中国科学院理化技术研究所前沿交叉研究中心王健君研究团队近些年在冰晶形成分子机制研究及控冰新材料的创制领域取得了一系列重要进展(Nature 2019, 576, 437-441; PNAS 2016, 51, 14739-14744; PNAS 2017, 114, 11285-11290; J. Am. Chem. Soc. 2021, 143, 13548-13556. J. Am. Chem. Soc. 2020. 142, 17956-17965;Nat. Commun. 2017, 8, 15154),并应用于防覆冰涂层与细胞、组织和器官的低温保存等领域。基于对冰晶形成过程的充分理解,他们发现调节溶剂晶体重结晶的过程可以精准控制溶质分子的组装结构,包括颗粒的尺寸和晶型,由此发展出了独特的冷冻组装(Freeze assembly)策略,取得了一系列成果(Angew. Chem. Int. Ed. 2020, 59, 15141-15146; Nano Lett.2023, 23, 1030-1035; Sci. China. Chem. 2023, 66, 878-886)。近期,王健君研究团队联合中国科学院化学研究所许子豪研究团队和清华大学王朝晖教授团队,受自然界的光合作用系统II中发生的高效对称破缺电荷分离现象的启发,开发了具有高效分子内电荷转移效率的苝酰亚胺(PDI)二聚体,并利用课题组开创的冷冻组装策略,将有机分子组装为直径小于5 nm的超小有机纳米单晶,在晶粒内实现了高效的电荷分离和电荷转移效率,大幅提升了光催化产氢速率。此工作强调了对称破缺电荷分离和超小纳米尺寸(< 5 nm)对光催化效率的重要作用,为发展高性能光催化剂提供了新的思路。4月7日,相关成果在线发表于《Journal of the American Chemical Society》。
用于生产太阳能燃料的人工光合作用有望可持续地替代化石燃料,并解决能源安全和环境问题。虽然有机光催化剂由于其易修饰的分子结构和可调节的电子性能比传统的无机催化剂有一些优势,但固有的局限性仍然存在。具体而言,Frenkel激子的高结合能阻碍了激子的解离和长距离输运,而不完美的分子堆积结构和弱的激子离域也会限制其激子扩散长度(通常为5-10 nm)。此外,目前有机光催化剂纳米颗粒(NPs)的制造方法(如微乳液法、纳米沉淀法)通常会产生几十到几百纳米的大尺寸颗粒,其中的结构缺陷会促进电荷复合。因此,需要发展一种既能够减小有机纳米光催化剂的尺寸,还可以控制单个纳米颗粒内实现有序的分子堆积结构的策略,以促进电荷分离和传输,这对于提高目前的光催化剂的性能至关重要。
在天然光和作用系统II中,组成光和反应中心的卟啉分子以伪C2对称的形式排列,可以发生高效的对称破缺电荷分离(SBCS)和电荷转移,从而实现太阳光的有效利用。由于其生成自由电荷的效率接近统一,科学家们设计了一些由分子内桥连接的生色团分子体系,期望能够模仿天然的SBCS效应。这些体系包含两种,其一是不对称的给体-受体(D-A)结构,其二是完全对称的分子二聚体。前者可以实现电子和空穴沿着分子偶极方向传输,但它们的聚集体尺寸大且分子排列无序,仍会增强电荷复合;后者虽然较好地模仿了天然反应中心的对称结构,但在没有极性溶剂稳定电荷分离态的情况下,电荷重组就会很快发生,因而只能进行低效的分子内电荷分离。这一困境阻碍了SBCS现象在实际的太阳能转化中的应用。
在该工作中,研究人员以苯基作为桥接单元,设计了两种对称的PDI二聚体(p-BDNP和m-BDNP),通过调节溶剂晶体重结晶来精准控制分子的组装过程,将二聚体和PDI单体都分别组装成了具有完美分子堆积的超小(小于5 nm)纳米单晶(图1)。飞秒瞬态吸收光谱研究发现超小晶体可以有效地保留并增强分子原有的对称破缺电荷分离性质,并显著提升电荷分离速率,而PDI单体和对应的超小晶体却几乎没有电荷分离的能力。此外,由于p-BDNP分子间为平面层状堆积方式,有助于提高电荷传输和转移效率,最终实现了1824 μmol h-1 g-1的光催化产氢速率。
图1. 超小有机纳米晶增强对称破缺电荷分离
组装的超小纳米晶体(NCs)平均尺寸约3 nm,高分辨透射电镜证实每一个纳米晶体都具有定义良好的晶格,表明分子有序堆积(图2d-f)。相比于分子态,纳米晶的吸收光谱展宽并红移,表明分子间为J-聚集并具有强电子耦合(图2g-h)。在激子扩散过程中,无序的缺陷和晶界是激子发生非辐射复合的主要位置,所以在超小单晶中,非辐射复合可能不会主导激子重组。因此电荷分离和激子的辐射复合可被视为一对竞争过程,荧光量子效率(PLQY)可用来初步估计超小单晶的电荷分离能力。p-BDNP的分子态和单晶态的PLQY都显著小于m-BDNP和PDI的分子态及单晶态,所以p-BDNP的超小晶体可能具有最强的电荷能力(图2i)。
图2. 超小纳米晶的形貌和稳态光谱表征。
利用飞秒瞬态吸收光谱(fs-TA)探究了分子态和超小纳米晶的光生电荷分离的机理和动力学(图3)。当分子吸收一个光子后,其中一个PDI单元被激发,而另一个仍处于基态,形成激发态(S1或*PDI-PDI),随后一个电子通过苯基桥从*PDI转移到PDI,形成电荷分离态(PDI•+-PDI•-)(图3i)。通过全局拟合得到p-BDNP和m-BDNP的电荷分离时间常数分别是6.3 ps和205.6 ps,因此,p-BDNP的电荷分离速度是m-BDNP的32.6倍(图3a-f)。当分子被组装成超小晶体后,激发态和电荷分离态的光谱特征得到了保留(图3g-h)。同样通过全局拟合,可以得到两种超小晶体的电荷分离常数分别是0.31 ps和0.81 ps。p-BDNP纳米晶的电荷分离速度是m-BDNP的2.6倍。而纳米晶的电荷分离速度相比于分子态都大大加速了,分别是20.3倍和253.8倍。
图3. 分子态和超小纳米晶的电荷分离过程研究。
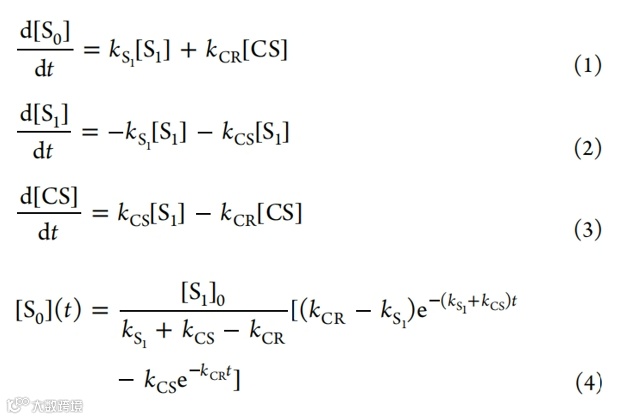
根据图3i的光物理过程,可以写出以下动力学方程(1-3),并解出基态信号的方程(4):
对基态漂白信号进行拟合,可以得到各步骤动力学参数,如下表所示:
其中电荷分离效率是由kCS/(kCS+kS1)*100%计算得到的。p-BDNP超小纳米晶的电荷分离效率分别是是m-BDNP和PDI单体的2.3倍和12.3倍(图4)。将非反应条件和反应条件下的PDI•-动力学作对比,可以得到p-BDNP超小纳米晶的电荷转移效率是94.7%,m-BDNP是60.4%。这是因为p-BDNP的晶体结构是平面层状堆积,沿π-π堆积方向具有便利的电子传输通道,而m-BDNP因为空间位阻的影响,采取了扭曲构象,不利于电子传输(图4e-f)。
图4. 超小纳米晶的电荷分离和电荷转移效率。
三种分子和对应的超小纳米晶的能级结构都适合光催化产氢(HER)(图5a)。在同样的条件下,三种纳米晶的HER速率分别是1497.5、641.5和414.3 μmol h-1 g-1(图5b)。p-BDNP纳米晶的速率可进一步被优化至1824 μmol h-1 g-1。超小纳米晶在光催化反应中具有良好的稳定性(图5c),其尺寸在反应后会略微增大,三种纳米晶的平均尺寸分别从约3 nm增大至6.1、4.7和7.2 nm。与传统的纳米沉淀方法制备的大颗粒相比(约200 nm),超小纳米晶的光催化活性是大颗粒的10倍以上。这些结果强调了超小纳米晶增强的SBCS和有序分子堆积增强的电荷传输对提高有机半导体光催化活性的重要作用,为发展高效有机光催化剂开辟了新的道路。
图5. 超小纳米晶的能级和光催化产氢研究。
文章的通讯作者为中科院理化所前沿交叉研究中心王健君研究员、范庆瑞副研究员、中科院化学所许子豪研究员和清华大学王朝晖教授,第一作者为理化所特别研究助理毛俊强博士。许子豪研究员在超快光谱分析方面提供了悉心指导。该工作得到了清华大学王朝晖教授和姜玮教授的大力支持,同时得到了国家自然科学基金、中国科学院战略性先导科技专项、国家重点研发计划和理化所所长基金等项目的资助。
论文链接:https://doi.org/10.1021/jacs.5c01205
中国科学院化学研究所怀柔研究中心许子豪课题组诚招博士后和项目聘用岗位,主要从事时间分辨光谱、激发态过程研究、光子学器件、光电转换材料机理等方面科研工作。热忱欢迎青年才俊加入团队!
一、课题组简介:
许子豪,中国科学院化学研究所研究员,课题组长,博士生导师。长期从事超快光谱解析激发态动力学的研究工作,在J. Am. Chem. Soc.,Angew. Chem. Int. Ed.,Chem. Sci,Adv. Mater.,Nano Lett.,Acc. Chem. Res.,Phys. Rev. Lett.等期刊发表学术论文30余篇。
二、岗位:
博士后(2名)1. 博士毕业三年内或即将博士毕业的应届生,具有瞬态光谱等时间分辨光谱、光学、固体物理等研究背景者优先;2. 热爱科研,责任心强,具备良好的协作沟通能力;3. 良好的英语水平,具备熟练的论文写作和学术交流能力;4. 在站期间需全时从事课题组研究工作,不得兼职。
项目聘用(3名)1. 已取得学士或硕士学位,具有光学、光化学、光伏、光催化、固体物理、仿真等相关专业背景者优先。
三、聘用待遇:
博士后:1. 按中国科学院及化学所博士后有关规章制度执行,优秀者年薪不低于30万元/年;2. 按化学所规定安排博士后公寓或提供住房补贴;3. 按北京市规定的社会保险政策办理六险一金;4. 积极推荐并协助申请“博新计划”、北京分子科学国家研究中心的BMS Junior Fellow项目、中国科学院特别研究助理资助项目等,入选后待遇另议。
项目聘用:1. 课题组将提供充足的薪资待遇;2. 按北京市社会保险的政策规定办理社会保险和住房公积金;3. 课题组支持个人发展与学术交流;4. 表现优异者可优先获得留组继续深造机会。
四、应聘材料:
1. 个人简历(学习和工作经历,研究背景,发表论文,获奖情况等);2. 个人研究经历概述;3. 其它证明本人科研成果与能力的材料。
五、联系方式:
请将应聘材料通过电子邮件发送至zihaoxu@iccas.ac.cn
声明
“邃瞳科学云”直播服务
扫描二维码下载
邃瞳科学云APP

