
第一作者:曾人友
通讯作者:黄彩进研究员
通讯单位:福州大学化学学院能源与环境光催化国家重点实验室
论文DOI:10.1016/j.apcatb.2022.121680

全文速览
电荷从体相到表面氧化还原位点的分离和转移是光催化过程的制约因素。对此,本文制备了一种具有Ni–Se双空位的NiSeS新型助催化剂,以构筑NiSeS/ZnSe异质结。优化后的NiSeS/ZnSe光催化剂实现了18.32 mmol g−1 h−1的高效光催化析氢速率,分别比单纯ZnSe和1% Pt/ZnSe高107.8和10.2倍。在420 nm处的量子效率达到50.77%。这个NiSeS/ZnSe复合物的光催化析氢活性优于大多数已经报道的ZnSe基光催化剂,如此优异的性能得益于Ni–Se双空位诱导局域极化电场(PEF)形成,加速了表面电荷转移,降低了光催化过程中的反应势垒。这项工作为在光催化剂上引入双空位和表面局部极化,以实现高效的光催化制氢提供了一种可行的方法。

背景介绍
到目前为止,多相催化剂,如金属硫族化合物(例如ZnIn2S4、CdS)在光催化产氢上都有所应用,并取得了很高太阳能到氢气的转化率。特别是ZnSe具有合适的带隙和较高的吸收系数、价格低廉且环保,是一种很有前景的光催化材料。但ZnSe半导体因其缓慢的动力学和较高的光生载流子复合率,使得其表现出来的活性往往都很低。
鉴于此,黄彩进团队构建了NiSeS三元化合物作为助剂,并原位生长在ZnSe上,以形成NiSeS/ZnSe光催化剂,用于光催化产氢反应。在所制备的NiSeS三元化合物中,作者发现了Ni–Se双空位(VNi/VSe)的存在,其中VNi作为一个阳离子空位,形成了一个负电中心,而VSe作为一个阴离子空位则形成了正电中心。因此,VNi/VSe双空位的存在诱发了NiSeS表面的局部极化。使得VNi,Se-NiSeS/ZnSe异质结的光解水制氢活性达到了18.32 mmol g−1 h−1,分别是单纯ZnSe、1% Pt/ZnSe、5% NiSe2/ZnSe和5% NiS2/ZnSe的107.8、10.2、5.1和2.5倍。与此同时,其在420 nm处的量子效率高达50.77%。所制备的催化剂超过大多数已报道的ZnSe基光催化剂的光催化析氢活性。球差电镜(原子分辨率 HAADF-STEM)、拉曼、X 射线光电子能谱 (XPS)、EPR 和 H2-TPR表征和分析表明,NiSeS表面分布着丰富的VNi和VSe,有利于电子转移。最后,根据所得的实验结果,作者提出了一种可能的光催化产氢机理。

本文亮点
1. 构建了一个具有Ni–Se双空位的NiSeS新型助剂,并原位生长在ZnSe上,以形成NiSeS/ZnSe异质结。
2. 具有Ni–Se空位的NiSeS助剂显著的提高ZnSe的光催化产氢活性,使得其展现出高达18.32 mmol g−1 h−1的光催化析氢速率。

图文解析
图1. a) NiSe1−xSx(0 ≤ x ≤ 1)以及b) ZnSe和NiSe0.25S0.75/ZnSe复合物的XRD图。
图2. NZS-5的a–b) TEM、c) HRTEM、d) HAADF-STEM以及e–i) 元素mapping图。
图3. a) NiSe0.25S0.75的原子分辨率HAADF-STEM图。b) NiSe0.25S0.75的晶体结构。c)图 3a 中蓝色框(区域1#)的放大图,红色虚线圆圈代表VNi,而绿色虚线圆圈则代表VSe。d) 图3c中选定矩形区域的强度分布图分别反映了NiSe0.25S0.75中表面缺失的Ni和 Se原子。

图4. a) ZnSe、NiSe0.25S0.75和NZS-5的XPS全谱图。NiSe0.25S0.75和NZS-5中b) Ni 2p;ZnSe、NZS-5和NiSe0.25S0.75中c) Se 3d;NiSe0.25S0.75和NZS-5中d) S 2p以及ZnSe和NZS-5中e) Zn 2p的高分辨XPS谱图。f) NiSe0.25S0.75和NZS-5中表面的Ni3+/(Ni2+ + Ni3+)摩尔比图。其中卫星峰记为“Sat.”。
图5. a) 不同质量比x (S/(Se+S))的5% NiSe1−xSx/ZnSe复合物的光催化产氢活性图。b) 不同NiSe0.25S0.75含量的NiSe0.25S0.75/ZnSe复合物的光催化产氢活性。c) NZS-5的循环稳定性测试图。d) NZS-5在不同波长下的表观量子效率(AQY)。
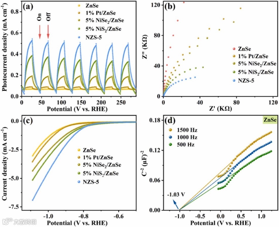
图6. ZnSe、1% Pt/ZnSe、5% NiSe2/ZnSe、5% NiS2/ZnSe以及NZS-5的a) 瞬态光电流响应、b) EIS Nyquist图以及c) LSV曲线 (在0.2 M Na2SO4溶液中)。d) ZnSe的Mott–Schottky图。
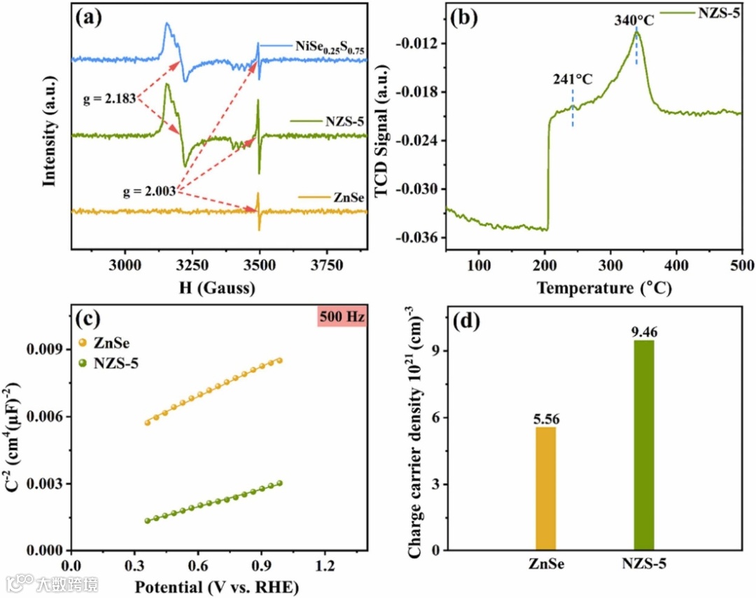
图7. a) ZnSe、NiSe0.25S0.75和NZS-5的EPR光谱图。b) NZS-5的H2-TPR图。ZnSe和NZS-5 c) 在500 Hz下测试的Mott–Schottky图和d)电荷密度图。
图8. NiSe0.25S0.75/ZnSe a) 没有和b) 有VNi/VSe的在Ni 1# 和Se 1# 区域周围原子的 Mulliken电荷(俯视图)。NiSe0.25S0.75/ZnSe c) 没有和 d) 有VNi/VSe的电子定域函数(俯视图)。
图9. a) NZS-5不加或加不同浓度 KSCN 的光催化产氢活性。b) NZS-5在1.0 M KOH 中加或不加10 mM KSCN的LSV HER曲线。c) ZnSe和NZS-5 的双层电容(Cdl ) 曲线。d) ZnSe和NZS-5的氮气吸附-脱附等温线。
图10. NZS-5的光催化析氢机理示意图。

总结与展望
总之,这项工作通过耦合VNi/VSe双空位在NiSeS上构筑了一个表面自发极化电场。并将NiSeS三元化合物作为助催化剂原位生长在ZnSe上,以形成NiSeS/ZnSe异质结。NiSeS/ZnSe异质结在可见光下表现出18.32 mmol g−1h−1的高光催化产氢率,分别是ZnSe和1% Pt/ZnSe的107.8倍和10.2倍。同时,在420 nm处实现了50.77%的量子效率。NiSeS/ZnSe的光催化产氢活性优于目前已报道的大多数ZnSe基光催化剂。NiSeS/ZnSe的高性能是由于负载具有VNi/VSe双空位的NiSeS助催化剂。NiSeS中的VNi/VSe双空位的存在可以引起本征极化电场的产生,为氢还原过程中电子迁移到VSe周围的Ni位点进行析氢反应提供了强大的驱动力。这项工作为引入双空位构建局部极化,以实现高效光催化产氢性能提供了一种有效的方法。

作者介绍
曾人友,硕士就读于福州大学(导师:黄彩进研究员),研究方向为光催化产氢性能研究。
黄彩进,福州大学研究员、博士生导师,2010年博士毕业于法国勃艮第大学。2018年德国马普研究所高级访问学者。主要从事纳米材料的合成及其在(光)催化、光电化学等领域的研究。以第一/通讯作者在Nat. Commun.,Appl. Catal. B Environ.,Nano Lett.,Chem. Eng. J.,J. Mater. Chem. A,J. Catal. Chem. Eng. Sci.,Phys. Rev. B等SCI期刊上发表论文60余篇,文章被引用3736余次,其中有2篇被Nature Photonics期刊hightlight。课题组链接:https://www.x-mol.com/groups/cjhuang。
声明
本文仅供科研分享,不做盈利使用,如有侵权,请联系后台小编删除
“邃瞳科学云”直播服务
“邃瞳科学云"平台正在收集、整理各类学术会议信息,欢迎学会、期刊、会议组织方择优在邃瞳平台上进行线上直播,希望藉此帮助广大科研人员跨越时空的限制,实现自由、畅通地交流互动。欢迎老师同学们提供会议信息(会有礼品赠送),学会、期刊、会议组织方商谈合作,均请联系翟女士:18612651915(微信同)。
投稿、荐稿、爆料:Editor@scisight.cn
扫描二维码下载
邃瞳科学云APP

