
第一作者:蔺超
通讯作者:张千帆 刘晓鹏
通讯单位:北京航空航天大学材料与科学工程学院
论文DOI:10.1002/adfm.202207415

全文速览
利用二维半导体材料进行光催化氧析出是一种有前景的高效能源转换策略。近期发现的二维半导体MA2Z4(M是过渡金属例如Mo和W;A是C、Si和Ge;Z是N、P和As)展现出作为具备前景的光催化氧析出光催化剂的特性。在这里,作者提出一种自动化高通量方法用于发掘MA2Z4光催化氧析出催化剂并进一步揭示其理论机制。作者提出半导体性、带隙大小/带边位置,结构稳定性和自由能变化判据用于筛选在热力学上适用于光催化氧析出的MA2Z4。作者进一步探究了MA2Z4的激子性质和载流子性质用于获取具有低激子结合能和高电子空穴有效质量比的高效光催化氧析出催化剂。理论分析证实MA2Z4的带隙主要依赖于M-Z键键强与电子重分布,而自由能变化主要与对单O原子吸附能相关。特别地,β-ZrSi2N4和β-HfSi2N4被发掘为高效的光催化氧析出催化剂。这一项工作发展了一种自动化高通量方法并提出一个完整的框架用于筛选高效的光催化氧析出催化剂。

背景介绍
氧析出反应面临着缓慢的动力学与苛刻的热力学要求的困难。二维光催化剂因其活性中心数目多和低载流子迁移时间而被认为是合适的光催化氧析出催化剂。近期成会明院士团队使用化学气相沉积法成功制备了MoSi2N4和WSi2N4这两种新型二维半导体,从而提出了MA2Z4的概念。之后的理论模拟工作证实了MA2Z4具备两个相,分别为2H-MA2Z4(α-MA2Z4)和1T-MA2Z4(β-MA2Z4)。然而尽管有多项后续工作提出部分MA2Z4具备吸收可见光的能力且有合适的带边位置用于光催化氧析出。但是他们的研究仍然有值得改进的地方。主要体现在以下三点:

研究出发点
本文的研究出发点是使用自动化的高通量手段对所有的MA2Z4(648种)的光催化氧析出性质进行研究并从理论上进行分析。提出了如下的发掘光催化氧析出催化剂步骤:a. PBE带隙判断是否是半导体;b. HSE带隙/带边位置判断其是否满足基本带隙大小和带边位置要求;c. 声子谱计算判断其晶格动力学是否稳定;d. 自由能计算判断其热力学发生光催化OER可行性;e. GW+BSE计算判断其是否具备低激子结合能;f. 有效质量比计算判断是否满足电子空穴高有效质量比要求。本文从电子分布的角度解释了半导体型MA2Z4的半导体性来源,分析了MA2Z4带隙大小/带边位置与M-Z键键强的关系并从电负性角度给出了解释,找出了MA2Z4自由能变化的决定因素即对单O原子的吸附能。

图文解析
图1 MA2Z4光催化氧析出催化剂筛选流程与筛选结果展示。

图2 MA2Z4的结构图与选择的元素类别。

图3 α-TiGe2N4和α-MoSi2N4的声子谱图。

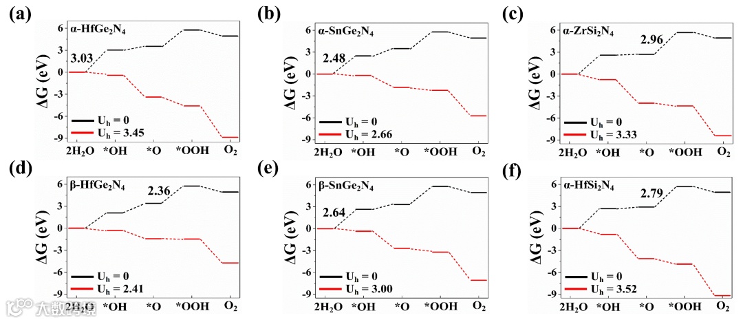
图4 多种MA2Z4的自由能变化图。
图5 β-HfSi2N4和β-SnGe2N4的GW/PBE能带图,吸收光谱,激子分布。
图7 Ti/Zr/Hf族MA2Z4的COHP,态密度,带隙与M-Z键键强关系,VBM/CBM位置与M-Z键键强关系,M-Z键键强与M原子转移电子关系。
图8 MA2Z4对OH/OOH吸附能与对O吸附能的关系,最大自由能差与对O吸附能关系。

总结与展望
本工作使用自动化高通量方法筛选出了适用于光催化氧析出的MA2Z4催化剂。684种MA2Z4中有575种是导体,剩余73种因其外层电子刚好能提供4个电子用于配对而成为半导体。当M原子电负性小而Z原子电负性大时,M原子能转移较多的电子给Z原子从而形成更强的M-Z键,从而使MA2Z4具备更大的带隙与更深的VBM位置。35种MA2Z4具备较强的M-Z键而有合适的带隙与带边位置,在这其中12种MA2Z4能满足热力学要求。进一步计算得到具有低激子结合能(<0.5eV)的4种MA2Z4(α-MoC2N4、β-SnGe2N4、β-HfSi2N4与β-ZrSi2N4)。β-HfSi2N4与β-ZrSi2N4具备更快的载流子迁移而被认为是高效的光催化氧析出催化剂。我们期待我们构建的筛选框架能帮助发掘二维光催化氧析出催化剂。

作者介绍
蔺超,北航材料科学与工程学院博士就读,导师为张千帆教授。研究方向为半导体光催化分解水性能研究与电催化氮还原,以第一作者发表Materials Advances、Advanced Functional Materials各一篇,以共同一作发表Advanced Functional Materials 一篇。
刘晓鹏,北航材料科学与工程学院博士就读,导师为张千帆教授。研究方向为半导体光催化研究与低维磁性半导体研究,以第一作者发表Physical Review B、Journal of Physical Chemistry C各一篇,以共同一作发表ACS Catalysis两篇,以共同通讯作者发表Advanced Functional Materials一篇。
张千帆,北京航空航天大学教授、博士生导师,博士毕业于中国科学院物理研究所,美国斯坦福大学材料科学与工程学院博士后。2012年入选北京航空航天大学“卓越百人计划”与教育部“新世纪优秀人才支持计划”。研究方向为锂电池电极材料体系、钠电池电极材料体系、新型二维材料及其光(电)催化性能、拓扑绝缘体、全量子化计算等。曾在Nature Nanotech.、Nature Commun.、Phys. Rev. Lett.、PNAS、Nano Lett.、Adv. Energy Mater.、Adv. Mater.、Adv. Functional Mater.、ACS Nano、Matter等高影响力国际期刊发表论文。多次为Nature Commun.、Nano Lett.、Angew. Chem. Int. Ed.、Adv. Mater.、Adv. Energy Mater.等高水平期刊审稿。
声明
本文仅供科研分享,不做盈利使用,如有侵权,请联系后台小编删除
“邃瞳科学云”直播服务
“邃瞳科学云"平台正在收集、整理各类学术会议信息,欢迎学会、期刊、会议组织方择优在邃瞳平台上进行线上直播,希望藉此帮助广大科研人员跨越时空的限制,实现自由、畅通地交流互动。欢迎老师同学们提供会议信息(会有礼品赠送),学会、期刊、会议组织方商谈合作,均请联系翟女士:18612651915(微信同)。
投稿、荐稿、爆料:Editor@scisight.cn
扫描二维码下载
邃瞳科学云APP

