第一作者:吴盼盼
共同一作:褚月英,王茂林
通讯作者:冯宁东,叶金花,邓风
通讯单位:中国科学院,精密测量科学与技术创新研究院,磁共振波谱与成像全国重点实验室
论文DOI:10.1038/s41467-025-59465-z
本研究通过在TiO2表面锚定亚纳米级MoOx团簇,成功实现了高效、高选择性的甲烷光催化氧化反应。该催化剂不仅表现出优异的活性和选择性,还具有良好的稳定性。该催化剂在2小时内实现了3.8 mmol/g的有机含氧化合物产率,且选择性接近100%,在365 nm处的表观量子产率达到13.3%。能够在长时间反应中实现有机含氧化合物的累积,有效抑制过氧化。更重要的是,该研究揭示了一种非自由基型光催化反应机制,为设计新型高效非贵金属光催化剂提供了理论依据和实验指导。
甲烷(CH4)是一种丰富的自然资源,但其化学惰性使得直接将其转化为高附加值的含氧化合物(如甲醇、甲醛等)面临巨大挑战。传统的热催化方法需要高温高压条件,不仅能耗高,而且选择性差,容易导致过度氧化。光催化技术利用太阳能驱动甲烷氧化反应,具有绿色、经济的优势,但如何提高光催化反应的选择性和活性仍然是一个亟待解决的问题。助催化剂的加入能够显著提高光生载流子的分离效率,从而显著提高甲烷转化活性,由于贵金属价格昂贵,非贵金属助剂的调控引起人们广泛关注。但是仍存在选择性与产量不能同时兼顾等问题。
(1) 高效的光催化剂设计:开发了一种基于TiO2的光催化剂,通过在其表面锚定亚纳米级的MoOx团簇,实现了高效的甲烷光催化氧化反应。该催化剂在2小时内实现了3.8 mmol/g的有机含氧化合物产率,且选择性接近100%,在365 nm处的表观量子产率达到13.3%。
(2) 抑制过度氧化:通过机理研究发现MoOx团簇不仅能够有效抑制羟基自由基(•OH)和超氧自由基(O2•−)的形成,从而减少产物的过度氧化,还能促进甲烷中第一个碳-氢键的活化。
(3) 长时间稳定性:该催化剂在长达1800分钟的反应过程中表现出几乎恒定的产物生成率和高选择性(>95%),显示出优异的稳定性。
(4) 非贵金属催化剂的应用:该研究为设计高效的非贵金属催化剂提供了新的思路,有助于降低催化剂成本,推动甲烷转化技术的应用。
图1. 催化剂形貌表征
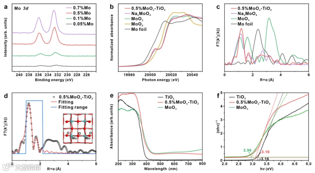
图2. 催化剂结构表征
XRD结果显示,MoOx-TiO2样品中未检测到Mo物种的信号,表明MoOx在TiO2表面高度分散。AC HAADF-STEM图像清晰显示了约0.6 nm的MoOx团簇均匀的分散在催化剂表面。XPS和XAFS分析进一步揭示了MoOx团簇的化学状态和配位环境,表明MoOx以六价的四配位的[MoO4]结构存在。
图3. 光催化甲烷转化活性测试
在不同Mo负载量的催化剂中,0.5%MoOx-TiO2表现出最佳的光催化性能,其有机含氧化合物产率最高(3.8 mmol/g,2 h),选择性接近100%。随着Mo负载量的增加,催化剂的活性和选择性呈现火山型趋势。增加反应体系中水的量可以提高产物的选择性,但会降低产率。延长反应时间至1800min,含氧化合物产率持续增加,选择性仍然保持在95%以上。且在365nm波长下表观量子效率达到13.3%。
图4. 机理研究
图5. 理论计算
图6. 反应机理
原位EPR实验表明,MoOx-TiO2在光催化过程中显著减少了•OH和O2•−自由基的形成。原位XPS、EPR和NMR分析表明,光生电子被MoOx团簇捕获,形成Mo4C5+和Mo4C4+物种,这些物种进一步与吸附的O2反应生成表面过氧化物(Mo−OO和Mo−OOH)进而促进甲烷C−H键的活化。DFT计算表明,Mo−OO活性位点能够促进甲烷的物理吸附和第一个C−H键的活化,且该过程的反应能垒显著低于在纯TiO2上的反应能垒,并且H2O的存在能够促进甲醛从表面脱附,从而抑制进一步转化。
文章通过实验和理论计算相结合的方法,详细研究了MoOx-TiO2光催化剂在甲烷光催化氧化反应中的性能和机理。结果表明,亚纳米级MoOx簇的存在显著提高了光催化反应的活性和选择性,并通过抑制自由基的形成减少了产物的过度氧化。这一研究不仅为甲烷的高效转化提供了一种新的催化剂设计策略,也为光催化领域的研究提供了新的思路和方法。
Wu, P., Chu, Y., Wang, M. et al. Subnanometric MoOx clusters limit overoxidation during photocatalytic CH4 conversion to oxygenates over TiO2. Nat. Commun 16, 4207 (2025).
https://doi.org/10.1038/s41467-025-59465-z
邓风: 中国科学院精密测量科学与技术创新研究院(原中科院武汉物理与数学所)研究员、国家杰出基金获得者,曾任波谱与原子分子物理国家重点实验室副主任(2005-2015)、主任(2016-2023)。
1988 年获成都科技大学(现四川大学)化学系物理化学专业学士学位;1991 年和 1996 年获中科院武汉物理所核磁共振专业硕士和博士学位;1997-1998 年美国 Texas A&M 大学化学系博士后。1999 年被中科院武汉物理与数学所聘为研究员。2000 年获“王天眷波谱学奖”和“国务院政府特殊津贴”,2004 年获国家杰出青年基金(物理化学)资助,2009 年入选“新世纪百千万人才工程”国家级人选。现任国际磁共振学会(ISMAR)委员会委员、中国物理学会波谱专业委员会委员、中国化学会物理化学委员会/催化委员会/分子筛委员会委员。长期从事固体核磁共振谱学方法及其在催化化学和材料化学中的应用研究工作,在 Science、Nat Catal、Nat Commun、J Am Chem Soc、 Angew Chem Int Ed、Chem Rev、Chem Roc Rev、Acc Chem Res、Natl Sci Rev等刊物上发表 SCI 论文 400 余篇。
研究方向: 能源与资源的高效利用已成为世界可持续发展的一个重要挑战,我们课题组的研究工作主要围绕低碳分子转化的多相催化反应体系,针对表界面化学中催化剂结构与分子反应机制问题,开展先进固体核磁共振谱学方法与应用研究,结合理论计算,在原子-分子水平阐明催化剂(活性位)微观结构与催化反应机理,建立催化剂构-效关系,为高性能催化剂的开发提供指导,为复杂催化表界面化学研究提供高效谱学手段。
课题组主页:http://denglab.wipm.ac.cn
声明
“邃瞳科学云”直播服务

