编,《Coord. Chem. Rev.》副主编,《Adv. Energy Mater.》、《Chem》、《Matter》、《Chem. Asian J.》等期刊编委。目前主要致力于金属有机框架 (MOF)及衍生物等材料的可控制备及其在催化、能源及环境等领域的应用。
高薪招聘多名博士后(化学/材料)
根据课题组发展需求,课题组拟招聘博士后若干,拟招聘研究方向:光/电催化、传感、电池、理论计算以及电镜表征。
一、岗位要求
(1) 具有催化(光/电)、传感、电池、理论计算或电子显微镜等相关专业领域博士学位;
(2) 具有良好的英语写作和交流能力,并以第一作者在材料/化学领域国际高水平期刊上发表过2篇及以上学术论文;
(3) 有责任心和团队合作精神,具有独立研究能力及较高执行力。
二、拟聘人员薪资福利待遇
(1) 博士后聘用期为两年,年薪33.5万元左右,含广东省生活补助15万元(税前)及深圳市生活补助6万元(税后),参照校内同级人员的标准缴纳养老保险、住房公积金以及发放相关福利;
(2) 特别优秀候选人可以申请校长卓越博士后,年薪可达50万元(含广东省及深圳市补助);
(3) 拥有优良的工作环境和境内外合作交流机会,博士后在站期间享受两年共计2.5万学术交流经费资助;
(4) 课题组提供充足的科研支持,协助作为负责人申请中国博士后科学基金、国家自然科学基金及广东省、深圳市各级科研项目;
(5) 课题组协助符合条件的博士后申请“广东省海外青年博士后引进项目”。即在世界排名前200名的高校(不含境内,排名以上一年度泰晤士、USNEWS、QS和上海交通大学的世界大学排行榜为准)获得博士学位,在广东省博士后设站单位从事博士后研究,并承诺在站2年以上的博士后,申请成功后省财政给予每名进站博士后资助60万元生活补贴(与广东省每年15万生活补助不同时享受,与深圳市每年6万元生活补助同时享受情况下以深圳市规定为准);对获得本项目资助,出站后与广东省用人单位签订工作协议或劳动合同,并承诺连续在粤工作3年以上的博士后,省财政给予每人40万元住房补贴(以最新的人才政策为准);
(6) 博士后出站选择留深从事科研工作,且与本市企事业单位签订3年以上劳动(聘用)合同的,可以申请深圳市博士后留深来深科研资助。深圳市政府给予每人每年12万元个人生活补贴,共资助3年(以最新的人才政策为准)。
三、招聘程序及联系方式
(1) 请将应聘材料发至:xuq@sustech.edu.cn
(2) 邮件主题、附件命名请比照以下格式:博士后+姓名+毕业(或在学)院校;
(3) 电子邮件的正文应该简要介绍自身情况;邮件附件包含:详细的个人简历(包括个人基本情况、教育背景和工作经历、科研工作概述、论文发表情况等)。
欢迎关注我们,订阅更多最新消息
“邃瞳科学云”推出专业的自然科学直播服务啦!不仅直播团队专业,直播画面出色,而且传播渠道多,宣传效果佳。
“邃瞳科学云"平台正在收集、整理各类学术会议信息,欢迎学会、期刊、会议组织方择优在邃瞳平台上进行线上直播,希望藉此帮助广大科研人员跨越时空的限制,实现自由、畅通地交流互动。欢迎老师同学们提供会议信息(会有礼品赠送),学会、期刊、会议组织方商谈合作,均请联系18612651915(微信同)。
投稿、荐稿、爆料:Editor@scisight.cn