自发对称性破缺与质量的起源
郝维昌
北京航空航天大学物理学院
最早注意到物理系统与对称性关系的是德国女数学家诺特(Emmy Noether,1882-1935)。1918年诺特将物理中的守恒定律与对称性联系在一起。诺特发现能量守恒定律对应时间对称性;动量守恒对应空间平移对称;角动量守恒对应旋转对称性等[1]。诺特这些研究成为物理学家研究物理系统的基本范式之一。1930年代苏联物理学家朗道及其学生发展了相变(Phase Transition)理论[2],提出的相变与对称性破缺相关,让我们能够用序参量来描述凝聚态系统的宏观态,使用对称性来给不同物相进行分类。根据物质的对称性及其破缺的方式来研究相和相变的方法被称为朗道范式。南部一郎1960年指出某些物理系统在没有外部扰动的情况下,对称性可以自发破缺,首先将自发对称性破缺的概念引入粒子物理[3]。1961年戈德斯通发现自发对称性破 缺会产生无质量的Glodstone粒子[4]。1963年,安德森指出早期BCS超导理论因假设零动量配对,导致电流表达式违反规范不变性。Anderson等人通过引入序参量涨落,通过规范玻色子与序参量的相互作用,导致带电系统中Goldstone模式被吸收,光子获得质量[5],为后续希格斯机制奠定基础。Anderson指出超导中光子与Goldstone模式结合形成有质量模式的机制启发了粒子物理研究者。1964年希格斯[6]、F Englert, R Brout, T Kibble, G Guralnik, and C R Hagen[7, 8]六位科学家迅速反应进行了类比研究,建立著名的希格斯机制,并预言希格斯粒子存在。到1967年Glashow、Salam和Weinberg构建了电弱理论时[9-11],引入希格斯场(“墨西哥帽”势能),消除Goldstone玻色子,赋予了W/Z玻色子质量。
下面咱们一步一步的来展现Anderson-Higgs机制及粒子质量的起源。
1. 一维实数模型
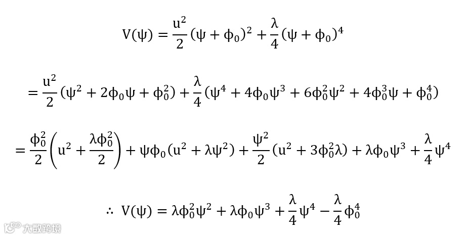
假想最简单的例子,一个一维空间中无质量粒子,其拉氏量为
由于粒子没有质量第一项动能想为零,存在如下势能项
当u>0, ϕ=0 为极小值
当u<0,由 ∂v/∂φ=0 可知,存在两个极值点
因此
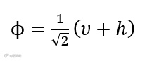
将坐标原点变换到极值点(如图1所示),建立一个新的场函数Ψ
将上式代入势函数,得到新的表达式
其中,λϕ02ψ2为质量项
图1一维实Higgs势
2. 超导中光子获得质量的Andserson机制
对于超导体系,其拉格朗日量用金茨堡-朗道自由能表示
其中Ψ为超导序参量,Fμν是电磁张量
超导或者超流的有效自由能中序参量满足SO2理论,即将序参量可以分解为振幅和相位的形式
ψ=|ψ|eiθ
势函数为以下形式
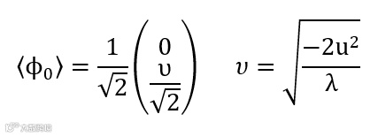
墨西哥帽子势函数的零点为非零的环线(如图2所示),即其真空期望值为
势能的零点对应系统的真空态,但由于场必须选择环上的某一点作为实际真空,原始的连续对称性U(1)被破坏。在无规范对称性时,沿环的方向存在零质量的Goldstone玻色子。但在超导中存在电磁规范场与序参量的相互作用。将上式代入GL自由能表达式就得到
经规范变换
A→A+ 1/2e ∇θ
可以消除相位θ项,零能的相位集体模式被吸收进电磁场的纵向分量
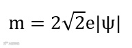
获得了质量项(2e)2|ψ|2A2,粒子的质量为
超导相变是U(1)对称性的自发破缺导致的,相变之后产生参量的波动则会导致体系中出现低能元激发。对超导体来说就有两种不同的波动,分别对应着序参量的相位和振幅。由于U(1)对称是连续对称,自发对称破缺之后会产生无能隙(质量)的戈德斯通模,正好就对应着相位波动。如果体系中存在着无能隙的波动模式,那么有能隙的振幅模式就总有机会在相互作用下衰减成几个低能的相位模式,因此实验上不容易观察到。序参量振幅的波动则一般是有能隙的, 零能的相位集体模式被吸收进电磁场的纵向分量,其能量被推至高能的等离子体频率,现在这一超导理论被后人称为Anderson-Higgs机制。超导序参量的相位涨落跟U(1) 规范场,也就是与电磁场的动力学耦合在了一起,结果导致相位涨落被吸收到了电磁场的纵向分量,产生了能隙,即交换电磁作用的光子获得了质量。这导致电磁相互作用力的快速衰减产生趋肤效应,这是超导体具有完全抗磁性(Meissner效应)的物理根源。
3. 希格斯机制
图2 复空间的Higgs势
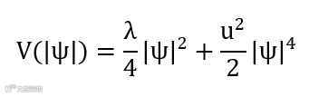
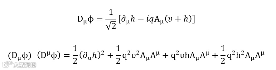
我们进一步将ϕ扩展到复数空间,ϕ为复标量场,系统的拉格朗日量如下
其中
如果势函数用两个实数来描述
代入得到
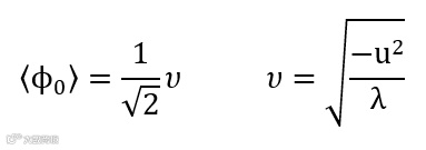
势函数的真空期望值
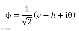
定义新场,利用极坐标参数化
其中h为希格斯场,θ为Goldstone玻色子,与Anderson处理超导类似,由于Higgs场与规范场的耦合相互作用,可以通过规范变化将θ消去
只考虑动能项,代入协变导数
在规范场与希格斯场相互作用及规范变换下,原本的Goldstone玻色子θ被吸收为Aμ的纵向极化分量,规范玻色子获得质量:
m=qυ
4. 电弱统一理论
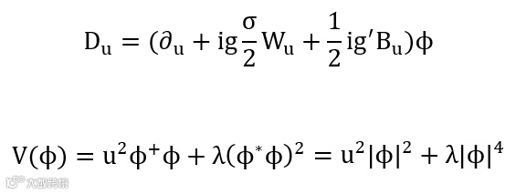
在电弱相互作用具有SU(2)ⅹU(1)规范对称性,是由Yang-Mills规范理论确定其拉格朗日量如下
其中Wμ是3指标的SU(2)规范场,Bμ是U(1)规范场
其中,ϕ为四指标的复标量场 Higgs场。
势函数的真空期望值
定义新的场
其中h为希格斯场,θ为Goldstone玻色子,与Higgs机制类似处理,由于Higgs场与规范场的耦合相互作用,可以通过规范变化将θ消去。用新的场重写拉氏量,获得质量项,这里仅仅给出质量项目拉氏量
于是W和Z玻色子都获得了质量,需要注意的是在这一过程中光子仍然保持U(1)对称性,仍保持无质量粒子
5. 标准模型
标准模型统一了电磁相互作用、弱力和强力,规范对称性为SU(3)ⅹSU(2)ⅹU(1)。思想与电弱统一理论完全一致,就不在这里推导了,数学有点吓人也,同时也超出了作者的能力范围,就不在这里展示了。另外上面介绍中不涉及规范费米子质量的获得机理,费米子质量的获得源于费米子与Higgs场的汤川相互作用,比玻色子获得质量模式更简单,Higgs粒子本身的质量源于势能项,这里也未给出。
6. Lemard-Jones potential
Lennard-Jones 势能是一个简单的模型,它描述简单原子和分子之间相互作用的基本特征:两个相互作用的粒子在非常近的距离相互排斥,在中等距离相互吸引,并最终在无限远的距离停止相互作用
其中,r—两个粒子之间的距离;ε—势阱深度;σ—粒子势能;V=0时距离(可以看作常数)
图3 Lemard-Jones potential
其中,ϕ是实数。此函数是旋转了180°的半个墨西哥帽子!!!我们的教课书中从未有人指出L-J势也是墨西哥帽子势,这就说明原子(分子)之间相互用与基本粒子的相互作用存在内在的本质的关联(作者注意到了这个关联)。
图4 一维晶格的周期势场
在真实晶格体系中,原子间平均势场就是L-J势的周期结构(如图4所示),利用周期势对自由电子的波函数的微扰就会在布里渊区边界产生能隙,能带理论中能隙产生是不是也可以与超导赝能隙进行类比,也是电子与周期势场相互作用导致了电子质量产生(如果将原始的质量看做零质量,尽管自由电子是有质量的体系,在布里渊区边界的K点附近仍然可以近似认为其线性色散,为无质量的粒子作类比)。或者说这一质量获得更像是周期势场与电子相互作用的汤川机制,因为不涉及规范变换的影响。
参考文献
[1] E. Noether, Invariante Variationsprobleme Nachrichten von der Gesellschaft der Wissenschaften zu Göttingen, Mathematisch-Physikalische Klasse 1918, 235-257
[2] 于渌,郝柏林,陈晓松. 边缘奇迹:相变和临界现象. 北京:科学出版社,2005
[3] Y. Nambu, G. Jona-Lasinio Dynamical model of elementary particles based on an analogy with superconductivity. I II. Physical Review. 1961, 122: 345-358; 124 : 246–254.
[4] J. Goldstone Field Theories with “Superconductor” Solutions Nuovo Cimento 1961, 19: 154-164
[5] P. W. Anderson Plasmons, Gauge Invariance, and Mass Physics Review 1963, 110: 439-442
[6] P. W. Higgs Broken Symmetries and the Masses of Gauge Bosons Physics Review Letters 1964, 13: 508-509
[7] F. Englert and R. Brout Broken Symmetry and the Mass of Gauge Vector Mesons Physics Review Letters 1964, 13: 321-323
[8] G. S. Guralnik, C. R. Hagen, and T. B. Kibble Global Conservation Laws and Massless Particles Physics Review Letters 1964, 13: 585-587
[9] S. Glashow The renormalizability of vector meson interactions Nuclear Physics 1959, 10:107-117
[10] A. Salam, J. C. Ward Weak and electromagnetic interactions Nuovo Cimento 1959, 11: 568–577.
[11] S. Weinberg A Model of Leptons Physics Review Letters 1967, 19: 1264-1266
声明
“邃瞳科学云”直播服务
扫描二维码下载
邃瞳科学云APP

