

第一作者:严玲慧
通讯作者:周少东、王舒月
通讯单位:浙江大学化学工程与生物工程学院、浙江大学衢州研究院
论文DOI:10.1039/d4ta07559e
O2被认为是用于甲烷光催化氧化有潜力且绿色经济的氧化剂,由于其还原过程(ORR)可以产生促进甲烷转化的·OH和·OOH活性物质,使得在光催化过程中O2及活性物质在催化剂表面的吸附和活化对于甲烷转化具有重要的作用。根据前期报道的气相实验结果,首先理论探究了O配体对气相ReOx+阳离子团簇Re5d轨道和亲氧性的调控,并通过态密度关联凝聚相ReOx周期性结构,筛选得到ReO2亲氧中心。并通过简单的浸渍法制备得到具有局部异质结构的ReO2@TiO2光催化剂,实现常温光催化甲烷转化为CH3OOH、HCHO等液相产物。优化的1.0%ReOx@TiO2在全光谱氙灯照射下,液态氧化产物的总产率和选择性分别达到11581.2 μmol·g-1·h-1和94.5%。原位电子顺磁共振(EPR)和同位素标记实验表明,O2是产物中氧的唯一来源,并且是实现甲烷C-H键活化的·OH自由基的主要贡献者。此外,根据实验表征和DFT计算,局部ReO2@TiO2异质结构有助于光生电子的转移,从而提高了电子-空穴分离效率。此外,Re优越的O2和CH4吸附位点,强化了O2质子化还原为·OH和·OOH活性物质过程并促进了甲烷转化,使在365 nm光照下AQE达到2.85%。本工作不仅设计得到一种高效和无贵金属的甲烷氧化光催化剂,也验证了气相结果和规律用于指导凝聚相催化剂设计的可行性,而这个过程中建立合理的气相到凝聚相中构效关系的关联机制对于催化剂性能的调控至关重要。
二十大提出来要积极推进碳达峰和碳中和,甲烷作为第二大温室气体,研究其活化转化对于双碳目标的实现意义重大。然而,甲烷对称性高、极性高、C-H键键能大,其转化通常需要在比较苛刻的条件下进行。光催化被认为是在温和条件下进行的高效和可持续的催化手段,近些年来,越来越多光催化甲烷转化为氧化物的研究被报道。O2作为一种绿色经济的氧化剂,在光催化过程中还原生成的·OH和·OOH等活性氧物质可以实现甲烷C-H键的活化。然而在大多数已报道的体系中,贵金属在其中起到了不可替代的作用。因此,开发高效和廉价的光催化剂十分重要和迫切。根据我们前期气相活化小分子的研究, Re(5d56s2)及其配合物例子团簇表现出对O2和CH4可调控的反应活性。以此为基础,我们在气相和凝聚相中构建了具有不同氧配位的ReOx+阳离子团簇和ReOx表面,通过计算筛选有利于O2转化和活性氧物质生成的亲氧活性中心。并以此构建制备合成了ReO2@TiO2光催化剂,实现甲烷光催化转化为液相氧化产物。
1) 实现了一种从气相阳离子团簇模型出发,到通过态密度建立起气相团簇和凝聚相周期性结构的关联性,并以此为基础通过理论计算筛选得到活性中心,到最终成功制备具有高效光催化甲烷氧化的催化剂的新型催化体系的构建方法。
2) 通过探究气相团簇和凝聚相周期性铼氧化物中O配体对Re中心d轨道和d带中心的调控规律,通过理论计算筛选得到了具有亲氧性和促进O2还原为·OH等活性物质的ReO2活性中心。
3) 制备得到的ReO2@TiO2光催化剂具有局部异质结构,有利于光生电子从TiO2的导带转移到ReO2的导带,显著提高了电子-空穴分离效率,促进O2质子化还原为·OH和·OOH活性物质,使光催化甲烷氧化的液相产物总产率和选择性高达11581.2 μmol·g-1·h-1和94.5%。
4) 结合一系列实验表征与理论计算结果证明,ReO2@TiO2异质结构通过强化O2还原产生·OH和·OOH,从而活化甲烷中C-H键,实现甲烷光催化转化成CH3OOH、HCHO等氧化产物,并验证了理论设计的正确性。
活性中心设计
根据前期报道的气相实验结果,首先探究了气相阳离子团簇ReOx+(x = 0 – 3)对反应物O2、·OH和·OOH活性物种的吸附。根据电荷和轨道分析,对于ReOx+(x = 1/2),氧配体的引入提高了Re中心的正电性和降低了单占据Re5d轨道与O2中单占据π(O-O)轨道的能量差,促进Re5d轨道与π(O-O)轨道相互作用,强化ReOx+(x = 1/2)对O2的吸附。在周期性结构中,配位数的差异和晶格分子距离将导致d带中心的移动,而能带的本质是气相团簇分子轨道的叠加。对于ReOx,O配位数增加将导致轨道相互作用增强和d带宽度变窄,ReO2的Re中心具有最低的d带中心,与氧气的相互作用最强。因此,理论筛选得到ReO2为最佳的亲氧中心。
图1. 团簇和周期性ReOx结构的亲氧性调控
光催化剂制备及物理表征
在实验上,通过简单的浸渍法制备得到了一系列n%ReO2@TiO2光催化剂。XRD表征表明TiO2载体为锐钛矿相,且所有样品中并未出现Re或ReOx对应的衍射峰,这可能是由于样品中Re负载量比较低所导致的。TEM和XPS结果表明Re以ReOx形式存在,并形成了局部ReO2@TiO2异质结构,并分别暴露ReO2(200)和TiO2(111)晶面。
图2. ReO2@TiO2光催化剂表征
光催化性能
因此,以Xe灯为光源、O2为氧化剂,在水溶液中进行甲烷光催化氧化实验。相较于纯TiO2,1.0%ReO2@TiO2体系的液相氧化产物(CH3OH、CH3OOH、HCHO和HCOOH)总产率在负载量分别为2 mg和10 mg时分别达到11581.2 μmol·g-1·h-1和4061.7 μmol·g-1·h-1,选择性分别为94.5%和98.4%,其光催化性能由于大多数已报道的催化剂。O2作为氧化剂被认为是影响催化性能的一个关键因素(图2b)。当体系中氧气缺失时,没有氧化产物生成,表明O2是光催化过程的一个必需品,当O2/CH4摩尔比为1/19时,产率达到最大。当气相反应物的总压力增大时,水中溶解的甲烷增多,导致液相氧化产物产率随之增大。通过长时间和循环稳定性实验,1.0%ReO2@TiO2光催化剂具有良好的稳定性。
图3. Xe灯照射下光催化甲烷转化性能
机理分析
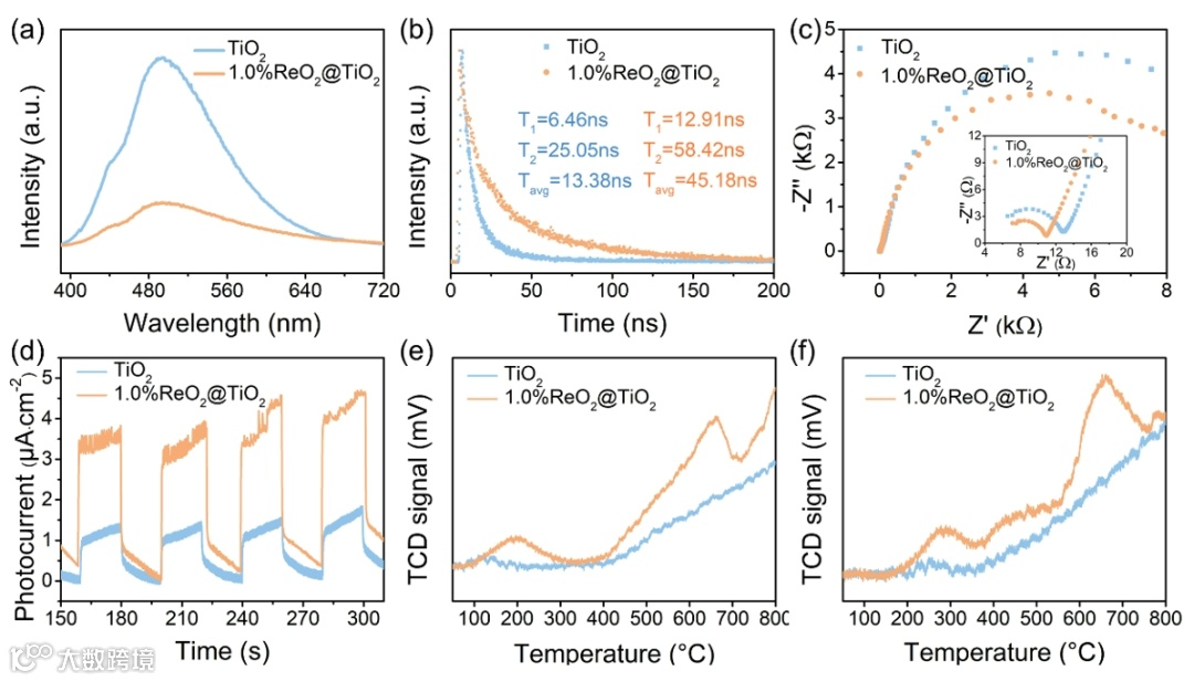
根据荧光光谱、电化学阻抗谱和光电流响应实验结果,相较于纯TiO2,1.0%ReO2@TiO2具有更长的光生载流子寿命、更小的电化学阻抗和更高的光生电流密度,这表明局部ReO2@TiO2异质结构的形成显著促进了电荷分离并提高分离电荷的利用效率。此外,O2-TPD和CH4-TPD结果也表明1.0%ReO2@TiO2具有更强的O2、CH4吸附和活化能力,促进了光催化甲烷氧化过程。
图4. 纯TiO2和1.0%ReO2@TiO2的光电性能
原位电子自旋共振(EPR)实验表明,在纯TiO2和1.0%ReO2@TiO2体系中均检测到了·OH和·OOH自由基的生成。但在1.0%ReO2@TiO2体系中,·OH信号明显强于纯TiO2体系,而·OOH自由基的信号相差不大,这说明·OH数量是影响1.0%ReO2@TiO2光催化性能的关键因素。此外,O2缺失的情况下,·OH信号减弱到几乎没有,说明O2还原过程是生成·OH的主要过程。进一步的H2O2替代O2氧化剂对照实验也证明了O2还原过程的优越性和重要性。
图5. 光催化甲烷氧化过程中的自由基实验
18O2与H218O同位素标记实验被用来探究氧化产物中氧的来源(包括两种可能性:O2/H2O),响应的GC-MS谱图表明O2为甲烷氧化产物中氧的唯一来源,与体系中O2缺失时无氧化产物生成的实验结果一致。
图6. 18O2与H218O标记的1.0%ReO2@TiO2光催化甲烷氧化同位素实验的GC-MS谱图
亲氧性ReO2@TiO2上的甲烷氧化反应机理和DFT计算
DFT计算被用来进一步解释甲烷光催化氧化的反应机理和探究ReO2@TiO2的作用。相对于纯TiO2表面,ReO2@TiO2表现出更高的CH4和O2吸附能,且吸附位点为金属Re,与CH4-TPD和O2-TPD实验结果一致,有利于O2还原和CH4活化。电荷差密度和Bader电荷计算表明,ReO2@TiO2向O2转移了更多的电荷(0.72e),其中大部分由金属Re提供。Re作为一种具有多种氧化态和丰富配位化学性质的过渡金属,由于其与氧的配位以及金属氧化物不同的能带排列,可以在界面处诱导电荷转移。ReO2@TiO2的异质结构除了具有活性吸附中间体的作用外,其投影态密度(PDOS)表明,ReO2@TiO2的异质结构有利于光生电子从TiO2的导带转移到ReO2的导带,从而减少电子-空穴复合,促进氧化还原反应。接着光催化甲烷氧化过程设计的反应进行了反应路径计算。对于ORR过程,ReO2@TiO2的限速步骤为*OH→H2O。这表明系统中的O2可以还原产生大量的·OH自由基,进而激活CH4形成·CH3。而OER过程中生成·OH相对比较困难,说明·OH自由基的主要来源为O2。在将CH4激活为·CH3后,将与体系中的·OOH结合生成CH3OOH, CH3OOH不稳定,容易进一步分解为CH3OH和HCHO。虽然CH3OH在热力学上更有利,但在CH3OOH分解后,它的生成需要与质子供体进一步反应,而生成HCHO的途径具有更大的动力学优势。因此,HCHO是甲烷光催化氧化的主要产物之一。
本工作通过探究氧配位对气相ReOx+ (x = 0 - 3)团簇的亲氧性的调控,用于指导光催化甲烷氧化活性位点的设计。对于气相ReOx+ (x = 0 - 3)阳离子团簇,O配体的引入降低了ReOx+ (x= 1-2)中单占据Re(5d)轨道能级,从而增强了与O2单占π(O-O)轨道的相互作用,进一步的计算验证了周期性结构ReO2对O2具有较强的吸附能力。因此,开发制备了一系列具有局部异质结构的负载型光催化剂n%ReO2@TiO2,用于甲烷常温光催化氧化。原位EPR和同位素标记实验表明,O2是产物中氧的唯一来源,也是用于活化甲烷C-H键·OH自由基的主要来源。此外,ReO2@TiO2异质结构的形成有利于光生电子从TiO2的导带转移到ReO2的导带,显著提高了电子-空穴分离效率,促进O2质子化还原为·OH和·OOH活性物质。因此,相对于纯TiO2,光催化甲烷氧化的产率提高了数倍,优化后的1.0%ReO2@TiO2光催化剂负载量分别为2 mg和10 mg时,液体氧化产物(CH3OH、CH3OOH、HCHO、HCOOH)的产率分别达到11581.2 μmol·g-1·h-1和4061.7 μmol·g-1·h-1,选择性分别为94.5%和98.4%。本工作不仅设计得到一种高效和无贵金属的甲烷氧化光催化剂,也验证了气相结果和规律用于指导凝聚相催化剂设计的可行性,而这个过程中建立合理的气相到凝聚相中构效关系的关联机制对于催化剂性能的调控至关重要。
Yan, L.; Wang, S.; Qian, C.; Zhou, S., Enhancing Oxygen Activation toward Promoted Photocatalytic Oxidation of Methane to Liquid Oxygenates with ReO2@TiO2: the Regulation of Oxygen Affinity. J. Mater. Chem. A 2025, DOI: 10.1039/D4TA07559E.
https://doi.org/10.1039/D4TA07559E
多尺度热力学理论及应用研究团队,负责人周少东。团队主要研究方向包括:气相化学和质谱开发;能源小分子高效转化;含硫/氮/硅专用化学品分子设计及合成工艺开发、工程放大;多尺度热力学模型开发等。
欢迎关注我们,订阅更多最新消息
“邃瞳科学云”推出专业的自然科学直播服务啦!不仅直播团队专业,直播画面出色,而且传播渠道多,宣传效果佳。
“邃瞳科学云"平台正在收集、整理各类学术会议信息,欢迎学会、期刊、会议组织方择优在邃瞳平台上进行线上直播,希望藉此帮助广大科研人员跨越时空的限制,实现自由、畅通地交流互动。欢迎老师同学们提供会议信息(会有礼品赠送),学会、期刊、会议组织方商谈合作,均请联系18612651915(微信同)。
投稿、荐稿、爆料:Editor@scisight.cn