第一作者:项学芃、马梓林
通讯作者:陈燕、赵仕俊
通讯单位:华南理工大学、香港城市大学
论文DOI:https://doi.org/10.1002/anie.202502937
质子陶瓷电解池(PCEC)是一种极具前景的技术,能通过高效脱氢反应制备高附加值化学品,但其发展仍受限于缺乏稳定的电催化剂来实现O-H/C-H键的有效断裂。在各种电催化剂材料中,钙钛矿氧化物因其独特的物化特性而成为研究热点。然而,该类电极材料仍面临诸多挑战,包括反应动力学迟缓、催化活性不足以及相稳定性较差等问题。针对这些技术瓶颈,通过金属掺杂策略可有效调控其缺陷化学与电子结构,从而优化催化活性与结构稳定性。然而,当前电极材料的设计仍主要依赖于经验驱动的实验试错策略,不仅效率低下,且难以系统揭示材料的结构-性能关系,严重制约了新材料的开发速度。
近日,华南理工大学陈燕教授课题组与香港城市大学赵仕俊教授课题组合作,利用高通量第一性原理计算,系统研究了不同杂质元素对于Ba(Zr,Co,Fe,M)O3材料缺陷化学的影响机制。通过分析杂质元素种类与氧空位形成能、水合能之间的相关性,从563种候选材料中筛选出了一系列高效电极材料,并通过实验成功验证了这些材料对于水分解和乙烷脱氢反应具有优异的催化性能。
在精细化工和清洁能源转化领域,脱氢反应是实现饱和烃类(如烷烃)向高附加值烯烃、芳烃等化学品转化的关键步骤,同时也是水解制氢的核心过程。然而,传统热催化脱氢技术通常需要高温高压条件,存在能耗高、选择性低及碳排放量大等问题,难以满足绿色化工的发展需求。
质子陶瓷电解池(PCEC)作为新兴固态电化学器件,凭借其中温操作范围(400 ~ 700 °C)、良好的选择性、高能效和低碳排放等优势,为清洁高效脱氢提供了新路径。但其商业化应用受限于空气电极材料的性能瓶颈。
(1) 利用高通量第一性原理计算,构建了Ba(Zr,Co,Fe,M)O3基(M代表杂质元素)钙钛矿体系,并以氧空位形成能(∆Evf)和水合能(∆Ehydr)作为关键性能指标,筛选该体系下潜在的PCEC电极材料。
(2) 通过系统分析杂质元素的氧化态、离子半径、电子结构等影响因素,发现三价杂质元素(如Y、Yb、Tm等)凭借其适中的离子半径与匹配的价态特性,可有效实现氧空位形成能与水合能的协同调控,从而优化电极反应活性。
(3) 设计了BaZr0.125Co0.375Fe0.375Tm0.125O3−δ电极材料展现出优秀的脱氢反应活性:水电解法拉第效率高达98.90%,乙烷脱氢反应中达到67.60%的乙烷转化率与62.62%的乙烯产率。
研究团队以Ba(Zr,Co,Fe,M)O3作为模型体系,进行高通量DFT计算,并按杂质元素常见氧化态进行分类研究。虽然基于前驱体特性的混合规则(RoM)可初步预测多组元材料性能,但通过与DFT计算结果比较,氧空位形成能(∆Evf)的DFT计算值与RoM预测值存在明显差异,其中三价掺杂体系表现出最优的氧空位形成能力,且构型熵与∆Evf呈现明显的相关性。
研究团队系统研究了B位掺杂对钙钛矿氧化物化学化学的调控作用,选取Ba(Zr,Co,Fe,M)O3(M = Cr、Mn、Ni、Cu、Zn、Y、Ce、Yb)作为模型体系开展高通量DFT计算研究。根据掺杂元素的常见氧化态,将其分为二价(Ni、Cu、Zn)、三价(Y、Yb)和四价(Ce、Cr、Mn)三类进行对比分析。研究发现,虽然RoM可对材料性能进行初步预测,但实际DFT计算获得的氧空位形成能(∆Evf)与RoM预测值存在显著差异。其中,三价掺杂体系展现出最优的氧空位形成能力,通过提高材料组分的无序度(构型熵)有助于∆Evf。
图1. Ba(Zr,Co,Fe,M)O3钙钛矿模型体系及其氧空位形成能的计算结果。
通过分析杂质元素与基质Zr的离子半径失配度(|∆r|)及晶格弛豫能(∆Erel),揭示了结构畸变对∆Evf的调控作用。结果表明,掺杂半径失配度较大的Mn、Y等元素会诱导明显的局部原子位移(∆R),从而对∆Evf产生重要调控作用。进一步的电子结构分析表明,过渡金属d轨道的Hubbard带分裂(ΔU)和费米能级(Efermi)位置共同决定了∆Evf的变化规律。
图2. 晶格畸变与电子结构对氧空位形成能的影响。
通过对Ba(Zr,Co,Fe,M)O3体系水合能(∆Ehydr)的系统计算,分析了构型熵对其的影响机制,构型熵对∆Ehydr的影响规律与其对∆Evf的作用存在明显差异。虽然通过RoM预测显示∆Ehydr随熵增而升高,但DFT计算结果表明了Ce掺杂体系具有特殊的规律,其水合能与构型熵的关系呈现与RoM结果相反的趋势。而且多组元体系的∆Ehydr分布范围明显大于RoM预测结果,这些结果表明多组元体系内元素的复杂相互作用,有利于拓展性能的调控空间。
图3. 多组元体系水合能的计算结果。
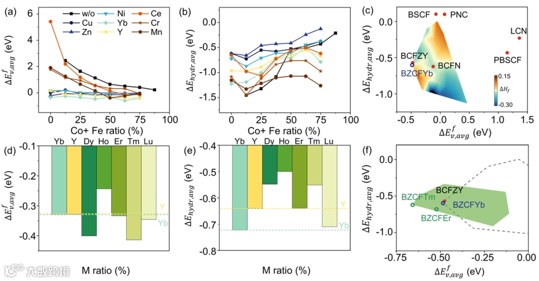
随后,研究团队系统分析了元素比例对Ba(Zr,Co,Fe,M)O3体系∆Evf和∆Ehydr的影响规律。研究发现,增加变价主体元素(Co + Fe)比例可显著降低∆Evf,而对∆Ehydr的调控则呈现复杂的调控趋势,其中75%的Co + Fe比例在这两方面展现出最佳平衡性能。在所有研究的杂质元素中,三价掺杂元素(如Y、Yb、Tm等)凭借其适中的离子半径与匹配的价态特性,可有效实现∆Evf与∆Ehydr的协同调控,从而优化电极反应活性。
图4. 元素比例分析以及利用二维能量图筛选材料。
从基于高通量DFT计算的二维能量图中,筛选出BaZr0.125Co0.5Fe0.25Yb0.125O3−δ(BZCFYb)、BaZr0.125Co0.5Fe0.25Er0.125O3−δ(BZCFEr)和BaZr0.125Co0.375Fe0.375Tm0.125O3−δ(BZCFTm)三种高性能PCECs电极材料,其中BZCFTm电极展现出最优异的电化学性能,在650 °C下实现1.62 A cm−2的电流密度和98.90%的法拉第效率,且能在可逆模式下稳定运行100小时,其性能显著优于传统BaCo0.4Fe0.4Zr0.1Y0.1O3−δ(BCFZY)材料。
图5. 预测优势材料的电化学性能。
BZCFTm电极展现出优秀的多功能催化性能,不仅在水电解反应中表现优异,在非氧化乙烷脱氢(NDH)反应中同样取得突破。实验表明,该电极在700 °C下可实现67.62%的乙烷转化率和92.64%的乙烯选择性,同时具有64.94 ~ 74.14%的高法拉第效率,其性能明显优于现有文献报道的电催化材料性能。这一成果不仅验证了基于∆Evf和∆Ehydr二维能量图筛选策略的有效性,更展现了理论计算指导多组元功能材料开发的巨大潜力。
图6. BZCFTm的非氧化乙烷脱氢反应性能。
在这项工作中,研究者利用高通量DFT计算系统研究了563种Ba(Zr,Co,Fe)O3基钙钛矿材料,揭示了B位掺杂元素对∆Evf与∆Ehydr的调控机制,结果表明高比例变价主体元素(Co + Fe ≥ 75%)与三价掺杂(Yb/Er/Tm)的协同效应能最优平衡这两个关键参数。实验验证表明,最优组分BaZr0.125Co0.375Fe0.375Tm0.125O3−δ展现出卓越性能,水电解法拉第效率达98.90%,乙烷脱氢转化率为67.60%且乙烯产率为62.62%。这一研究不仅拓展了PCEC脱氢电极材料的设计思路,也展示了高通量DFT与实验验证协同加速材料发现的强大潜力,为未来开发高性能电催化材料提供了理论基础与实践路径。
标题:High-Throughput DFT-Assisted Design of Electrode for Efficient High-Temperature Electrochemical Dehydrogenation
作者:Xuepeng Xiang, Zilin Ma, Jun Zhang, Yifeng Li, Yongjian Ye, Wenyu Lu, Mengzhen Zhou, Shasha Huang, Haijun Fu, Bo Yu, Shijun Zhao, Zhang Lin, Yan Chen
链接:https://doi.org/10.1002/anie.202502937
通讯作者:陈燕,华南理工大学环境与能源学院 教授、博士生导师、副院长,国家高层次人才计划青年项目入选者。本科、硕士毕业于北京大学,博士毕业于美国麻省理工学院MIT,并在MIT进行了博士后研究。主要从事环境污染物/废弃物资源化利用研究。近五年(2019-至今)作为通讯作者在Nat. Commun、 Angew. Chem. Int. ed.、Energ. Environ. Sci.、ACS Catal.、Adv. Funct. Mater.、Appl. Catal. B.、ACS Nano等知名学术期刊发表学术论文40余篇,授权国家发明专利10余件;主持了国家重点研发计划青年科学家项目、国家重点研发计划政府间国际科技创新合作项目、国家自然基金委面上项目等多项科研项目;获国际固态离子学会“青年科学家奖”(大陆首位获奖者),广东省“青年科技创新奖”等奖励;担任中国硅酸盐学会固态离子学分会理事、中国电工技术学会电子束离子束专业委员会副主任委员、中国南方先进光源指导委员会资源环境工作组组长、Energy & Fuels顾问委员、Front. Chem.客座编辑等学术职务。
课题组网站:https://www2.scut.edu.cn/yanchen/
赵仕俊,香港城市大学助理教授,分别于2008年和2013年获得北京大学物理学院学士和博士学位。赵博士团队通过灵活使用不同尺度的模拟方法(第一性原理、分子动力学、动力学蒙特卡洛以及团簇动力学等),研究新型结构材料及储能材料等的物理性质及其变形规律,尤其关注在变形或辐照条件下,不同材料中缺陷热热力学及动力学行为。该团队近期致力于开发高性能高熵合金、高熵陶瓷、储能材料和能源转化材料等。在计算材料领域,赵博士共计发表超过80篇同行评审论文,其中包括npj Computational Materials、Acta Materialia、Physical Review Letters、Physical Review Materials等物理/材料领域知名期刊,总引用超3000次。主持多项香港政府资助项目、国家自然科学基金项目、广东省和深圳市自然科学基金项目。曾获Acta Materialia 优秀审稿人。目前担任Fronter in Materials计算材料板块副主编,JOM客座编辑。
声明
“邃瞳科学云”直播服务

