共价有机框架(COF)因其高结晶度、有序的多孔结构和可定制的功能成为具有前景的光催化材料。然而,COF作为光催化剂在过氧化氢合成中面临电荷复合与氧吸附不足的瓶颈。本研究创新性地在亚胺键合COF孔壁中引入氟原子,构建了HITMS-COF-20和HITMS-COF-21两种材料。由于氟原子独特的电负性与原子尺寸效应,改性后的COF展现出多重优势:①扩展光吸收范围,促进激子离域;②增强载流子分离效率,降低复合率;③强化氧分子吸附与活化能力。经过系统分析表明,使用氟掺杂进行电子结构调控,从而优化界面作用,使过氧化氢产率显著提升。该工作为COF基光催化剂的理性设计提供了电子调控-传质优化协同强化的新视角。
过氧化氢(H2O2)作为绿色氧化剂,在能源、环保及工业领域具有重要应用,但其传统蒽醌法制备存在高能耗和污染问题。通过太阳能驱动光催化合成H2O2(仅需H2O和O2)成为极具潜力的替代方案,但现有光催化剂存在效率不足且依赖牺牲剂的缺点。COF因可设计孔道结构、宽光谱吸收及高稳定性的优势成为研究热点,但其在H2O2光合作用中的性能仍受限于电荷分离效率和反应路径单一性。近年来,COF基光催化剂通过分子工程策略逐步突破性能瓶颈。例如,引入乙炔基团(CTF-BDDBN)可优化2e⁻水氧化路径(WOR),使H2O2产率达667 μmol g-1 h-1;三维拓扑结构(COF-NUST-16)通过增强光捕获将产率提升至1077 μmol g-1h-1。然而,现有研究多聚焦于单一反应路径(如ORR或WOR),而同步利用电子-空穴对实现双路径协同反应的COF设计仍面临挑战。此外,构建单元微调控对催化活性位点及能带结构的影响机制尚不明确。在此背景下,本工作提出氟化策略与质子化协同调控的新思路,设计两种亚胺基二维COF:HITMS-COF-20(含氟化单元DPTF)和HITMS-COF-21(非氟化DPT单元)。旨在深入探讨氟原子如何提升氧还原反应活性,从而为COFs的分子设计提供新策略。
1. 氟化COF构建块优化性能
通过引入氟原子,显著优化了COF的电子结构,降低了相邻碳原子的吉布斯自由能,从而提高了H2O2的光合作用活性位点数量,并改善了光生电荷的转移和分离效率。
2. 质子化处理显著提升催化活性
质子化处理不仅增强了COF的光吸收能力,还优化了活性位点的质子吸附能力,使H2O2的生产效率大幅提升,其中HITMS-COF-21H+在质子化后表现出最高的H2O2产率(1957 μmol g-1h-1),比原始状态提高了5倍。
3. 双路径反应实现高效光合作用
通过同时利用氧还原反应(ORR)和水氧化反应(WOR),实现了电子和空穴的高效利用,显著提高了光催化产H2O2的生产效率,为解决热力学竞争副反应提供了新思路。
图1.HITMS-COF-20和HITMS-COF-21的合成路线和化学结构。
通过席夫碱反应合成了两种亚胺键COF—HITMS-COF-20和HITMS-COF-21(图1)。从PXRD光谱、N2吸附/解吸等温线和高分辨TEM图像可知,两种COFs均具备较高的结晶度与永久孔隙结构(图2a-e)。从紫外-可见漫反射光谱(图2f)可知,两种COFs都有良好的可见光吸收能力。结合Tanu图及莫特-肖特基曲线等表征对HITMS-COF-20和HITMS-COF-21的能带结构进行分析(图2g-h),结果表明,两种COFs的能带结构在热力学上都有利于整体光合成H2O2(图2i)。
图2. a) COF的N2吸附/解吸等温线。b) HITMS-COF-20的PXRD图。C) HITMS-COF-21的PXRD图案。d) HITMS-COF-20的SEM图像。e) HITMS-COF-20的TEM图像。f) HITMS-COF-20(粉红色)和HITMS-COF-21(橙色)的UV-vis DRS。g) HITMS-COF-20,h)HITMS-COF-21的莫特-肖特基图。i) HITMS-COF-20和HITMS-COF-21的能带结构图。
光催化实验表明HITMS-COF-20具备较高的光合成H2O2速率(452 µmol g−1h−1)。同时,通过一系列控制实验表明两种COFs可以通过ORR和WOR双路径产过氧化氢(图3b)。此外,循环测试表明两种COFs具有良好的稳定性(图3c)。
图3 a) COF在纯水(40 mL,10 mg COF)中产生H2O2的光活性。b) 不同条件下HITMS-COF-20和HITMS-COF-21的H2O2生产。c) HITMS-COF-20和HITMS-COF-21在连续五个H2O2生产循环中的性能。d)HITMS-COF-20生产过氧化氢的紫外-可见光谱和AQY。
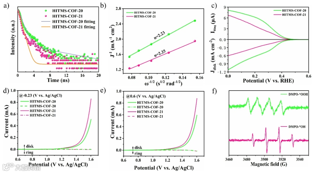
TRPL光谱表明HITMS-COF-20可以更有效地促进电荷传输和分离(图4a),RDE、RRDE和EPR测试表明两种COFs可以通过2e-ORR和2e-WOR产生过氧化氢(图b-f)。
图4 a) HITMS-COF-20和HITMS-COF-21的时间分辨荧光衰变光谱和寿命拟合曲线。b) 通HITMS-COF-20和HITMS-COF-21的电子转移数。c) 在1600 rpm的O2饱和PBS溶液(0.1 M)中,在环电流(顶部)和盘电流(底部)下,HITMS-COF-20和HITMS-COF-21的RRDE极化曲线。d) HITMS-COF-20和HITMS-COF-21的RRDE伏安图在1000 rpm的Ar除气PBS溶液(0.1 M)中设置为-0.23 V vs Ag/AgCl,以检测O2。e) HITMS-COF-20和HITMS-COF-21的RRDE伏安图设置为0.6 V vs Ag/AgCl,以检测H2O2。f) HITMS-COF-20的DMPO自旋捕获EPR光谱用于测量可见光下的*OH和*OOH。
理论计算实验表明,引入的氟原子降低了相邻碳原子的吉布斯自由能,从而提高了H2O2的光合作用活性位点数量,并增强了激子离域,抑制了电荷复合,促进了2e-ORR和2e-WOR路径,从而提高了光催化效率。
图5.a) HITMS-COF-20上的O2吸附位点。b) HITMS-COF-20通过2e-ORR路径光催化合成H2O2的自由能图。c) 亚胺键中的C原子是WOR路径的活性位点。d)HITMS-COF-20通过2e-WOR路径光催化生产H2O2的自由能图。e) HITMS-COF-20和HITMS-COF-21通过2e-ORR路径光催化合成H2O2的自由能图。f) HITMS-COF-20和HITMS-COF-21通过2e-WOR路径光催化合成H2O2的自由能图。
通过质子化亚胺键(HITMS-COF-20H+/21H+),实验证实了其作为最佳活性位点的理论预测。UV-Vis显示质子化后光吸收范围显著扩展(HITMS-COF-20H+吸收边从540 nm延伸至760 nm),FTIR证实了1662 cm-1处C=NH+特征峰的形成。光催化产H2O2性能显著提升,HITMS-COF-20H+和21H+的产率分别达1315和1957 μmol g-1 h-1,较未质子化样品提高2.9倍和5.0倍,且循环6次后仍保持63%和59%活性。EIS表明质子化后电荷转移电阻降低,ζ电位分析显示表面负电荷增强,促进H⁺吸附及反应动力学,验证了质子化策略通过优化电荷传输与表面特性提升光催化效率的普适性。
图6 a) 质子化过程示意图。b) HITMS-COF-20和HITMS-COF-20H+的紫外-可见吸收光谱。c) HITMS-COF-20和HITMS-COF-20H+的红外光谱。d) COF的质子化用于H2O2的生产(40 mL,10 mg COF)。e) HITMS-COF-20H+和HITMS-COF-21H+与其他代表性光催化剂的性能比较。
本研究通过合成两种结晶亚胺键合COFs材料(HITMS-COF-20/21),实现了无牺牲剂条件下光催化双路径(2e⁻ORR和2e⁻WOR)全合成H2O2。氟化修饰显著提升了材料性能,经质子化改性后,HITMS-COF-20H⁺和21H⁺的产率分别达到1315和1957 μmol·g-1·h-1,较原始COF提升3-5倍。实验与理论计算表明,氟掺杂通过优化电荷分离传输效率、增强O2吸附能力及促进*OOH中间体形成,有效提高了H2O2选择性和合成效率。该研究证实原子级氟掺杂策略在光催化材料设计中的关键作用,为开发绿色可持续化学技术提供了新思路。
王琳:哈尔滨工业大学张勇课题组博士研究生,研究方向主要是用于光催化应用的COF的设计和合成。
蒋加兴:江汉大学教授、博士生导师,博士毕业于华南理工大学。研究方向为共轭微孔聚合物材料的分子设计、合成和在光催化分解制氢及储能等领域的应用研究。以第一/通讯作者在J. Am. Chem. Soc、Angew. Chem. Int. Ed., Adv. Mater., Adv. Funct. Mater.等SCI期刊上发表论文90余篇。
张勇:哈尔滨工业大学教授、博士生导师,博士毕业于华南理工大学。研究方向为用于光电和能量转换应用的有机材料的开发。以第一/通讯作者在J. Am. Chem. Soc., Adv. Mater., Adv. Funct. Mater.等SCI期刊上发表论文110余篇。
声明
“邃瞳科学云”直播服务
扫描二维码下载
邃瞳科学云APP

