
第一作者:上官文超博士
通讯作者:李英宣教授,王颖副研究员
通讯单位:陕西科技大学,中国科学院长春应用化学研究所
论文DOI:10.1038/s41467-022-31474-2

全文速览
在金属光催化剂表面以H2O作为质子源实现CO2还原并在分子水平上理解其反应机制具有一定的挑战性。本工作报道了量子尺寸的Au纳米粒子(约4 nm)在420 nm低光强单色LED光照射下,利用Au的带间跃迁产生的电子和空穴对分别实现了CO2还原及H2O氧化,CO的产率达到了4.73 mmol g−1 h−1(近100%选择性),是利用H2作为质子源还原CO2活性的2.5倍。原位红外光谱、准原位光电子能谱和理论计算研究表明:光催化反应过程中H2O分解形成了表面Au–O活性物种,优化了CO2还原和H2O氧化反应中的决速步,降低了*CO脱附和*OOH中间体的形成势垒,从而促进了CO和O2的产生。该研究在分子水平上认识了金属Au光催化剂利用H2O还原CO2的反应机制,为高效还原CO2光催化剂的设计提供了理论指导。

背景介绍
利用太阳能通过光催化还原CO2还原是减轻温室效应并生产高附加值化学品的有效途径。近年来,此类研究主要集中于半导体光催化材料。等离子体金属纳米粒子(NPs)光催化剂能够耦合光和热能实现1+1>2的效应,并且其光催化反应速率与反应温度和光强度呈线性关系,与半导体光催化剂的特性有显著不同。然而金属纳米粒子的局域等离子共振效应(LSPR)往往通过带内跃迁产生,载流子寿命较短,使得它们必须与半导体复合或在牺牲剂存在下才能产生良好的CO2还原性能。与LSPR效应相比,金属纳米粒子通过带间跃迁产生的电子-空穴对具有更高的氧化还原电位和更长的寿命,为同时驱动H2O氧化和CO2还原反应提供了可能,但相关报道较少。

本文亮点
(1) 本研究合成了粒径约为4 nm的Au NPs,其可通过光激发带间跃迁产生的载流子同时实现光催化CO2还原和H2O氧化。

图文解析
在室温下通过一步还原法制备了Au NPs。TEM图表明Au NPs呈准球状,大小均一、分散均匀(图1a)。HRTEM测试表明Au纳米粒子的晶格间距为0.235 nm,对应于Au的(111)晶面(图1b)。粒径分布统计表明Au纳米粒子的粒径约为4 nm(图1c)。XPS证实所制备的Au为零价单质(图1d)。结合紫外-可见吸收光谱(图1e)及Au的理论能带结构(图1f),Au纳米粒子的光吸收是由等离子体共振吸收及带间跃迁产生的光吸收叠加而成,在485–650 nm处的蓝色区域吸收峰是由LSPR引起(带内吸收),红色区域代表带间吸收(320–800 nm)。
图1 材料表征
对Au NPs的光催化CO2还原活性进行了测试(图2a)。图2b为不同波长光下Au NPs产生CO的表观量子效率(AQE),证明Au NPs上的光催化CO2还原主要归因于其5d→6sp带间跃迁产生热电子的作用,等离子体共振吸收对还原CO2的活性贡献较小。对比实验说明催化剂、光照、CO2和反应温度在CO2还原中的均有重要作用(图2c)。图2d和2e说明反应温度、光强与CO产率呈线性关系,这与半导体光催化剂明显不同。同位素标记实验(图2g)证明了H2O在反应过程中作为电子供体被氧化为O2、CO来源于光催化还原CO2。利用价带谱(图2h)对Au的能带结构进行了表征,证明Au NPs具有合适的电子结构,理论上可以通过带间跃迁实现CO2还原和H2O氧化(图2i),与图2a的实验结果相符。
原位FT-IR表征可知, *COOH是CO2还原的主要中间体(图3a,b)。FT-IR(图3c)和XPS谱图(图3d)所示,*COOH的峰强度随着反应时间的增加逐渐增大,说明*COOH在Au表面不断累积, *COOH的积累覆盖了Au表现的活性位点而导致Au光催化剂的失活(图2a)。因此,对反应12 h的样品进行脱附处理后发现其活性立即恢复(图3e)。循环测试证明Au NPs具有良好的稳定性(图3e)。此外,在相同条件下利用H2作为质子源进行了光催化CO2还原测试(图3f),CO产率比H2O作为质子源的1/2还低,表明Au NPs在利用廉价H2O作为质子源还原CO2方面具有独特优势。
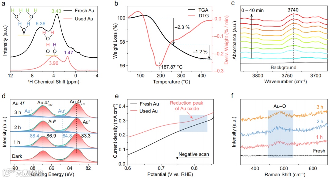
通过1H ssNMR(图4a)、TGA(图4b)及原位 FT-IR(图4c)测试,证明H2O在光催化反应条件下被解离为*OH。此外,红外光谱也检测到了H2O氧化过程的中间体*OOH(图3a)。以上测试表明*COOH、*OH和*OOH是光催化CO2还原的主要中间体。为了进一步研究光催化过程中Au NPs上的活性物种,利用准原位XPS(图4d)、电化学LSV(图4e)、Raman光谱(图4f)等证明H2O与Au的作用在其表面形成了Au-O物种。因此,推测Au-O的形成可能是导致H2O作为质子源时,Au NPs具有较高光催化活性的关键因素。
在以上实验研究的基础上,利用DFT探究了Au-O对CO2还原活性的影响机制。表明在Au-O存在条件下CO2还原具有更高的活性(图5b),且Au-O的存在使CO在催化剂表面更容易脱出、使水氧化反应的势垒大幅降低。此外,理论计算还表明Au-O键的形成也可减弱H2O氧化过程中形成的中间体的吸附,进而有利于O2的释放(图5c)。总之,表面Au–O键的存在同时优化了CO2还原和H2O氧化反应中的决速步,降低了*CO脱附和*OOH形成的势垒,从而促进了CO和O2的产生。

总结与展望
综上所述,该研究采用一步还原法合成了Au NPs,其可通过带间跃迁产生的载流子同时实现光催化CO2还原与H2O氧化。机理研究表明,Au NPs上的CO2还原和H2O氧化反应分别遵循CO2→*COOH→*CO→CO(g)和H2O→*OH→*O−→*O→*OOH→O2路线。H2O分解形成的表面Au-O优化了CO2还原和H2O氧化反应中的决速步,降低了*CO脱附和*OOH形成的势垒,从而使Au NPs具有较高的光催化还原CO2性能。

参考文献
Wenchao Shangguan, Qing Liu, Ying Wang, Ning Sun, Yu Liu, Rui Zhao, Yingxuan Li, Chuanyi Wang, Jincai Zhao. Molecular-level insight into photocatalytic CO2 reduction with H2O over Au nanoparticles by interband transitions. Nat. Commun. 2022, 13, 3894
https://www.nature.com/articles/s41467-022-31474-2
声明
本文仅供科研分享,不做盈利使用,如有侵权,请联系后台小编删除
“邃瞳科学云”直播服务
“邃瞳科学云"平台正在收集、整理各类学术会议信息,欢迎学会、期刊、会议组织方择优在邃瞳平台上进行线上直播,希望藉此帮助广大科研人员跨越时空的限制,实现自由、畅通地交流互动。欢迎老师同学们提供会议信息(会有礼品赠送),学会、期刊、会议组织方商谈合作,均请联系翟女士:18612651915(微信同)。
投稿、荐稿、爆料:Editor@scisight.cn
扫描二维码下载
邃瞳科学云APP

