第一作者:吴炜星
通讯作者:王莹
通讯单位:香港中文大学
论文DOI:10.1021/jacs.5c01149
本研究首次通过旋转环盘电极(RRDE)及多物理场仿真,揭示了局部酸性条件下质子在金电极表面直接参与CO2还原反应(CO2RR)的关键机制。表面询问扫描电化学显微镜(SI-SECM)技术提供实验支持,证明CO2分子在低过电位下的优先吸附抑制了H*中间体的形成,从而调控质子耦合电子转移路径。该路径可有效抑制碳酸盐生成,为发展无碳酸盐副产物的CO2电解技术提供了理论支撑。
电化学CO2还原是实现碳中和技术的潜在途径,但传统碱性/中性电解质中因OH⁻生成导致的碳酸盐副反应严重制约其工业化应用。目前普遍采用酸性CO2RR策略缓解该问题(详见王莹课题组前期综述https://doi.org/10.1002/adma.202312894),但普遍使用的弱酸性电解质无法匹配足够的质子通量,局部碱性微环境仍引发碳酸盐生成。使用强酸性电解质的真酸性CO2还原在理论上可解决该问题,但受限于显著增强的HER竞争。质子源的不同构成了本征动力学差异:HER可以利用H+作为直接质子源,动力学显著增快,但CO2RR在此前研究中被普遍认为仅可使用H2O作为质子源。本论文聚焦真酸性条件下质子直接参与CO2RR的机制解析,为实现真酸性CO2RR提供理论基础,突破碳效率与反应稳定性的双重难题。
1. 机制突破:通过高灵敏度RRDE技术进行严格动力学分析,结合多物理场仿真,揭示质子作为反应物直接参与速率决定步骤(RDS),与传统水分子供质子路径形成对比。
2. 原位表征创新:使用SI-SECM技术,实现了反应界面质子动态行为与CO2吸附过程的精准观测,证实低过电位区CO2优先吸附占据活性位点。
图1:不同pH下CO2RR的线性伏安特征。(a) 不同pH溶液中Au-Au RRDE盘电流显示:在低过电位区域(−0.5 V vs SHE),CO2还原电流呈现显著pH依赖性,对应质量传输极限电流区(−0.6至−0.8 V),表明质子直接参与反应动力学;(b) 与盘电流对应的环电流(CO氧化信号)确认CO产率,其随电位升高快速增加;(c) CO法拉第效率(FE_CO)在低过电位区出现峰值(超过40%),表明酸性条件下质子参与CO生成路径。
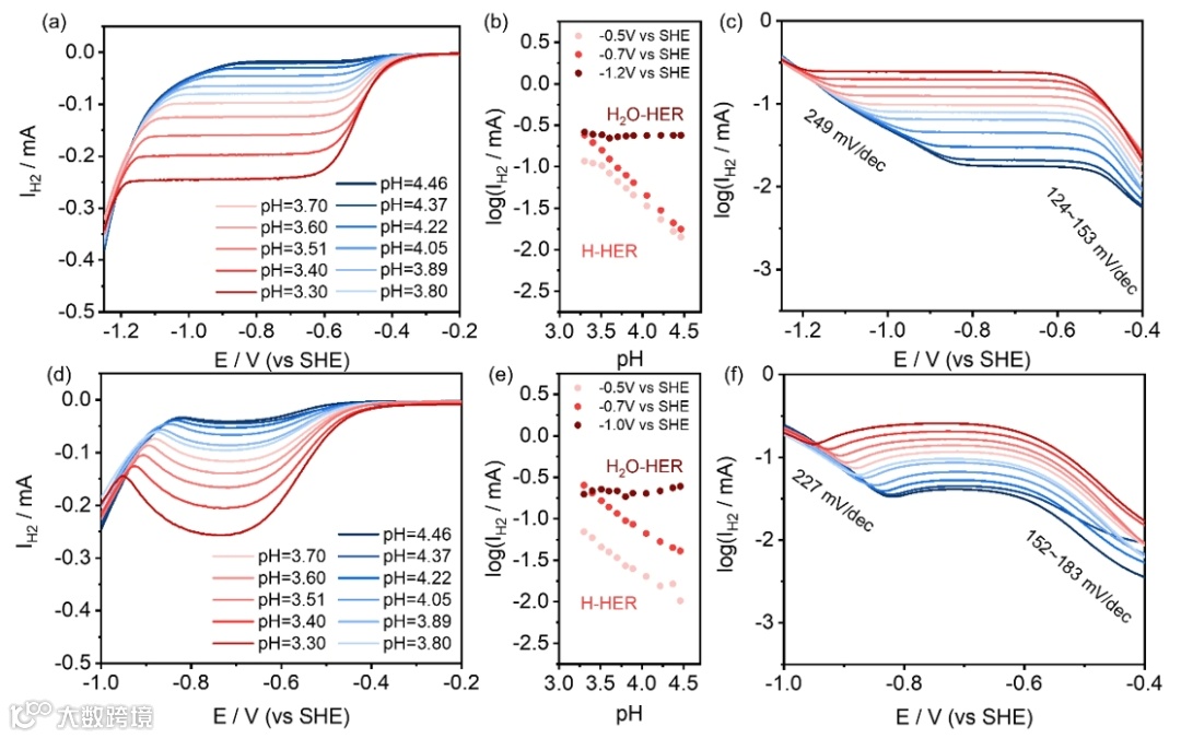
图2:Ar与CO2饱和下的HER对比。(a)(d) 氢析出反应(HER)在Ar/CO2气氛中的极化曲线显示,CO2的存在显著抑制HER活性;(b)(e)低电位区HER遵循一阶质子依赖(反应级数≈1),而高电位区质子供体转变为水分子(反应级数≈0);(c)(f) Tafel斜率显示,质子源转变伴随动力学减缓,此外CO2存在下,HER的Tafel斜率增大(124→153 mV/dec),表明CO2吸附抑制HER动力学。
图3:CO2RR的动力学特性与local pH演变。(a) CO2还原电流的pH反应级数在低过电位区接近1(−0.5 V),高过电位区降至0;(b) Tafel斜率(91-126 mV/dec)表明RDS位于第一步电子转移(RDS:CO2+ H⁺ + e⁻→COOH*);(c) 表面pH模拟显示,当电位负于−0.9 V时,界面pH急剧升至碱性(pH > 10),导致CO2传质受限及FE_CO下降。
图4:CO2与H+的竞争吸附机制。(a) SI-SECM实验设计: SAM修饰的Au探针抑制CO的内层电子转移氧化,允许FcDM的外层电子转移氧化,从而利用FcDM+作为氧化还原媒介滴定界面吸附氢,实现半定量检测;(b) Ar饱和条件下电荷转移代表的H覆盖随过电位持续上升,而在CO2饱和时显著抑制,表明CO2吸附优先占据表面活性位点,抑制H+吸附。
本研究通过实验与模拟结合,阐明酸性条件下质子直接参与CO2RR的微观机制,证实了真酸性CO2RR的理论可行性。但H+-CO2RR路径的动力学仍远慢于HER,需要进一步催化剂改进提升选择性。
文献信息:https://pubs.acs.org/doi/10.1021/jacs.5c01149
王莹教授,香港中文大学化学系助理教授,国家优秀青年科学家基金(港澳)获得者(2022),专注于电催化、电极动力学、CO2转化、电解槽工程、电化学合成等研究;2015年博士毕业于牛津大学化学系,导师:Richard G. Compton院士;2015-2019年先后于美国北卡罗来纳大学教堂山分校(合作导师:Thomas J. Meyer教授)、加拿大多伦多大学(合作导师:Edward H. Sargent院士)从事博士后研究;并在2019年7月正式加入香港中文大学理学院。以第一作者/通讯作者身份发表了高水平期刊论文60余篇,包括Nat. Energy, Nat. Catal., Nat. Commun., J. Am. Chem. Soc., Angew. Chem. Int. Ed., Adv. Mater.,Energy Environ. Sci., PNAS, Chem, ACS Energy Lett.等;于2022年作为香港地区唯一获奖者获得《麻省理工科技评论》“亚太区35岁以下科技创新35人”、入选斯坦福大学 “全球前2%顶尖科学家榜单”;2023年香港中文大学青年学者研究成就奖、2023年联合书院张宏毅伉俪杰出研究学者奖以及2023年美国“Energy & Fuels” Rising Star奖等。
吴炜星,香港中文大学化学系王莹教授课题组博士生,本科毕业于中山大学,专注于电催化电极过程动力学的实验和建模
声明
“邃瞳科学云”直播服务
扫描二维码下载
邃瞳科学云APP

