第一作者:高俊云
通讯作者:黄博
通讯单位:西安交通大学化学工程与技术学院
论文DOI:10.1002/advs.202504161
由于传统合成方法的局限性,固溶体催化剂的负载状态与晶体结构调控(二者对催化性能影响显著)此前尚未能同时实现。本研究开发了一种一步原位多元醇法,成功实现了以面心立方(fcc)结构为主且分散良好的难混溶OsxPt1-x/C催化剂的相控合成。与Pt/C催化剂相比,大多数fcc-OsxPt1-x/C催化剂展现出更优异的析氢反应(HER)催化活性。值得注意的是,fcc-Os0.3Pt0.7/C在0.5 M H2SO4溶液中达到10 mA·cm-2电流密度时的过电位仅为1.0 mV。在Os0.3Pt0.7/C和Os0.5Pt0.5/C中,Os合金化诱导的电子态调控削弱了铂位点的氢吸附,通过促进H2从更有利的耦合位点脱附,从而优化了反应路径,最终实现了高效的HER催化活性。
固溶体纳米合金凭借原子级均匀组分及可调电子态,在催化领域备受关注。然而,传统高温法无法合成块体难混溶体系(如Cu-Fe),化学还原法虽可制备Cu-Ru等难混溶固溶体,但其后负载步骤易致颗粒团聚,催化性能劣化。因此,开发一步原位合成法以实现均匀负载的固溶体至关重要。固溶体的晶体结构(如fcc、hcp、bcc)深刻影响其物化性质。相控合成需精准协调异质元素还原动力学:慢还原元素B的成核须严格匹配快还原元素A的成核-生长速率,以形成单相AxB1-x固溶体。这一苛刻条件使得兼具相控与负载调控的一步法仍属空白。析氢反应(HER)是可再生能源制氢的关键。Pt基催化剂成本高昂,而Os基材料近期展现出潜力。Os-Pt固溶体可通过电子态工程优化HER活性:fcc结构OsxPt1-x固溶体因密排(111)晶面提供紧密H-H耦合位点,可大幅提升反应效率。然而,高纯度fcc-OsxPt1-x催化剂的合成及其HER性能探索仍是未解难题。
1. 本研究首次开发了一步原位多元醇合成策略,成功实现了负载型难混溶固溶体催化剂(面心立方结构的OsxPt1-x/C)的稳态合成与晶体结构精准调控。
2. 与纯Pt/C相比,大多数fcc-OsxPt1-x/C催化剂在酸性及碱性条件下均展现出更优异的析氢反应(HER)催化性能。其中,fcc-Os0.3Pt0.7/C在0.5 M H2SO4溶液中达到10 mA·cm-2电流密度时的过电位仅为1.0 mV。
3. fcc-Os0.3Pt0.7/C表现出极高的表面质量活性,显著优于目前先进的铂基单原子催化剂。
4. DFT计算表明,在fcc-Os0.3Pt0.7和fcc-Os0.5Pt0.5中,Os与Pt的原子级混合通过电子态调控使氢吸附自由能(ΔGH)趋近于零,从而优化了HER反应路径,促进H2从更有利的耦合位点高效脱附,最终实现超低过电位催化。
传统两步多元醇法需先合成纳米颗粒再负载(图1a),易致分散不均且依赖保护剂(如PVP),降低催化活性。近期连续流法(图1b)虽可原位生成合金颗粒,但需复杂系统与精准控制。本研究采用OIP法(图1c)一步原位合成负载型OsxPt1-x/C(10 wt%),实现颗粒均匀分散且无需保护剂,既简化步骤又避免PVP对活性的负面影响,为高效难混溶固溶催化剂制备提供新策略。
图1. 合成方法比较。a)两步多元醇法。b)连续流法。c)一步法原位多元醇法。
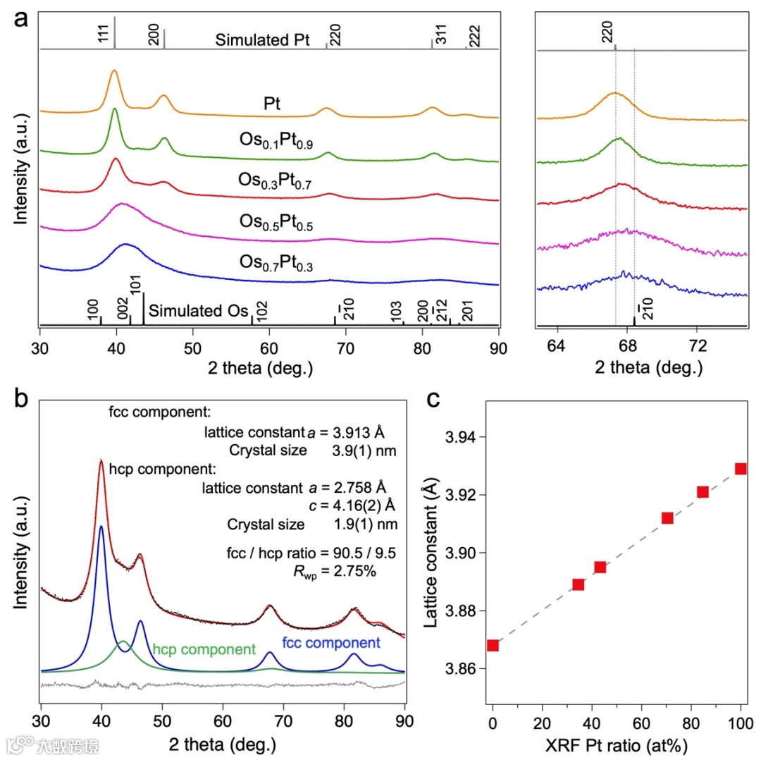
XRPD分析表明OsxPt1-x/C呈面心立方结构,{220}峰随Os含量增加向高角度偏移,晶格常数线性变化符合Vegard定律 (图2),证实固溶体形成。
图2. a)OsxPt1-x/C的XRPD谱图。b)Os0.3Pt0.7/C的XRPD谱图Rietveld拟合结果。c)OsxPt1-x/C的晶格常数与组成的关系。
Os0.3Pt0.7/C的HAADF图像证明了颗粒在碳载体上的单一分散,对于其他比例的OsxPt1-x/C也观察到类似的结果(图3)。Os0.3Pt0.7/C的STEM-EDX分析为每个颗粒内Os和Pt的均匀元素分布提供了直接证据(图3)。通过EDX、XRF和XRPD Rietveld拟合评估的OsxPt1-x/C的Os/Pt比都与其投料比一致,证明了准确的成分控制。
图3. Os0.3Pt0.7/C的STEM-EDX表征图
载体的引入可抑制溶液中纳米颗粒(NPs)过度生长(类似PVP作用),实现OsxPt1-x/C固溶体原位稳态合成(图4 a-c)。弱还原性条件(如180℃ DEG)因Os4+还原不足生成富Pt相,而强还原剂(如NaBH₄)则导致hcp/fcc两相共存。通过精准调控还原性(230℃ DEG),使Os成核速率介于Pt成核与生长之间,成功一步合成载体负载的fcc-OsxPt1-x固溶体(图4 d-f)。该方法对XC-72R碳、Al2O3等载体均具普适性。
图4. 在a)无载体,b)有PVP和c)有载体的情况下可能的合成机制。在d)弱、e)强和f)适当还原性的条件下可能的合成机制和反应时间分析。
采用三电极系统研究fcc-OsxPt1-x/C的HER性能。Os0.3Pt0.7/C在0.5 M H2SO4中表现出极高的活性:10 mA·cm-2过电位仅1.0 mV(图5a),质量活性(10/20 mV)达1630/4192 A·g-1,是Pt/C的2.3倍(图5c)。经表面原子校正后,本征活性达6961/17900 A·g-1,超越大多数单原子铂催化剂。塔菲尔斜率显著低于Pt/C(图5d),动力学更快。成本效益达155.9 A·g-1·美元-1(20 mV),为纯铂的3倍。fcc-OsxPt1-x/C在碱性环境中同样表现出优越的活性。
图5. OsxPt1-x/C在0.5 M H2SO4中的HER活性。a)极化曲线。b)10 mA·cm-2(η10)和20 mA·cm-2(η20)时的过电位。c)10 mV和20 mV过电位下的质量活性。d)塔菲尔图。
通过DFT计算研究Os-Pt固溶体合金的电子态调控对HER活性的影响。态密度分析显示,随着Pt含量降低,OsxPt1-x的费米能级下移,导致Pt-H键合轨道能级升高,氢吸附减弱(图6a-b)。氢吸附吉布斯自由能(ΔGH)计算表明,Os0.3Pt0.7(111)和Os0.5Pt0.5(111)表面最优脱附位点的平均ΔGH分别为-0.15 eV和-0.09 eV(图6c-d),显著优于纯Pt(-0.22 eV)。其中Os0.5Pt0.5的ΔGH最接近零值,表明其H2脱附能垒最低,但Os0.3Pt0.7因保留更多活性Pt位点,整体HER活性更优。Os-Pt合金通过固溶体调控Pt位点电子态,使反应路径能垒降低,实现了超越纯Pt的催化性能(图6d)。该研究揭示了电子态工程对HER动力学的关键调控机制。
图6. HER机理分析。a)Pt(111)、fcc-Os0.5Pt0.5(111)和fcc-Os0.3Pt0.7(111)的DOS。b)H原子和Pt-dz2轨道之间在Pt、fcc-Os0.5Pt0.5和fcc- Os0.3Pt0.7中形成的成键和反键轨道。c)Pt(111)、fcc-Os0.5Pt0.5(111)和fcc-Os0.3Pt0.7(111)表面上可能的H2脱附位点。d)Pt(111)、fcc-Os0.5Pt0.5(111)和fcc-Os0.3Pt0.7(111)表面上不同吸附位点的H吸附能。
本研究提出了一种一步原位多元醇法,成功实现了难混溶OsxPt1-x/C催化剂的稳态合成与相调控,其中Os与Pt元素均匀分布,面心立方(fcc)OsxPt1-x纳米颗粒在载体上呈单分散状态。相较于纯Pt/C,多数fcc-OsxPt1-x/C催化剂在酸/碱性条件下均表现出更优异的析氢反应(HER)活性。其中,fcc-Os0.3Pt0.7/C在0.5 M H2SO4的η10仅为1.0 mV,跻身顶级HER催化剂之列。DFT计算表明,在fcc-Os0.3Pt0.7和fcc-Os0.3Pt0.7中,Pt的dz2轨道投影态密度(PDOS)积分面积减小及费米能级(EF)降低,共同导致Pt位点的氢吸附能力减弱。此外,两者的氢吸附自由能(ΔGH)趋近于零,表明通过Os-Pt原子级混合引发的电子态调控优化了HER反应路径,使H2从更有利的耦合位点高效脱附。这一基于难混溶体系固溶体合金的电子态工程策略,为开发高性能新型功能材料提供了重要启示。所建立的稳态一步原位合成方法,有望为包括难混溶体系在内的二元/三元固溶体、高熵合金或化合物的负载型材料制备开辟新途径。
题目:One-Step Syntheses of Face-Centered Cubic OsxPt1-x/C with Near-Zero-Overpotential Hydrogen Evolution from Electronic-State Engineering
高俊云,西安交通大学黄博教授课题组博士研究生,研究方向为新型纳米合金材料的制备及其在环境和能源催化方面的研究。
黄博,西安交通大学副教授、博士生导师,京都大学博士后。长期致力于新型纳米合金材料的制备及其在环境和能源催化方面的研究。陕西省青年千人学者,陕西省秦创原人才,担任陕西省科学家+工程师团队负责人、陕西纳米科技学会理事等学术职务。以第一/通讯作者在J. Am. Chem. Soc.,Angew. Chem. Int. Ed. 等SCI期刊上发表论文30余篇,授权国际发明专利1项,中国发明专利2项,申请中国发明专利数十项。担任《Frontiers in Environmental Chemistry》等期刊编委。
课题组主页http://bohuang.gr.xjtu.edu.cn
声明

“邃瞳科学云”直播服务

