
第一作者:罗芝鹏
通讯作者:汤迪勇
通讯单位:中南民族大学资源与环境学院
论文DOI:10.1016/j.apcatb.2022.121523

全文速览
对于电芬顿应用而言,由于氧还原反应(ORR)和Fe3+还原反应均在阴极发生,二者之间的竞争作用严重抑制了体系的处理效率。因此,对原位电生H2O2的两电子ORR过程具有高选择性,同时对Fe2+具有快速再生能力的阴极材料于高效电芬顿工艺至关重要。本研究工作以花生壳生物质为前驱体,利用水热预处理和熔盐活化过程制备了自掺杂多孔生物碳(HMC-3),并将其应用作电芬顿技术的阴极材料。研究结果表明:得益于形成的多级孔结构、活性缺陷位以及掺杂的氧、氮官能团,生物碳阴极表现出优异的电催化活性。其中,两电子ORR的H2O2选择性达92%,60分钟内Fe2+的再生效率为73%,并使得体系的H2O2活化率(转化为羟基自由基)高达82%。基于此,包括内分泌干扰物(BPA, DMP)、抗生素(CBZ, SMX)、酚类(2-CP, PE)和染料(RhB, AO7)在内的污染物(20 mg/L)可在15分钟内降解98%~100%,矿化能耗仅为0.87~1.07 kWh/m3。此外,HMC-3电芬顿体系表现出优异的循环稳定性,且在不同自然水体中均表现出良好的污染物降解性能。这项研究为电芬顿工艺制备低成本、高催化活性的阴极材料提供了有价值的参考。


背景介绍
电芬顿工艺被认为是一种很有应用前景的高级氧化技术,可用于降解去除废水中的持久性有机污染物。在电芬顿反应中,氧气通过两电子还原过程在阴极原位生成H2O2,其与Fe2+发生芬顿反应生成强氧化性的羟基自由基(·OH),既而快速氧化降解有机污染物。在已报道的研究工作中,众多研究者专注于提高H2O2产量。然而对于电芬顿而言,生成的H2O2浓度并不是越高越好。一方面,过高的H2O2产量意味着阴极反应被ORR过程主导,致使Fe3+的还原再生受到抑制,显著影响体系的长期稳定性。另一方面,虽然较高的H2O2产量可以产生更多的·OH,但由于半衰期较短(t1/2=20ns),若没有足够的扩散时间,这些·OH倾向于相互淬灭,或将Fe2+氧化为Fe3+,这无疑将进一步影响体系的循环性能、抑制降解效率以及造成更高的处理能耗。因此,更多的关注应集中于ORR的H2O2选择性和H2O2的利用效率,而不是H2O2的产量。
近年来,研究者们一直致力于实现更高的H2O2选择性。虽然使用贵金属基催化剂可实现优异的ORR催化活性和较高的H2O2选择性,但高成本和稀缺性限制了其在废水处理中的实际应用。对于Fe2+的再生,目前广泛采用的策略是加入有机酸或金属硫化物等共催化剂来促进Fe3+的还原。然而,引入的有机酸还原剂不仅会淬灭活性自由基,还会增加处理成本。另一种旨在同时实现2e− ORR和Fe3+/Fe2+循环的方法是采用双阴极或双电位组合。然而,这些系统较为复杂,且需要提供额外的电能以实现Fe3+的还原再生。由于生物质廉价易得且富含N、O等元素,以生物质为前驱体可制得具有多级孔结构的掺杂生物碳阴极,或可为电芬顿工艺开发一种具有高催化活性的低成本阴极材料。

本文亮点
1. 通过废弃生物质合成了O、N原子掺杂的多孔生物碳催化剂,可同步实现原位高选择性电合成H2O2以及Fe2+的快速再生循环。
2. 应用生物碳阴极的电芬顿体系可对多种不同类型的难降解有机污染物实现高效降解和矿化,且体系具有优异的循环稳定性和较低的处理能耗。
3. 该电芬顿体系对阴离子及溶解性有机物质有良好的适应性,在不同实际地表水体中均可实现难降解有机污染物的高效去除。

图文解析

图1 不同生物碳材料的孔结构、缺陷程度及表面官能团分析
本研究采用水热预处理法水解生物质中的不稳定组分,拓宽所得水热炭(HC)的内部孔道,同时利用熔盐活化法进一步活化水热炭以产生丰富的多级孔隙结构。微孔的产生可为生物碳催化剂提供更多活性位点;大量介孔的形成可以有效促进传质过程,减少H2O2的停留时间,从而避免其进一步还原为H2O;缺陷位的增加可提升材料的电催化活性。因此,HMC-3这一独特的结构有利于H2O2的电化学合成与传质扩散。

图2 不同生物碳材料的XPS分析
杂环官能团的存在可影响碳催化剂表面的电子结构排布,从而显著影响其氧还原活性。其中,COOH、C–O–C官能团以及吡咯N是两电子ORR生成H2O2的重要反应活性位点;吡啶N在酸性条件下的质子化过程同样会将氧还原反应从四电子路径向两电子路径转化,从而提高H2O2选择性。

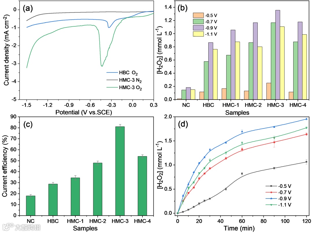
图3 不同生物碳阴极的电生H2O2性能

图4 不同生物碳阴极电生H2O2的催化活性和选择性比较
HMC-3电极表现出最优的电催化活性和电流效率。在较宽的电位区间 (−0.4到−0.9 V)范围内H2O2选择性稳定在90%以上,电子转移数为2.17~2.16,表明2e− ORR占主导地位。这得益于其形成的多级孔结构和丰富的缺陷位、良好的电子导电性(Rct=0.52 Ω)和传质效率、最高的电活性面积(1875 cm2/g)以及更优的氧、氮官能团配置。

图5 BPA降解的机理分析
降解机理分析结果显示,HMC-3电芬顿体系对BPA的降解过程由·OH引起的自由基氧化过程主导。值得注意的是,经水杨酸氧化法测定,60 min内体系中·OH的累积量为1.09 mM;考虑到−0.7 V电位下60 min内生成的H2O2浓度为1.33 mM (图3),本研究中HMC-3电芬顿体系的H2O2活化率(利用效率)达到了82%。这一结果是已知文献中报道的最高值,也从侧面表明了该体系具有良好的Fe2+再生效率。

图6 HMC-3电芬顿体系中Fe2+的再生效率
不同施加电位下Fe2+的变化规律结果显示,−0.5 V到−0.9 V下均可实现Fe2+的快速循环再生,其中−0.7 V下Fe2+的保持率稳定在70%以上。特别的是,当Fe2+投加量增加到文献中普遍采用的0.5~1.0 mM时,·OH的累积量显著下降,致使H2O2的利用效率从0.2 mM时的82%下降至1.0 mM时的34%。这是由于过量的Fe2+会淬灭·OH所致。这些结果都表明HMC-3电芬顿体系具有优异的Fe2+再生效率,在使用更少的Fe2+投加量的情况下仍可实现污染物的高效降解和矿化。

图7 使用后的HMC-3阴极的XPS和FTIR分析
对使用后的HMC-3阴极进行了XPS光谱分析,以阐明含氮官能团在Fe3+/Fe2+循环中的作用。N 1s谱图证实了Fe-Nx的形成,且石墨N和吡啶N的原子含量随着反应时间的延长而持续下降,而Fe(II)的比例随着时间的延长而增加(详见论文)。这一结果表明,石墨N和吡啶N更容易与Fe原子配位形成Fe-Nx,而吡咯N则通过将未配对的电子转移给Fe(III)-N配合物来促进Fe3+的还原。另外,反应后的阴极表面生成了更多的含氧官能团,这将进一步促进材料的催化活性。

图8 HMC-3电芬顿体系的循环稳定性
在不更换电解液以及不清洗电极的情况下,经过25个连续循环后,BPA仍可在20 min内完全降解,且总铁的保持率为78%。反应后的HMC-3电极经简单的H2SO4清洗后,反应动力学常数可显著恢复。值得注意的是,HMC-3阴极在使用近50 h后,在−0.5 V到−0.9 V电位区间内表现出更好的电生H2O2性能。这是由于在氧化性气氛下(H2O2和·OH),阴极表面形成了亲水性的含氧官能团(图7)。

图9 HMC-3电芬顿体系对不同有机污染物和在不同地表水体中的BPA降解性能
由于HMC-3阴极优异的电催化活性和·OH的非选择性氧化能力,HMC-3电芬顿体系可对包括内分泌干扰物(BPA, DMP)、酚类(2-CP, PE)、抗生素(CBZ, SMX)、染料(RhB, AO7)在内的多类污染物实现高效降解。所有污染物(20 mg/L)均可在30 min内完全分解,反应动力学常数为0.24~0.40 min−1;且这些污染物在90 min内矿化了83%~100%。其中,BPA的矿化能耗仅为1.03 kWh/m3 (65.36 kWh/kg-TOC)。此外,BPA可以在长江水、东湖水以及城市污水处理厂二沉池出水的实际水体中被有效降解。

总结与展望
以废弃生物质花生壳为前驱体制备了氧、氮掺杂的多孔生物碳催化剂。由于其形成的分级多孔结构和活性缺陷位,HMC-3催化剂具有1875 cm2/g的比表面积和良好的电子导电性。COOH/C–O–C的掺杂和氮官能团的存在使得生物碳催化剂对H2O2的电生成具有优异的两电子ORR选择性,同时氮官能团与Fe配位加速了Fe2+的再生,从而实现了·OH的稳定积累,既而提高电芬顿效率。HMC-3电芬顿体系可对多种持久性有机污染物进行高效的降解和矿化,且体系表现出良好的循环稳定性和对不同地表水体的强适应性。本研究为电芬顿工艺开发了一种具有高催化活性和优异稳定性的低成本阴极材料。后续的研究,可进一步调控生物碳的孔径分布、缺陷结构和含杂官能团,探究H2O2电合成和Fe2+再生的竞争反应关系,阐明阴极Fe沉积的机理,以进一步提高体系的降解效率和循环稳定性,降低处理能耗。

作者介绍
罗芝鹏(第一作者),硕士研究生,现就读于中南民族大学资源与环境学院,研究方向为电化学高级氧化技术。
汤迪勇(通讯作者),讲师,硕士生导师。博士毕业于武汉大学环境工程专业,目前为中南民族大学资源与环境学院教师,研究方向为材料与环境电化学。主持国家自然科学基金和湖北省自然科学基金各1项。在Applied Catalysis B: Environmental、Journal of Power Sources、Applied Surface Science等SCI期刊上发表论文20余篇,授权发明专利4项。

参考文献
Z.P. Luo, M.T. Liu, D.Y. Tang, Y. Xu, H.H. Ran, J. He, K. Chen, J. Sun, High H2O2 selectivity and enhanced Fe2+ regeneration toward an effective electro-Fenton process based on a self-doped porous biochar cathode, Appl. Catal. B: Environ. 315 (2022) 121523.
文章链接:
https://www.sciencedirect.com/science/article/pii/S0926337322004647
免费访问链接:
https://authors.elsevier.com/a/1f8zS3Id%7Et1J2d
声明
本文仅供科研分享,不做盈利使用,如有侵权,请联系后台小编删除
“邃瞳科学云”直播服务
“邃瞳科学云"平台正在收集、整理各类学术会议信息,欢迎学会、期刊、会议组织方择优在邃瞳平台上进行线上直播,希望藉此帮助广大科研人员跨越时空的限制,实现自由、畅通地交流互动。欢迎老师同学们提供会议信息(会有礼品赠送),学会、期刊、会议组织方商谈合作,均请联系翟女士:18612651915(微信同)。
投稿、荐稿、爆料:Editor@scisight.cn
扫描二维码下载
邃瞳科学云APP

