
全文速览
光催化二氧化碳还原为高附加值液体燃料是缓解能源和环境问题的一种有前景的方法。保持二维材料的超薄结构对稳定其催化性能是至关重要的。但由于二维材料的范德华层间相互作用,在一定程度上,聚合和堆叠是不可避免的。在这里,我们通过制备具有丰富空位的超薄二维石墨化氮化碳(oa-C3N4)的折纸手风琴结构来解决这一挑战。这种新型结构的oa-C3N4具有优异的CO2还原光催化活性。独特的结构不仅防止了重新堆叠,还增加了光捕获和空位缺陷密度,从而调节了电子结构,增强了CO2的吸附,降低了羧酸中间体的能垒。本工作为开发稳定的高性能二维催化材料提供了新的思路。


背景介绍
利用人工光合作用将CO2作为原料生产高附加值化学品是推动低碳能源技术中一个很有前途的策略。一个关键问题是开发高效的,可见光吸收和稳定的光催化剂。二维材料因其丰富的暴露活性位点、大的比表面积、独特的光学和电学性能而被广泛应用于催化剂领域。目前,已有许多二维材料用于光催化能量转换,如聚合氮化碳纳米片、二硫化钼纳米片、黑磷纳米片、层状双金属氢氧化物、卤氧铋等。传统的制备超薄二维材料的方法有液体剥离法、离子插层法、热氧化蚀刻法、化学气相沉积法、湿化学法等。然而,二维材料的叠置导致性能下降,限制了其在多相催化领域的进一步应用。因此,在催化反应过程中保持二维催化剂的超薄特性是非常重要的。

研究出发点
为了突破上述的挑战,本研究以折纸手风琴为灵感,采用三步聚合的方法,制备了具有二维超薄层状的三维折纸手风琴结构C3N4(oa-C3N4)。这种结构充分利用了小分子链在分子水平上作为铰链的灵活性和三维结构的固定效应,充分阻止了二维结构的重新堆积。此外,这种三维折纸手风琴结构中的丰富空位缺陷显著调节了oa-C3N4的电子结构,并通过吸附和活化CO2提高了光催化CO2还原性能。与原始氮化碳材料相比,这种新型结构的oa-C3N4光催化CO2还原到CO的活性提高了8.1倍。这种新的结构和缺陷可以调节能带结构,有效促进光生载流子的分离,并通过调节电子结构降低中间态的反应能垒。

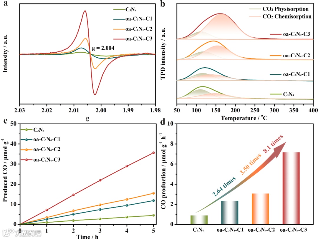
图文解析

图中展示了光催化剂oa-C3N4的手风琴层状结构以及大的比表面积。

表明了外部碳链的引入改变了本体的化学键结构以及层间作用力同时引入缺陷。

化学吸附表明不同原子对于CO2吸附的能力,对比不同样品的光催化CO2还原的性质,突出缺陷引入的活性优势,表明了高的CO2还原CO的能力。

理论计算表明了缺陷的引入使其具有更低的CO2活化的反应能垒。

总结与展望
通过分子修饰成功合成了一种三维折纸手风琴状的层次式折纸结构氮化碳。手风琴式结构避免了二维材料的重新堆叠,同时增加了比表面积,加快了传质。二维超薄层中大量的空位增加了催化分子的吸附和活化的可能性。理论计算和实验结果表明,与原始C3N4相比,改性后的oa-C3N4能带进一步缩小,电荷重新分布。这种具有丰富缺陷结构的新型分层结构通过增强CO2分子吸附和降低CO2RR势垒,促进了CO2分子的还原转化。目前的工作证明了一种可避免二维材料在分子水平上的堆积的可行性。
本文仅供科研分享,不做盈利使用,如有侵权,请联系后台小编删除
欢迎关注我们,订阅更多最新消息
“邃瞳科学云”推出专业的自然科学直播服务啦!不仅直播团队专业,直播画面出色,而且传播渠道多,宣传效果佳。
“邃瞳科学云"平台正在收集、整理各类学术会议信息,欢迎学会、期刊、会议组织方择优在邃瞳平台上进行线上直播,希望藉此帮助广大科研人员跨越时空的限制,实现自由、畅通地交流互动。欢迎老师同学们提供会议信息(会有礼品赠送),学会、期刊、会议组织方商谈合作,均请联系翟女士:18612651915(微信同)。
投稿、荐稿、爆料:Editor@scisight.cn